-
Ο/η Χρήστος Βασιλειάδης σχολίασε το άρθρο Ποιος είναι ο μικρότερος χρόνος; πριν από 1 έτος, 4 μήνες
Καλησπέρα Γιάννη
Αναλυτικά:
https://i.ibb.co/FKyygFr/2.jpg -
Ο/η Χρήστος Βασιλειάδης σχολίασε το άρθρο Ποιος είναι ο μικρότερος χρόνος; πριν από 1 έτος, 4 μήνες
Πολύ ωραίο!
Γενική λύση:
https://i.ibb.co/dmMmDVB/image.jpg -
Ο/η Χρήστος Βασιλειάδης σχολίασε το άρθρο Πόση είναι η πυκνότητα; πριν από 1 έτος, 4 μήνες
Και ένας -πρόχειρος- πρακτικός τρόπος: Σημειώνουμε πάνω στον κώνο τρία σημεία όπου η επιφάνεια του νερού τον βρέχει.Πιάνουμε τον κώνο από την κορυφή και τον βυθίζουμε προσεκτικά ανάποδα μέχρι τα τρία σημεία να βρεθούν στην επιφάνεια του νερού. Αφήνοντας τον κώνο, αν διαπιστώσουμε ότι τείνει να:
i) καταδυθεί => ρκ > 0,5ρν ii) μείνει ως έχει =&g…[Περισσότερα] -
Ο/η Χρήστος Βασιλειάδης σχολίασε το άρθρο Πόση είναι η πυκνότητα; πριν από 1 έτος, 4 μήνες
-
Ο/η Χρήστος Βασιλειάδης σχολίασε το άρθρο Η επιτάχυνση του ασανσέρ. πριν από 1 έτος, 4 μήνες
Σωστά! 🙂
-
Ο/η Χρήστος Βασιλειάδης σχολίασε το άρθρο Η επιτάχυνση του ασανσέρ. πριν από 1 έτος, 4 μήνες
Καλημέρα Γιάννη
Ωραίο! Με μια ζύγιση:
Κρεμάει το κανταράκι (και σώμα) στον ελεύθερο βραχίονα της κλασικής ζυγαριάς και παρατηρεί τη διαφορά στις ενδείξεις.
Θα είναι: Δm/m=α/g => α=(Δm/m)g=(0,4/2)g => α=0,2g -
Ο/η Χρήστος Βασιλειάδης σχολίασε το άρθρο Ολισθαίνει ο τροχός; πριν από 1 έτος, 4 μήνες
Ευχαριστώ Γιάννη, μου ξέφυγε το “δεν”. 🙂
-
Ο/η Χρήστος Βασιλειάδης σχολίασε το άρθρο Τι ώρα είναι; πριν από 1 έτος, 4 μήνες
-
Ο/η Χρήστος Βασιλειάδης σχολίασε το άρθρο Ολισθαίνει ο τροχός; πριν από 1 έτος, 4 μήνες
-
Ο/η Χρήστος Βασιλειάδης σχολίασε το άρθρο Δεν διατηρείται η ενέργεια; πριν από 1 έτος, 4 μήνες
Κάποια αποτελέσματα και μια εφαρμογή/προσομοίωση.
-
Ο/η Χρήστος Βασιλειάδης σχολίασε το άρθρο Δυο παιδιά περπατούν πριν από 1 έτος, 4 μήνες
Καλημέρα κ. Μάργαρη
Πολύ ωραία άσκηση! Έφτιαξα μια εφαρμογή/προσομοίωση. -
Ο/η Χρήστος Βασιλειάδης σχολίασε το άρθρο Η ακινητοποίηση μιας ράβδου. πριν από 1 έτος, 4 μήνες
Καλημέρα Γιάννη
Ενδιαφέρον θέμα! Έφτιαξα μια εφαρμογή/προσομοίωση.
Στο κάτω μέρος του παράπλευρου μενού, με τα αντίστοιχα μοχλάκια, επιλέγουμε:
το μήκος L και τη μάζα m της ράβδου, την αντίσταση R, το μαγνητικό πεδίο Β, την αρχική ταχύτητα V της ράβδου, τη θέση της ράβδου χ. -
Ο/η Χρήστος Βασιλειάδης σχολίασε το άρθρο Τι συμβαίνει με τον τροχό; πριν από 1 έτος, 4 μήνες
Ενδιαφέρον πρόβλημα! Μια λύση:
https://i.ibb.co/qdT0Zgh/image.jpg -
Ο/η Χρήστος Βασιλειάδης σχολίασε το άρθρο Πόση δύναμη ασκεί καθένας; πριν από 1 έτος, 4 μήνες
Μια λύση με διανυσματικό λογισμό:
https://i.ibb.co/rKPZYCc/image.jpg -
Ο/η Χρήστος Βασιλειάδης σχολίασε το άρθρο Δύο μέσες ταχύτητες ενός κινητού. πριν από 1 έτος, 4 μήνες
ΟΚ, ενικός! 🙂
Και μια 2η διατύπωση:
https://i.ibb.co/9yQcdyz/2.jpg -
Ο/η Χρήστος Βασιλειάδης σχολίασε το άρθρο Δύο μέσες ταχύτητες ενός κινητού. πριν από 1 έτος, 4 μήνες
Καλησπέρα κ. Κυριακόπουλε
Ωραίο θέμα!
Μια τρίτη μέση ταχύτητα:
https://i.ibb.co/XLtN2Q6/image.jpg -
Ο/η Χρήστος Βασιλειάδης σχολίασε το άρθρο Η ράβδος και ο κυλιόμενος τροχός. πριν από 1 έτος, 4 μήνες
Πολύ ωραίο θέμα! Μια λύση.
Χρησιμοποιώ το σχήμα του Κώστα Ψυλάκου.
https://iili.io/2aqqgx1.jpg -
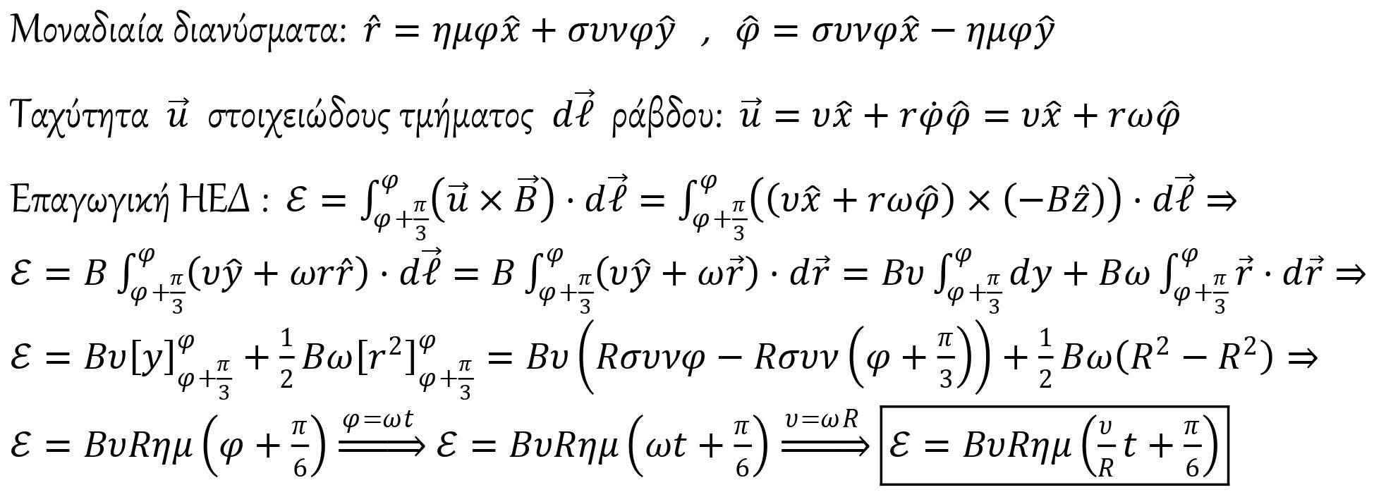
Ο/η Χρήστος Βασιλειάδης σχολίασε το άρθρο Το τέλος του διανύσματος της ταχύτητας. πριν από 1 έτος, 4 μήνες
Εξαιρετικό θέμα! Μια απόδειξη:
-
Ο/η Χρήστος Βασιλειάδης σχολίασε το άρθρο Από που πρέπει να πιάσουν οι άλλοι δύο; πριν από 1 έτος, 4 μήνες
ΟΚ! 🙂
-
Ο/η Χρήστος Βασιλειάδης σχολίασε το άρθρο Από που πρέπει να πιάσουν οι άλλοι δύο; πριν από 1 έτος, 4 μήνες
Και’γω εσάς κ. Κυριακόπουλε για την αστείρευτη προσφορά σας στη Φυσική!
- Φόρτωσε Περισσότερα