Απάντηση από τον/την Διονύσης Μάργαρης στις 20 Μάιος 2014 στις 21:14
Καλησπέρα Αντώνη.
Πέρα από μαθηματικές εξισώσεις, η άποψή μου στο θέμα που βάζεις, έχει να κάνει με τις ποσότητες του συζυγούς ζεύγους που περιέχει σε σχέση με την προστιθέμενη ποσότητα.
Να το πω αλλιώς. Αν σε ένα διάλυμα περιέχεται 1mol ΗΑ και 1mol Α-, θα διατηρήσει πρακτικά σταθερό pH αν προσθέσεις 0,1mol 0,2mol… βάσης αλλά και ποσότητες που μπορεί να πάνε και ποιο πάνω.
Αν όμως το διάλυμα περιέχει 0,1mol ΗΑ και 0,1mol Α-, τι αλήθεια ποσότητες θα μπορούσαμε να προσθέσουμε. Προφανώς μικρότερες από 0,1. Για φαντάσου ότι αν προσθέσουμε 0,09mol βάσης, το pH θα αυξηθεί αρκετά, αφού θα έχει καταναλωθεί το μεγαλύτερο μέρος του οξέος.
Γιατί δεν συγκρίνεις ίδιες ποσότητες μολ των συζυγών μορφών στα δύο διαλύματα ?
υγ …. επειδή μοιάζω να απαντώ σε κάποιον πριν τον Διονύση θα ήθελα να σας πώ ότι δεν “το έχω χάσει” . Υπήρχε ένα πόστ εκει από έναν ανώνυμο χρήστη που το διέγραψε – προφανώς – ο ίδιος.
Αντώνη λέμε: “Η ρυθμιστική ικανότητα είναι μέγιστη όταν ο λόγος των συγκεντρώσεων είναι λ=1. Δηλαδή όσο πιο κοντά οι συγκεντρώσεις, τόσο μεγαλύτερη ρυθμιστική ικανότητα. Για δεδομένο λόγο συγκεντρώσεων, όσο μεγαλύτερες οι συγκεντρώσεις τόσο μεγαλύτερη η ρυθμιστική ικανότητα”. Άρα με την αραίωση, αφού μικραίνουν οι συγκεντρώσεις θα μικραίνει και η ρυθμιστική ικανότητα. Θεωρώ ότι πάνω σε αυτή τη λογική μπήκε το ερώτημα. Τώρα αν θέλεις εξήγηση γιατί συμβαίνει αυτό, νομίζω μας είχε ξανααπασχολήσει σε κάποια παλαιότερη συζήτηση, έτσι δεν είναι;
Δυστυχώς είναι δύσκολο μέσα από τα πληκτρολόγια να σας εξηγήσω τι εννοώ .
Παράδειγμα
Δ1 : διάλυμα ΗΑ 1Μ – ΝαΑ 1 Μ και όγκου 1 L
Δ2 : διάλυμα ΗΑ 0,5Μ – ΝαΑ 0,5 Μ και όγκου 1 L
Το διάλυμα Δ1 έχει μεγαλύτερη ρυθμιστική ικανότητα στην προσβολή από οξύ ή βαση γιατί έχει περισσότερα mol οξέως και βάσης να αντιτάξει και να αντισταθεί στην προσβολή. Για αυτόν τον λόγο, για δεδομένη τιμή του λόγου λ , και δεδομένο όγκο διαλύματος έχουμε μεγαλύτερη ρυθμιστική ικανότητα όσο πιο μεγάλες είναι οι συγκεντρώσεις.
Αν συγκρίνουμε τώρα τα παρακάτω διαλύματα
Δ1 : διάλυμα ΗΑ 1Μ – ΝαΑ 1 Μ και όγκου 1 L
Δ3 : διάλυμα ΗΑ 0,5Μ – ΝαΑ 0,5 Μ και όγκου 2 L
( θα μπορούσαμε να ισχυριστούμε ότι το Δ3 προέκυψε από αραίωση του Δ1 σε διπλάσιο όγκο )
Εάν προσθέσουμε την ίδια ποσότητα NaOH ( πχ 0,2 mol ) θα δούμε ότι και τα δύο τελικά διαλύματα έχουν την ίδια τελική τιμή πεχα δηλ παρουσίασαν την ίδια άμυνα στην προσβολή από την βάση .
Εδώ έχουμε ίδιο λόγο λ ,έχουμε διαφορετικό όγκο διαλυμάτων αλλά ίδιες ποσότητες mol των ΗΑ και ΝαΑ και έχουμε την ίδια ικανότητα ρύθμισης απέναντυ στην προσθήκη βάσης .
Αντώνη προφανώς και η ποσότητα παίζει ρόλο. Ας θυμηθούμε τον ορισμό: ” Ρυθμιστική ικανότητα είναι τα μολ ισχυρού οξέος (δηλαδή οξωνίων) ή βάσης (δηλ. υδροξειδίων) που πρέπει να προστεθούν σε 1 λίτρο Ρ.Δ. για να μεταβληθεί το pH του κατά μία μονάδα”, έτσι δεν είναι; Δηλαδή αναφερόμαστε σε συγκεκριμένο όγκο διαλύματος, οπότε οι συγκεντρώσεις εκφράζουν τα μολ των συστατικών. Εννοείται λοιπόν ότι αναφερόμαστε στον ίδιο όγκο διαλυμάτων – θεωρώ…
Χθες βράδυ δεν ήμουν εδώ, οπότε η απάντησή μου καθυστέρησε..
Γενικώς είμαι στη γραμμή του Θοδωρή.
Αυτό που ουσιαστικά μας ενδιαφέρει είναι να μην αλλάξει η συγκέντρωση των δύο μορφών (ουσιαστικά ο λόγος τους). Αλλά για να μπορέσουμε να κάνουμε την σύγκριση, επειδή μεσολαβεί αντίδραση, που εκεί θα παίξουν ρόλο οι αριθμοί των mol, θα πρέπει να έχουμε ίσους όγκους, από τα δύο ρυθμιστικά διαλύματα.
θα συμφωνήσω με το Θοδωρή. (και με Δονύση γράφαμε μάλλον μαζί) Διάλυμα ΗΑ 0,5Μ – ΝαΑ 0,5 Μ και όγκου 2 L και διάλυμα ΗΑ 0,5Μ – ΝαΑ 0,5 Μ και όγκου 20 L έχουν την ίδια ρυθμ. ικανότητα ανεξαρτήτως του ότι το 2ο αντέχει>> στην προσθήκη περισσότερων mol ισχ. οξέος ή βάσης λόγω μεγαλύτερου όγκου .
Και όμως Κώστα το 2ο διάλυμα θέλει 90/11 mol NaOH για να μεταβλαλει το pH του κατά μία μονάδα ( εάν θεωρήσουμε Κ=10^-5) ενώ το 2ο θέλει 9/11 mol για τον ίδιο λόγο. Εχει άμυνα σε 10 πλάσια ποσότητα βάσης γιατί έχει 10πλάσια μολ ( ενώ έχει ίδιες συγκεντρώσεις ) οξεός.
Εαν με ρωτούσαν πιο διατηρεί πιο σταθερό το πεχα τους …. ένα κουβα ΗΑ 0,5Μ – ΝαΑ 0,5 Μ ή μία πισίνα ΗΑ 0,5Μ – ΝαΑ 0,5 Μ θα διάλεγα την πισίνα.
Εαν με ρωτόύσαν τι θα συμβεί εάν συγκρίνω ενα ποτήρι από κάθε διάλυμα θα έλεγα ότι εχουν την ίδια ρυθμιστική ικανότητα.
Θα μπορούσα να δεχθώ ότι ο ορισμός της ρυθμιστικής ικανότητας απαιτεί σύγκριση διαλυμάτων ίδιων όγκων ( όπου ισχύουν όλα τα παραπάνω ) αλλά η εκφώνηση της ερώτησης της ΟΕΦΕ μπορεί να ερμηνευτεί διαφορετικά.
Αντώνη με δεδομενο τον ορισμο εγραψα αυτά που εγραψα. Και ΣΥΜΦΩΝΗΣΑ ΑΠΟΛΥΤΑ ΜΑΖΙ ΣΟΥ ως προς το χαρακτηρισμό του του θεματος. δυστυχώς ειμαι τελείως αρχάριος στους Η/Υ οπότε “δεινοπαθώ” να γράψω σχόλια (αποφεύγω τα εκτενή λόγω αδυναμίας).
Υ.Γ. Θέλω και τα σχόλιά σου σε μία ανάρτηση που έκανα με κόπους και με βάσανα και με την βοήθεια του Νίκου και Βασίλη με τίτλο ΙΟΝΤΙΚΗ ΙΣΟΡΡΟΠΙΑ ΜΙΑ ΜΙΚΡΗ – ΜΕΓΑΛΗ ΕΠΑΝΑΛΗΨΗ
στις 16-5-2014. Το έβαλα και σαν θέμα στην ομάδα Χημεία Γ.
Καλά Διονύση με ψάρωσες τρελά . Όταν είδα την ειδοποίηση στο mail ότι ο Μητρόπουλος απάντησε σε θέμα Χημείας οι αδρεναλίνες χτύπησαν κόκκινα.
Κατ’αρχας ευχαριστώ τον φίλο σου για την θέση που πηρε ( φαντάζομαι του εξήγησες ότι είναι καλύτερο για όλους – ειδικά για σένα που έχεις να μεταφέρεις τις θέσεις του – να συμμετέχει ενεργά και επώνυμα στο ylikonet ).
Χημικώς …δυστυχώς ΔΕΝ ΕΙΝΑΙ ΑΥΤΟ ΤΟ ΘΕΜΑ που θέλω να αναδείξω . ( το ξαναέγραψα παραπάνω … 1ο-1ο … δυστυχώς τα πληκτρολόγια αδικούν μερικές εκφράσεις )
Θα ξανατολμήσω …. Ηθελα να ξέρω εάν μπορούμε να συγκρίνουμε “ικανότητες ρυθμισης pH” ( προσπαθώ να ξεφύγω από την έκφραση “ρυθμιστική ικανότητα” που υποχρεώνει σε αναγωγή της σύγκρισης σε ορισμένο όγκο ) διαλυμάτων με διαφορετικούς όγκους ?
Θα μπορούσαμε να απλουστεύσουμε ( προς χαρη της ερμηνείας του φαινομένου ) ότι η “ρυθμιστική ικανότητα” είναι η “ικανότητα ρυθμισης ανα λίτρο “, άρα η “ικανότητα ρύθμισης” είναι η “ρυθμιστική ικανότητᔨεπί τον όγκο του διαλύματος ?
Δεν ξέρω πως να το γραψω αλλιώς … εκεί είναι ο προβληματισμός μου.
υγ …. βλέποντας τον ορισμο της ρυθμιστικής ικανότητας του εργαστηριακού οδηγού θα ήθελα να θέσω ένα “λυκείακό ερώτημα”.
Πόσες τιμές παίρνει η ρυθμιστική ικανότητα ? Υπάρχει “όξινη” ρυθμιστική ικανότητα και “βασική” ρυθμιστική ικανότητα ?
Εαν διάλυμα ΗΑ 1 Μ – ΝαΑ 0,5 Μ θέλει άλλη ποσότητα ισχυρού οξέως για να μειώσει το πεχα ( 1 λίτρου εδώ ) κατά 1 μονάδα και άλλη ποσότητα ισχυρής βάσης για να την αυξήσει κατά 1 μονάδα.
Το θέμα του 2011 θα το κατατάξω στα θέματα του πίστευε και μη ερεύνα >>, που λέμε στα παιδιά όσο μεγαλύτερες οι συγκεντρώσεις και πιο παραπλήσιες τόσο μεγαλύτερη η ρυθμιστική ικανότητα του διαλύματος . Οπότε απαντήστε βάσει αυτού και αφήστε την αιτιολόγηση. ΕΥΤΥΧΩΣ που δεν ζητήθηκε αιτιολόγηση.
Επομένως εξακολουθώ να συμφωνώ με τον Αντώνη ως προς το θέμα για εξετάσεις.
υ.γ. μη θεωρηθεί υπέρ του Α ή του Β το σχόλιό μου . ΑΠΛΑ γράφω πολύ αργά και μου είναι πιο εύκολο να πω ενα συμφωνώ ή οχι παρά να εξηγώ γράφοντας για κανα μισάωρο.
Απάντηση από τον/την Θοδωρής Βαχλιώτης στις 22 Μάιος 2014 στις 14:21
Πολυνίκη έχεις αφήσει μια εκκρεμότητα: Ποιος είναι ο σωστός ορισμός της ρυθμιστικής ικανότητας;
Αντώνη, με βάση το γνωστό ορισμό, θεωρώ ότι υπάρχουν δύο ρυθμιστικές ικανότητες για ένα ρυθμιστικό διάλυμα. Αυτές θα ταυτίζονται μόνο όταν οι συγκεντρώσεις των συστατικών του είναι ίσες, έτσι ;
Θοδωρή δεν ξέρω τι να σου απαντήσω . Εχω την αίσθηση ότι ο Πολυνίκης έχει κάτι “σίγουρο” .
Θα περιμένουμε …. ( ξέρω ότι και ο Χαρκοπλιάς έχει άποψη … αλλά αυτήν την στιγμή δεν προλαβαίνει να πάρει ανάσα )
Ελπίζω βέβαια ο ορισμός “του Πολυνίκη” να μην βασίζεται στην προυπόθεση ότι οι δύο συζυγείς μορφές να έχουν ίδιες συγκεντρώσεις ( εκείνο το “μείον” – ίσον με το αντίθετο – με κατευθύνει προς τα εκεί ) .
Τότε – θα θυμηθώ μια κουβέντα που κάναμε με τον Πολυνίκη στα τσίπουρα του Βόλου – πραγματικά θα πιστέψω ότι στο ylikonet τα ψάχνουμε πολύ τα πράγματα …. πολύ περισσότερο από πολλούς πολλούς άλλους . ( και δεν μιλούσε για καθηγητάκους – σαν εμάς – σχολείων )
υγ …. Κώστα , δεν είναι κακό να υποστηρίζεις την άποψη του Α ή του Β. ( ή να είσαι εσύ ο Γ ). Ο σκοπός μας είναι να κατανοήσουμε καλύτερα τα φαινόμενα.
Γειά σου Αντώνη. Cb είναι π.χ. η συγκέντρωση του NaOH που προσθέτουμε για αλλαγή του pH και Ca είναι π.χ. η συγκέντρωση του ΗCl που προσθέτουμε επίσης για αλλαγή του pH.
Προφανώς μιλάμε για απειροελάχιστες μεταβολές.
Από αυτόν τον ορισμό ‘‘βγήκε’’ ο ορισμός του σχολικού βιβλίου. Το dpH έγινε μονάδα και το dC έγινε η μεταβολή των mol στο ένα λίτρο. Αν όμως οι μεταβολές δεν είναι απειροελάχιστες π.χ. ΔpH = 1 o τύπος με βάση δίνει άλλο αποτέλεσμα απ’ ότι με οξύ.
Φυσικά καμμία σχέση με συζυγείς μορφές και ίσες συγκεντρώσεις. Μιλάμε για απειροελάχιστες μεταβολές που κάνουμε μέσω ενός ισχυρού οξέος ή μιας ισχυρής βάσης.
Καλησπέρα Αντώνη.
Πέρα από μαθηματικές εξισώσεις, η άποψή μου στο θέμα που βάζεις, έχει να κάνει με τις ποσότητες του συζυγούς ζεύγους που περιέχει σε σχέση με την προστιθέμενη ποσότητα.
Να το πω αλλιώς. Αν σε ένα διάλυμα περιέχεται 1mol ΗΑ και 1mol Α-, θα διατηρήσει πρακτικά σταθερό pH αν προσθέσεις 0,1mol 0,2mol… βάσης αλλά και ποσότητες που μπορεί να πάνε και ποιο πάνω.
Αν όμως το διάλυμα περιέχει 0,1mol ΗΑ και 0,1mol Α-, τι αλήθεια ποσότητες θα μπορούσαμε να προσθέσουμε. Προφανώς μικρότερες από 0,1. Για φαντάσου ότι αν προσθέσουμε 0,09mol βάσης, το pH θα αυξηθεί αρκετά, αφού θα έχει καταναλωθεί το μεγαλύτερο μέρος του οξέος.
Δεν εννοούσα αυτό …
Σε ένα διάλυμα ΗΑ 1 Μ – ΝαΑ 1 Μ ( Κ=10^-5 ) όγκου 1 L , πρόσθετουμε 0,5 mol NaOH ( χωρίς ΔV ) , και βρίσκουμε το νέο pH
Αραίωση με 1 L νερό
Το διάλυμα γίνεται ΗΑ 0,5 Μ – ΝαΑ 0,5 Μ ( Κ=10^-5 ) όγκου 2 L , προσθέτουμε πάλι 0,5 mol NaOH ( χωρίς ΔV ) και βρίσκουμε πάλι το νέο pH
Μαντέψτε …
Δεν σε καταλαβαίνω Διονύση.
Γιατί δεν συγκρίνεις ίδιες ποσότητες μολ των συζυγών μορφών στα δύο διαλύματα ?
υγ …. επειδή μοιάζω να απαντώ σε κάποιον πριν τον Διονύση θα ήθελα να σας πώ ότι δεν “το έχω χάσει” . Υπήρχε ένα πόστ εκει από έναν ανώνυμο χρήστη που το διέγραψε – προφανώς – ο ίδιος.
Όχι τίποτα μην νομίζετε …
Αντώνη λέμε: “Η ρυθμιστική ικανότητα είναι μέγιστη όταν ο λόγος των συγκεντρώσεων είναι λ=1. Δηλαδή όσο πιο κοντά οι συγκεντρώσεις, τόσο μεγαλύτερη ρυθμιστική ικανότητα. Για δεδομένο λόγο συγκεντρώσεων, όσο μεγαλύτερες οι συγκεντρώσεις τόσο μεγαλύτερη η ρυθμιστική ικανότητα”. Άρα με την αραίωση, αφού μικραίνουν οι συγκεντρώσεις θα μικραίνει και η ρυθμιστική ικανότητα. Θεωρώ ότι πάνω σε αυτή τη λογική μπήκε το ερώτημα. Τώρα αν θέλεις εξήγηση γιατί συμβαίνει αυτό, νομίζω μας είχε ξανααπασχολήσει σε κάποια παλαιότερη συζήτηση, έτσι δεν είναι;
Δυστυχώς είναι δύσκολο μέσα από τα πληκτρολόγια να σας εξηγήσω τι εννοώ .
Παράδειγμα
Δ1 : διάλυμα ΗΑ 1 Μ – ΝαΑ 1 Μ και όγκου 1 L
Δ2 : διάλυμα ΗΑ 0,5 Μ – ΝαΑ 0,5 Μ και όγκου 1 L
Το διάλυμα Δ1 έχει μεγαλύτερη ρυθμιστική ικανότητα στην προσβολή από οξύ ή βαση γιατί έχει περισσότερα mol οξέως και βάσης να αντιτάξει και να αντισταθεί στην προσβολή. Για αυτόν τον λόγο, για δεδομένη τιμή του λόγου λ , και δεδομένο όγκο διαλύματος έχουμε μεγαλύτερη ρυθμιστική ικανότητα όσο πιο μεγάλες είναι οι συγκεντρώσεις.
Αν συγκρίνουμε τώρα τα παρακάτω διαλύματα
Δ1 : διάλυμα ΗΑ 1 Μ – ΝαΑ 1 Μ και όγκου 1 L
Δ3 : διάλυμα ΗΑ 0,5 Μ – ΝαΑ 0,5 Μ και όγκου 2 L
( θα μπορούσαμε να ισχυριστούμε ότι το Δ3 προέκυψε από αραίωση του Δ1 σε διπλάσιο όγκο )
Εάν προσθέσουμε την ίδια ποσότητα NaOH ( πχ 0,2 mol ) θα δούμε ότι και τα δύο τελικά διαλύματα έχουν την ίδια τελική τιμή πεχα δηλ παρουσίασαν την ίδια άμυνα στην προσβολή από την βάση .
Εδώ έχουμε ίδιο λόγο λ ,έχουμε διαφορετικό όγκο διαλυμάτων αλλά ίδιες ποσότητες mol των ΗΑ και ΝαΑ και έχουμε την ίδια ικανότητα ρύθμισης απέναντυ στην προσθήκη βάσης .
Αντώνη προφανώς και η ποσότητα παίζει ρόλο. Ας θυμηθούμε τον ορισμό: ” Ρυθμιστική ικανότητα είναι τα μολ ισχυρού οξέος (δηλαδή οξωνίων) ή βάσης (δηλ. υδροξειδίων) που πρέπει να προστεθούν σε 1 λίτρο Ρ.Δ. για να μεταβληθεί το pH του κατά μία μονάδα”, έτσι δεν είναι; Δηλαδή αναφερόμαστε σε συγκεκριμένο όγκο διαλύματος, οπότε οι συγκεντρώσεις εκφράζουν τα μολ των συστατικών. Εννοείται λοιπόν ότι αναφερόμαστε στον ίδιο όγκο διαλυμάτων – θεωρώ…
Καλημέρα Αντώνη.
Χθες βράδυ δεν ήμουν εδώ, οπότε η απάντησή μου καθυστέρησε..
Γενικώς είμαι στη γραμμή του Θοδωρή.
Αυτό που ουσιαστικά μας ενδιαφέρει είναι να μην αλλάξει η συγκέντρωση των δύο μορφών (ουσιαστικά ο λόγος τους). Αλλά για να μπορέσουμε να κάνουμε την σύγκριση, επειδή μεσολαβεί αντίδραση, που εκεί θα παίξουν ρόλο οι αριθμοί των mol, θα πρέπει να έχουμε ίσους όγκους, από τα δύο ρυθμιστικά διαλύματα.
θα συμφωνήσω με το Θοδωρή. (και με Δονύση γράφαμε μάλλον μαζί) Διάλυμα ΗΑ 0,5 Μ – ΝαΑ 0,5 Μ και όγκου 2 L και διάλυμα ΗΑ 0,5 Μ – ΝαΑ 0,5 Μ και όγκου 20 L έχουν την ίδια ρυθμ. ικανότητα ανεξαρτήτως του ότι το 2ο αντέχει>> στην προσθήκη περισσότερων mol ισχ. οξέος ή βάσης λόγω μεγαλύτερου όγκου .
Επίσης συμφωνώ ΑΠΟΛΥΤΑ ΜΕ ΤΟΝ ΑΝΤΩΝΗ ότι δεν είναι θέμα για εξετάσεις.
Καλημέρες …
Και όμως Κώστα το 2ο διάλυμα θέλει 90/11 mol NaOH για να μεταβλαλει το pH του κατά μία μονάδα ( εάν θεωρήσουμε Κ=10^-5) ενώ το 2ο θέλει 9/11 mol για τον ίδιο λόγο. Εχει άμυνα σε 10 πλάσια ποσότητα βάσης γιατί έχει 10πλάσια μολ ( ενώ έχει ίδιες συγκεντρώσεις ) οξεός.
Εαν με ρωτούσαν πιο διατηρεί πιο σταθερό το πεχα τους …. ένα κουβα ΗΑ 0,5 Μ – ΝαΑ 0,5 Μ ή μία πισίνα ΗΑ 0,5 Μ – ΝαΑ 0,5 Μ θα διάλεγα την πισίνα.
Εαν με ρωτόύσαν τι θα συμβεί εάν συγκρίνω ενα ποτήρι από κάθε διάλυμα θα έλεγα ότι εχουν την ίδια ρυθμιστική ικανότητα.
Θα μπορούσα να δεχθώ ότι ο ορισμός της ρυθμιστικής ικανότητας απαιτεί σύγκριση διαλυμάτων ίδιων όγκων ( όπου ισχύουν όλα τα παραπάνω ) αλλά η εκφώνηση της ερώτησης της ΟΕΦΕ μπορεί να ερμηνευτεί διαφορετικά.
Αντώνη με δεδομενο τον ορισμο εγραψα αυτά που εγραψα. Και ΣΥΜΦΩΝΗΣΑ ΑΠΟΛΥΤΑ ΜΑΖΙ ΣΟΥ ως προς το χαρακτηρισμό του του θεματος. δυστυχώς ειμαι τελείως αρχάριος στους Η/Υ οπότε “δεινοπαθώ” να γράψω σχόλια (αποφεύγω τα εκτενή λόγω αδυναμίας).
Υ.Γ. Θέλω και τα σχόλιά σου σε μία ανάρτηση που έκανα με κόπους και με βάσανα και με την βοήθεια του Νίκου και Βασίλη με τίτλο
ΙΟΝΤΙΚΗ ΙΣΟΡΡΟΠΙΑ ΜΙΑ ΜΙΚΡΗ – ΜΕΓΑΛΗ ΕΠΑΝΑΛΗΨΗ
στις 16-5-2014. Το έβαλα και σαν θέμα στην ομάδα Χημεία Γ.
Καλησπέρα συνάδελφοι.
Θεωρώ ότι δεν είναι ‘‘καθαρός’’ ο ορισμός της ρυθμιστικής ικανότητας στο σχολικό βιβλίο άρα το θέμα είναι εκτός ύλης.
Ο ορισμός της ρυθμιστικής ικανότητας δεν αναφέρεται στο σχολικό βιβλίο αλλά στον εργαστηριακό οδηγό.
Αναφέρεται στην εργαστηριακή άσκηση ”Ρυθμιστικά διαλύματα” η οποία είναι υποχρεωτική.
Πέτρο το ‘‘καθαρός’’ αναφέρεται στο ότι δεν είναι αυτός ο ορισμός της ρυθμιστικής ικανότητας.
Συνάδελφοι καλησπέρα,
Από έναν πολύ καλό φίλο και συνάδελφο Χημικό πήρα την εξής τοποθέτηση σχετικά με το θέμα, την οποία και παραθέτω στη συνέχεια:
———————————————————————————
Καλά Διονύση με ψάρωσες τρελά . Όταν είδα την ειδοποίηση στο mail ότι ο Μητρόπουλος απάντησε σε θέμα Χημείας οι αδρεναλίνες χτύπησαν κόκκινα.
Κατ’αρχας ευχαριστώ τον φίλο σου για την θέση που πηρε ( φαντάζομαι του εξήγησες ότι είναι καλύτερο για όλους – ειδικά για σένα που έχεις να μεταφέρεις τις θέσεις του – να συμμετέχει ενεργά και επώνυμα στο ylikonet ).
Χημικώς …δυστυχώς ΔΕΝ ΕΙΝΑΙ ΑΥΤΟ ΤΟ ΘΕΜΑ που θέλω να αναδείξω . ( το ξαναέγραψα παραπάνω … 1ο-1ο … δυστυχώς τα πληκτρολόγια αδικούν μερικές εκφράσεις )
Θα ξανατολμήσω …. Ηθελα να ξέρω εάν μπορούμε να συγκρίνουμε “ικανότητες ρυθμισης pH” ( προσπαθώ να ξεφύγω από την έκφραση “ρυθμιστική ικανότητα” που υποχρεώνει σε αναγωγή της σύγκρισης σε ορισμένο όγκο ) διαλυμάτων με διαφορετικούς όγκους ?
Θα μπορούσαμε να απλουστεύσουμε ( προς χαρη της ερμηνείας του φαινομένου ) ότι η “ρυθμιστική ικανότητα” είναι η “ικανότητα ρυθμισης ανα λίτρο “, άρα η “ικανότητα ρύθμισης” είναι η “ρυθμιστική ικανότητᔨεπί τον όγκο του διαλύματος ?
Δεν ξέρω πως να το γραψω αλλιώς … εκεί είναι ο προβληματισμός μου.
υγ …. βλέποντας τον ορισμο της ρυθμιστικής ικανότητας του εργαστηριακού οδηγού θα ήθελα να θέσω ένα “λυκείακό ερώτημα”.
Πόσες τιμές παίρνει η ρυθμιστική ικανότητα ? Υπάρχει “όξινη” ρυθμιστική ικανότητα και “βασική” ρυθμιστική ικανότητα ?
Εαν διάλυμα ΗΑ 1 Μ – ΝαΑ 0,5 Μ θέλει άλλη ποσότητα ισχυρού οξέως για να μειώσει το πεχα ( 1 λίτρου εδώ ) κατά 1 μονάδα και άλλη ποσότητα ισχυρής βάσης για να την αυξήσει κατά 1 μονάδα.
Το θέμα του 2011 θα το κατατάξω στα θέματα του πίστευε και μη ερεύνα >>, που λέμε στα παιδιά όσο μεγαλύτερες οι συγκεντρώσεις και πιο παραπλήσιες τόσο μεγαλύτερη η ρυθμιστική ικανότητα του διαλύματος . Οπότε απαντήστε βάσει αυτού και αφήστε την αιτιολόγηση. ΕΥΤΥΧΩΣ που δεν ζητήθηκε αιτιολόγηση.
Επομένως εξακολουθώ να συμφωνώ με τον Αντώνη ως προς το θέμα για εξετάσεις.
υ.γ. μη θεωρηθεί υπέρ του Α ή του Β το σχόλιό μου . ΑΠΛΑ γράφω πολύ αργά και μου είναι πιο εύκολο να πω ενα συμφωνώ ή οχι παρά να εξηγώ γράφοντας για κανα μισάωρο.
Πολυνίκη έχεις αφήσει μια εκκρεμότητα: Ποιος είναι ο σωστός ορισμός της ρυθμιστικής ικανότητας;
Αντώνη, με βάση το γνωστό ορισμό, θεωρώ ότι υπάρχουν δύο ρυθμιστικές ικανότητες για ένα ρυθμιστικό διάλυμα. Αυτές θα ταυτίζονται μόνο όταν οι συγκεντρώσεις των συστατικών του είναι ίσες, έτσι ;
Θοδωρή λόγω πίεσης χρόνου θα είμαι σύντομος.
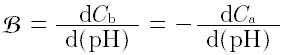
Ο ορισμός είναι:
Προφανώς η ρυθμιστική ικανότητα είναι μία.
Η εφαρμογή του ορισμού του σχολικού βιβλίου μπορεί να οδηγήσει σε παράδοξα π.χ. ότι είναι λάθος το θέμα του οεφε.
Μετά τις εξετάσεις ελπίζω να αναλύσουμε καλά το θέμα.
Θοδωρή δεν ξέρω τι να σου απαντήσω . Εχω την αίσθηση ότι ο Πολυνίκης έχει κάτι “σίγουρο” .
Θα περιμένουμε …. ( ξέρω ότι και ο Χαρκοπλιάς έχει άποψη … αλλά αυτήν την στιγμή δεν προλαβαίνει να πάρει ανάσα )
Ελπίζω βέβαια ο ορισμός “του Πολυνίκη” να μην βασίζεται στην προυπόθεση ότι οι δύο συζυγείς μορφές να έχουν ίδιες συγκεντρώσεις ( εκείνο το “μείον” – ίσον με το αντίθετο – με κατευθύνει προς τα εκεί ) .
Τότε – θα θυμηθώ μια κουβέντα που κάναμε με τον Πολυνίκη στα τσίπουρα του Βόλου – πραγματικά θα πιστέψω ότι στο ylikonet τα ψάχνουμε πολύ τα πράγματα …. πολύ περισσότερο από πολλούς πολλούς άλλους . ( και δεν μιλούσε για καθηγητάκους – σαν εμάς – σχολείων )
υγ …. Κώστα , δεν είναι κακό να υποστηρίζεις την άποψη του Α ή του Β. ( ή να είσαι εσύ ο Γ ). Ο σκοπός μας είναι να κατανοήσουμε καλύτερα τα φαινόμενα.
Γειά σου Αντώνη. Cb είναι π.χ. η συγκέντρωση του NaOH που προσθέτουμε για αλλαγή του pH και Ca είναι π.χ. η συγκέντρωση του ΗCl που προσθέτουμε επίσης για αλλαγή του pH.
Προφανώς μιλάμε για απειροελάχιστες μεταβολές.
Από αυτόν τον ορισμό ‘‘βγήκε’’ ο ορισμός του σχολικού βιβλίου. Το dpH έγινε μονάδα και το dC έγινε η μεταβολή των mol στο ένα λίτρο. Αν όμως οι μεταβολές δεν είναι απειροελάχιστες π.χ. ΔpH = 1 o τύπος με βάση δίνει άλλο αποτέλεσμα απ’ ότι με οξύ.
Φυσικά καμμία σχέση με συζυγείς μορφές και ίσες συγκεντρώσεις. Μιλάμε για απειροελάχιστες μεταβολές που κάνουμε μέσω ενός ισχυρού οξέος ή μιας ισχυρής βάσης.
Λοιπόν κύριοι , μια μικρή παράθεση τώρα που είμαι “ζεστός” ( και τα λέμε και μετά τις Πανελλήνιες )
Ισως και να υπάρχουν πολλές τιμές ρυθμιστικής ικανότητας …
Το βρήκα εδώ…
Ισως και να ορίζεται και σε συνάρτηση με τον όγκο του διαλύματος ( και η αναγωγή στο 1 λίτρο να έχει γίνει για απλοποίηση των υπολογισμών )
Το βρήκα εδώ…
Και βέβαια το πρώτο που θα διαβάσω μετά τις πανελλήνιες θα είναι αυτό
Μαζί τα …. γράφαμε .
Υγ …. θα τα πούμε και πιο αναλυτικά.