web analytics

Μια σύνθετη ταλάντωση και φάσεις.

Δημοσιεύτηκε από τον/την Διονύσης Μάργαρης στις 15 Νοέμβριος 2015 και ώρα 19:36

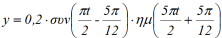
Ένα σώμα μάζας 0,2kg έχει εξίσωση κίνησης, γύρω από μια θέση y=0:

y=0,1∙ημ(2πt+5π/6)+0,1∙ημ(3πt)   (μονάδες στο S.Ι.).

i)  Υ­πο­λο­γί­στε το «πλά­τος» και την α­πο­μά­κρυν­ση της κί­νη­σης για t=0. Ποια είναι η αρχική φάση της απομάκρυνσης;

ii) Ποι­α εί­ναι η μέ­γι­στη τι­μή του «πλά­τους» και ποια χρονική στιγμή t1 το πλάτος μεγιστοποιείται για πρώτη φορά;

iii) Να βρεθεί η ταχύτητα και η επιτάχυνση του σώματος τη στιγμή t2=2s.

iv) Να βρεθούν η κινητική ενέργεια και ο ρυθμός….

Η συνέχεια στο Blogspot.

ή

Μια σύνθετη ταλάντωση και φάσεις.

Μια σύνθετη ταλάντωση και φάσεις.

Loading

Subscribe
Ειδοποίηση για
3 Σχόλια
Inline Feedbacks
Όλα τα σχόλια