Με αφορμή ένα ερώτημα που περιέχει το ΕΠΑΝΑΛΗΠΤΙΚΟ 3ωρο ΔΙΑΓΩΝΙΣΜΑ ΣΤΙΣ ΤΑΛΑΝΤΩΣΕΙΣ του φίλουΧρήστου Ελευθερίου.
Η παρακάτω οριζόντια αβαρής σανίδα πρόκειται να εκτελέσει εξαναγκασμένη ταλάντωση με συχνότητα 5/π Ηz.
Το σώμα μάζας 4kg εκτελεί ταλάντωση πλάτους 0,1m. Η μέγιστη ταχύτητα ταλάντωσής του έχει μέτρο:
α) 0,5m/s
β) 1m/s
γ) άλλη τιμή.
![]()
Απαντήσεις σε αυτή τη συζήτηση
Θα ήθελα να θέσω έναν προβληματισμό μου πάνω στο τρίτο ερώτημα του δευτέρου θέματος του διαγωνίσματος των ταλαντώσεων, που μας πρόσφερε ο συνάδελφος Χρήστος Ελευθερίου:
Η συνέχεια στο επισυναπτόμενο…
Συνημμένα:
osc
Γεια σου Ίριδα.
Νομίζω ότι η σκέψη σου είναι πολύ σωστή.
Πράγματι το πλάτος της εξαναγκασμένης ταλάντωσης εξαρτάται ΚΑΙ από την μάζα του συντονιστή.
Ανεβάζω και ένα αρχείο i.p. για όποιον θέλει να πειραματιστεί με την ταλάντωση των 3 σφαιρών.
Νάσαι καλά Χρήστο.
Με το ερώτημα που έβαλες στο διαγώνισμα, μας δημιούργησες παραγωγικούς προβληματισμούς.
Ίρις Ιωάννου είπε:
Συνημμένα:
Ταλάντωση 3 σφαιρών.
Γεια σου Ίρις
Με αφορμή τον προβληματισμό σου στο τρίτο ερώτημα του διαγωνίσματος του Χρήστου, ένας παρόμοιος προβληματισμός μου είχε δημιουργηθεί και παραμένει ακόμη στο 2ο θέμα (το γράφω παρακάτω):
ΑΠΟΛΥΤΗΡΙΕΣ ΕΞΕΤΑΣΕΙΣ Δ΄ΤΑΞΗΣ ΕΝΙΑΙΟΥ ΕΣΠΕΡΙΝΟΥ ΛΥΚΕΙΟΥ ΙΟΥΝΙΟΥ 2003
“Θέμα 2ο
2.2 Ένα σώμα μάζας m είναι προσδεμένο σε ελατήριο σταθεράς Κ και εκτελεί εξαναγκασμένη ταλάντωση. Η συχνότητα του διεγέρτη είναι f = f0, όπου f0 η ιδιοσυχνότητα του συστήματος.
Αν τετραπλασιάσουμε τη μάζα m του σώματος, ενώ η συχνότητα του διεγέρτη παραμένει σταθερή, τότε:
2.2.Α Η ιδιοσυχνότητα του συστήματος
α. γίνεται f0/2.
β. γίνεται 2 f0
γ. παραμένει σταθερή
2.2.Β Να δικαιολογήσετε την απάντησή σας στο 2.2.Α .
2.2. Γ Το πλάτος της ταλάντωσης του συστήματος
α. αυξάνεται.
β. ελαττώνεται.
γ. παραμένει σταθερό.
2.2.Δ Να δικαιολογήσετε την απάντησή σας στο 2.2.Γ.”
Αλήθεια συνάδελφοι πώς δικαιολογούμε την απάντησή μας στο 2.2.Δ;
Είναι αργά, είμαι και συγχησμένος….
Δε νομίζω ότι αυτό το παράδειγμα ταυτίζεται με την ερώτηση της Ίρις (ή Ίριδος;;). Εδώ γνωρίζουμε το πλάτος της εξαναγκασμένης ταλάντωσης Α=0,1m, γνωρίζουμε και τη συχνότητα του διεγέρτη άρα τη συχνότητα της εξαναγκασμένης ταλάντωσης f=5/π Hz, οπότε η μέγιστη ταχύτητα είναι υ(max)=2πfΑ=1 m/s.
Αν δεν κάνω κάπου λάθος τα πράγματα είναι απλά.
Στην ερώτηση όμως του Χρήστου δεν είναι έτσι. Το ότι το Β (δε θυμάμαι) είναι σε συντονισμό άρα ταλαντώνεται με το “δικό του” μέγιστο πλάτος δεν εξασφαλείζει ότι αυτό είναι κατ’ ανάγκη μεγαλύτερο από το πλάτος των άλλων που δεν είναι σε συντονισμό. Συμφωνώ με την Ίρις (ή Ίριδα;; σε παρακαλώ βοήθησέ με…).
Εγώ θέτω το εξής ερώτημα: Αν η συχνότητα του διεγέρτη γίνει 5/2π Hz οπότε το m3 βρεθεί σε συντονισμό θα ταλαντώνεται με μεγαλύτερη μέγιστη ταχύτητα από τώρα; Το πλάτος θα αυξηθεί σίγουρα,
αλλά η συχνότητα υποδιπλασιάζεται, το γινόμενο τι κάνει;;; Η καμπύλη Α-f είναι ασύμμετρη ως προς την fo ή πιο σωστά την fδ (συχνότητα συντονισμού) οπότε βγαίνει συμπέρασμα;
Βέβαια θα πείτε, υπάρχει και η καμπύλη υ(max)-f όπου φαίνεται ξεκάθαρα ότι στο συντονισμό έχουμε τη μέγιστη υ(max) για το σύστημα. Αυτή όμως τη διδάσκουμε; Μάλλον όχι. Τώρα που μας κατήργησαν τα εναλλασσόμενα κοντεύουμε να τα ξεχάσουμε…..
Αστέριε ΣΥΜΦΩΝΟΥΜΕ (σπάνιο;). Το ότι υποδιπλασιάζεται η ιδιοσυχνότητα και καταργείται ο συντονισμός δεν αποτελεί ικανή πληροφορία για σύγκριση πλατών σε διαφορετικά συστήματα….
Ελπίζω την άλλη Κυριακή να μην είναι άρρωστη η κόρη μου, να μπορώ να την πάω βόλτα και το βράδυ να παίζει η ΑΕΚ στην Αθήνα να πάω γήπεδο, γιατί αυτή την Κυριακή που κάθισα πολλές ώρες στο pc δε βγήκε σε καλό…..
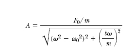
Αν επιλύσουμε τη Δ.Ε. της εξαναγκασμένης ταλάντωσης προκύπτει οτι το πλάτος είναι

Αυτή είναι η περίφημη καμπύλη συντονισμού. Fo= η μέγιστη διεγείρουσας δύναμης κατ’ απόλυτη τιμή.
Από δω φαίνεται οτι όντως η μάζα έχει ρόλο στη μορφή της καμπύλης.
Δείτε και την προσομοίωση:http://www.walter-fendt.de/ph14e/resonance.htm
Από δω μπορεί να καταλάβει κανένας οτι αυξάνοντας τη μάζα για δεδομένη συχνότητα διεγέρτη και σταθ. απόσβεσης μειώνεται το μέγιστο πλάτος, δηλ. η μάζα που υπάρχει στον αριθμητή της συνάρτησης παίζει μεγάλο ρόλο στο πλάτος.
Ελπίζω να συνεισεφερα. Εκείνο που θα προσπαθήσω να δω και το ψάχνω ακόμα, είναι να βρω αν υπάρχει μια συνθήκη για τη μάζα που να οδηγεί σε μεγαλύτερο πλάτος από εκείνο του συντονισμού. Νομίζω όμως οτι δεν υπάρχει. Θα το ψάξω κι άλλο.
Για τον Στέργιο.
Συμφωνώ Στέργιο με το συμπέρασμά σου. Το ίδιο μπορεί να επιβεβαιωθεί και με το αρχείο i.p. που έχω αναρτήσει λίγο πιο πάνω.
Για τον Θοδωρή:
Η απάντησή σου στο αρχικό ερώτημα που τέθηκε από μένα, είναι σωστή. Γιατί την έθεσα; Επειδή υπάρχει ο κίνδυνος κάποιος να δουλέψει με ενέργειες και πρέπει να είμαστε προσεκτικοί στην εξαναγκασμένη ταλάντωση. Υπενθυμίζω τις περσινές αναρτήσεις πάνω στο θέμα μας.
Για τον Αστέριο (αλλά και τον Θοδωρή)
Έχετε δίκιο ότι το θέμα των εξετάσεων δεν επιδέχεται στην πραγματικότητα απάντηση, με βάση την θεωρία του βιβλίου, αλλά και την τοποθέτηση της φίλης Ίριδας.
Βέβαια η απάντηση που ζητήθηκε (και που μεταξύ μας έδωσε ο μέσος μαθητής) ήταν σωστή, με βάση και την τοποθέτηση του Στέργιου.
Επειδή η ασκηση είναι “έξυπνη” μήπως θα μπορούσε να σωθεί αν οι μάζες ήταν ίδιες και άλλαζαν οι σταθερές των ελατηρίων;
Για τον Γιώργο Καραβασίλη (και όχι μόνο).

Έστω ότι τρεις όμοιες σφαίρες μάζας 1kg ηρεμούν στα άκρα τριών ελατηρίων με σταθερές k1=40Ν/m, k2=160Ν/m και k3=360Ν/m, τα οποία είναι δεμένα σε οριζόντια ράβδο.
Θέτουμε την ράβδο σε κατακόρυφη ταλάντωση πλάτους Α=0,3m.
i) Ποιες οι ιδιοσυχνότητες των τριών σφαιρών;
ii) Αν η συχνότητα ταλάντωσης της ράβδου, πάρει τις παραπάνω τιμές, τι συμβαίνει με τα πλάτη ταλάντωσης των σφαιρών.
Οι ιδιοσυχνότητες των 3 σφαιρών είναι 1Ηz, 2Ηz και 3Ηz αντίστοιχα.
Η κάθε σφαίρα αποκτά διαφορετικό μέγιστο πλάτος όταν συντονίζεται. (Δείτε και την απάντηση του Στέργιου Ναστόπουλου παραπάνω)
Η πρώτη αποκτά πλάτος περίπου 0,53m, η δεύτερη περίπου 1,05m, ενώ η τρίτη 1,6m.
Δείτε τις παρακάτω γραφικές παραστάσεις για συχνότητες διεγέρτη 1Ηz,2Ηz και 3Ηz αντίστοιχα.
Μπορείτε και να δοκιμάστε διάφορες συχνότητες με το παρακάτω αρχείο i.p.
Συνημμένα:
Ταλάντωση 3 σφαιρών ίδιας μάζας
Εδώ φαίνεται ότι το συντονιζόμενο σώμα έχει κάθε φορά το μεγαλύτερο πλάτος και άρα η άσκηση του συναδέλφου Χρήστου Ελευθερίου σώζεται. Τουλάχιστον για τις συγκεκριμένες τιμές.
Έχω τη διαίσθηση ότι και για μικρότερες τιμές του k θα συμβαίνει το ίδιο αφού για το συντονιζόμενο το Αmax θα μικραίνει αλλά επίσης θα μικραίνουν τα Α για τα άλλα ελατήρια αφού θα απομακρύνονται από τη συχνότητα συντονισμού τους.
Καραβασίλης Γιώργος είπε:
Στην εξίσωση του Στέργιου αντι F/m βάλτε Α(ράβδου)*ωο^2 (στο μοντέλο του Διονύση την εξαναγκασμένη δεν την προκαλεί δύναμη άλλα η ταλάντωση της ράβδου) τότε
Amax~sqrt(k) dAmax/dk~1/sqrt(k)
Με την προσέγγιση ω->0 (το k μικραίνει) bω/m=0
A~1/k dΑ/dk~1/k^2
και άρα καθώς μικραίνει το k (και η συχνότητα της ράβδου ώστε το σώμα με το μικροτερο k να συντονίζει) το Α των μη συντονιζόμενων ταλαντώσεων ελαττώνεται πιο γρήγορα από το Αmax της συντονισμένης.
Πολύ πρόχειροι οι συλλογισμοί μου αλλά μπορούν να δοκισμασθούν φαντάζομαι στο ip.
(Δεν ξέρω πως και που τρέχει αυτό το αρχείο)