
Η ανάρτηση αυτή απευθύνεται αποκλειστικά σε συναδέλφους και όχι σε μαθητές. Είναι ένα ειδικό και δύσκολο θέμα και καλό είναι να μην ασχοληθούν οι υποψήφιοι…
Το θέμα μας είναι η σύνθετη κίνηση που εκτελεί μια σφαίρα, όταν κυλίεται χωρίς να ολισθαίνει σε ένα κατακόρυφο κυκλικό οδηγό.
Τι συμβαίνει με την στροφική του κίνηση, γύρω από τον άξονα περιστροφής του και τι για την κυκλική κίνηση του κέντρου του γύρω από το κέντρο Κ του κυκλικού οδηγού; Πώς εφαρμόζουμε τον 2° Νόμο του Νεύτωνα για τις επιμέρους κινήσεις; Πώς υπολογίζονται η στροφορμή και ο ρυθμός μεταβολής της στροφορμής;
Καλό είναι πριν την μελέτη αυτή, να έχει προηγηθεί η μελέτη της ανάρτησης «και όμως ισχύει» στην οποία αποδεικνύεται ότι η γνωστή εξίσωση υcm=ω· r ισχύει για την παραπάνω κύλιση.
Ας τονίσουμε πάντως και από αυτήν την θέση, ότι η σφαίρα στρέφεται με γωνιακή ταχύτητα ω1 γύρω από άξονα που περνά από το κέντρο της Ο, ενώ έχει και γωνιακή ταχύτητα ω2 λόγω περιφοράς της γύρω από το κέντρο Κ της κυκλικής τροχιάς.
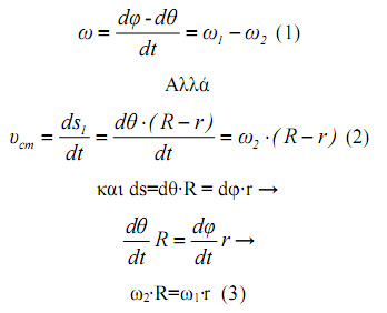
Έστω ότι μια σφαίρα σε χρόνο dt έχει διαγράψει τόξο ds, έχοντας στραφεί κατά γωνία dφ=ds/r, αλλά που η ακτίνα R της κυκλικής τροχιάς έχει στραφεί κατά dθ=ds/R.
Με βάση και το παραπάνω σχήμα έχουμε:

ενώ συνολικά η σφαίρα έχει περιστραφεί κατά γωνία dφ-dθ και έχει γωνιακή ταχύτητα:

Από (1), (2) και (3) παίρνουμε:
Άσκηση:
Μια σφαίρα μάζας Μ=20kg και ακτίνας r=1m αφήνεται να κινηθεί από τη θέση Α, κατά μήκος ενός κεκλιμένου επιπέδου και αφού φτάσει στο οριζόντιο επίπεδο συνεχίζει σε κατακόρυφο τεταρτοκύκλιο ακτίνας R=3m. Η σφαίρα σε όλη την διαδρομή κυλίεται χωρίς να ολισθαίνει. Σε μια στιγμή περνά από τη θέση Γ, όπου η ακτίνα R σχηματίζει γωνία θ=30° με την κατακόρυφο. Αν η κατακόρυφη απόσταση των θέσεων ΑΓ είναι ίση με h=1,75m, να βρεθούν για τη θέση Γ:
i) Η ταχύτητα του κέντρου Ο της σφαίρας και η γωνιακή της ταχύτητα.
ii) Η στροφορμή λόγω ιδιοπεριστροφής (spin) ως προς τον άξονα περιστροφής της σφαίρας που περνά από το κέντρο της Ο και η τροχιακή στροφορμή της σφαίρας λόγω περιστροφής γύρω από κάθετο άξονα στο επίπεδο της τροχιάς που περνά από το κέντρο Κ της κυκλικής τροχιάς.
iii) Η στροφορμή της σφαίρας ως προς το κέντρο Κ της κυκλικής τροχιάς.
iv) Ο ρυθμός μεταβολής της στροφορμής ως προς τον άξονα περιστροφής της που περνά από το κέντρο της
v) Ο αντίστοιχος ρυθμός ως προς το κέντρο Κ.
Δίνεται η ροπή αδράνειας της σφαίρας ως προς μια διάμετρό της Ι = 2/5 Μr2.
ή
Μια σύνθετη κίνηση και οι επιμέρους κινήσεις…
![]()

