
Σε ένα οριζόντιο σωλήνα σταθερής διατομής 100cm2 έχουμε μια στρωτή ροή νερού. Σε δύο σημεία Β και Γ, τα οποία απέχουν οριζόντια απόσταση x=4m, συνδέονται δυο λεπτοί κατακόρυφοι σωλήνες, στους οποίους το νερό ανέρχεται σε ύψη h1=40cm και h2=39,6cm αντίστοιχα, όπως στο διπλανό σχήμα. Κάποια στιγμή, την οποία θεωρούμε t=0, η παροχή του σωλήνα, είναι Π0=0,2L/s.
i) Να βρεθούν οι ταχύτητες ροής στα σημεία Β και Γ τη στιγμή t=0.
ii) Να υπολογιστούν οι τιμές της πίεσης στα σημεία Β και Γ, καθώς και η διαφορά πίεσης μεταξύ τους.
iii) Να βρεθεί η επιτάχυνση της ποσότητας του νερού, μεταξύ των σημείων Β και Γ.
iv) Να υπολογιστεί η ταχύτητα του νερού στο σημείο Β τη στιγμή t1=10s , καθώς και ο όγκος του νερού που εξέρχεται από το δεξιό άκρο του σωλήνα μέχρι τη στιγμή t1, θεωρώντας σταθερά τα ύψη του νερού στους δύο κατακόρυφους σωλήνες.
Το νερό να….
Η συνέχεια στο Blogspot.
ή
![]()


Καλό. Κάτι σαν το φορτίο-εμβαδόν του διαγράμματος Ι-t.
Θα αλλάξουν τα ύψη μια μεταγενέστερη στιγμή που οι ταχύτητες θα έχουν μεγαλύτερες τιμές;
Γιάννη, έδωσα:
"θεωρώντας σταθερά τα ύψη του νερού στους δύο κατακόρυφους σωλήνες."
Ναι. Αν όμως μεγαλώσει η ταχύτητα, π.χ. στο Β, δεν πρέπει εκεί να πέσει η πίεση;
Αυτό από πού προκύπτει;
1) Η ροή δεν είναι μόνιμη, οπότε δεν ισχύει η εξίσωση Bernoulli. Έχουμε μια επιταχυνόμενη ροή σε κάθε σημείο του ρευστού στον σωλήνα.
2) Έχω εφεύρει! ειδικό μηχανισμό μεταβολής της πίεσης (τι μόνο ο Ζωγράφος θα είναι εφευρέτης;), που διατηρεί σταθερά τα ύψη του νερού στους δύο σωλήνες….
Συμφωνώ στο ότι η εξίσωση Μπερνούλι δεν ισχύει.
Δεν είπα να υπολογίσουμε απ' εκεί τα ύψη στους σωλήνες.
Αισθάνομαι όμως ότι σταθερό ύψος στους σωλήνες σημαίνει σταθερή πίεση στην βάση κάθε σωλήνα.
Σκέφτομαι ότι αυτό σημαίνει σταθερή ταχύτητα νερού.
Δεν λέω να εφαρμόσουμε τον νόμο Μπερνούλι αλλά αν αυξηθεί η ταχύτητα δεν θα πέσει η πίεση;
Όχι Γιάννη, αν αριστερά στο σωλήνα μέσω ενός εμβόλου αυξάνω την πίεση, η οποία θα μειώνεται γραμμικά κατά μήκος του σωλήνα, μέχρι που στο δεξιό άκρο (ας το δούμε σαν το ανοικτό άκρο) να είναι ίση με την ατμοσφαιρική πίεση.
Το δέχομαι.
Αυτό που ήθελα να πω παραπάνω Γιάννη, είναι το εξής:
Ο σωλήνας στο άκρο Α είναι κλειστός. Το ύψος του νερού στους δυο σωλήνες είναι το ίδιο και ίδιο με το ύψος στη δεξαμενή.
Αν ανοίξουμε το άκρο Α, το νερό επιταχύνεται σύμφωνα με την εξίσωση που παραθέτεις, όπου ο προσθετέος
Δίνει την επιτάχυνση, που συνδέεται με την αλλαγή της ταχύτητας ενός σημείου και το αποτέλεσμα είναι να μειώνεται η πίεση κατά μήκος του σωλήνα, μέχρι να καταλήξει στην ατμοσφαιρική πίεση.
Αν λοιπόν στο παραπάνω σχήμα έχουμε κάποιο ύψος νερού, το νερό στον οριζόντιο σωλήνα θα επιταχυνθεί και σε ελάχιστο χρόνο θα εκρέει με ταχύτητα υ=√2gh. Αν όμως ασκήσουμε κατάλληλη δύναμη στο ρευστό μέσω εμβόλου, μπορούμε να αυξάνουμε την ταχύτητα εκροής.
Στην ανάρτηση λοιπόν αυτή, θέλω να δείξω πώς μπορεί να επιταχύνεται το ρευστό, πώς δηλαδή σε ένα ορισμένος σημείο μπορεί να μεταβάλλεται η ταχύτητα, σε αντίθεση με την περίπτωση μιας μόνιμης ροής, όπως στο σχήμα:
Όπου το νερό επιταχύνεται στο στένωμα, αλλά αυτό δεν σημαίνει αλλαγής της ταχύτητας στο σημείο Ο, απλά στο Β έχει μεγαλύτερη ταχύτητα από την αντίστοιχη ταχύτητα στο Ο.
Καλησπέρα
Μάλλον Διονύση δεν χρειάζεται έμβολο.
Αν δίνεται ότι το υγρό δεν έχει ιξώδες ( ιδανικό ) τότε η παρακάτω εικόνα σημαίνει ότι η βρύση έχει μεγαλύτερη παροχή από την έξοδο του σωλήνα και συνεπώς το ρευστό επιταχύνεται
Καλή ιδέα αλλά…δεν έχω πειστεί ότι τα ύψη θα παραμένουν ίδια ( στο χρόνο ) στα σωληνάκια … ίσως παραμένει η διαφορά τους … διότι εσύ έχεις σε σωλήνα σταθερής διατομής αύξηση της ταχύτητας και άρα επιτάχυνση και αύξηση παροχής …
Πολύ ωραία ιδέα Διονύση!
Η εφαρμογή του 2ου νόμου του Νεύτωνα που κάνεις για το τμήμα του υγρού μεταξύ των σημείων Β, Γ είναι ισοδύναμη με το νόμο Bernoulli στη μορφή που γράφει πιο πάνω ο Γιάννης.
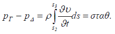
Για του λόγου το αληθές, το ολοκλήρωμα ρ∫(θυ/θt)ds από Β έως Γ γίνεται:
ρ∫(θυ/θt)ds = ρ∫(dυ/dt)ds = ρα∫ds = ραx
και αν πολ/σουμε με τη διατομή Α:
ραxΑ =ραV = mα.
Οπότε η εξίσωση
Καλημέρα Διονύση.
Συμφωνώ με την παραπάνω ανάλυσή σου.
Καλημέρα Δημήτρη.
Η βρύση που λες, ίσως είναι μια εύκολη λύση, αν και πρέπει να ρυθμίζεται η παροχή της…
Πάμε τώρα στην εξίσωση του Διονύση για την επιταχυνόμενη ροή:
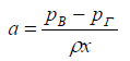
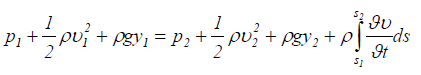
Οπότε για τον σωλήνα της άσκησης όπου υ1=υ2 (εξίσωση συνέχειας σε συνδυασμό με το ότι το ρευστό είναι ασυμπίεστο) παίρνουμε για τις πιέσεις στα σημεία Β και Γ.



Αν λοιπόν μιλάμε για σταθερή επιτάχυνση, όπως στην άσκηση, θα έχουμε σταθερή διαφορά πίεσης μεταξύ των δύο σημείων.
Αν πάμε τώρα αντίστοιχα για τις πιέσεις μεταξύ του Γ και του δεξιού άκρου του σωλήνα Δ, όπου η πίεση είναι ίση με την ατμοσφαιρική (ας πούμε ότι εκεί χύνεται το νερό), θα ισχύει επίσης ότι η διαφορά:
Αλλά τότε και το ύψος του νερού στον σωλήνα h2 θα παραμένει σταθερό, οπότε και το h1παραμένει επίσης σταθερό.
Αν δεν θέλουμε τώρα να εμπλέξουμε την παραπάνω εξίσωση και να το πούμε με απλό τρόπο, ας πάμε στην εξίσωση της ανάρτησης:

Αν λοιπόν μιλάμε για σταθερή επιτάχυνση, θα έχουμε και σταθερή διαφορά πίεσης μεταξύ Β και Γ.
Αλλά το ίδιο θα ισχύει και μεταξύ Γ και Δ:

Συνεπώς πρέπει να έχουμε σταθερό ύψος h2 αλλά τότε και σταθερό h1.
Παραπάνω, απλά το έθεσα από την αντίστροφη. Έδωσα ως δεδομένο τα σταθερά ύψη για να προκύψει σταθερή επιτάχυνση του νερού.
Καλημέρα Διονύση.
Ναι το είδα λίγο αργότερα κι εγώ το αποτέλεσμα της σύγκρισης με το Δ.
Έχεις δίκιο.
Αν σταθερά ύψη τότε σταθερή επιτάχυνση και αντίστροφα.
Και δεν χρειάζεται κάποια εξωτική ρύθμιση.
Αρκεί το έμβολο του σχήματος που παρέθεσες να κινείται με σταθερή επιτάχυνση, ίση με την υπολογισθείσα επί τον λόγο “μικρή διατομή/μεγάλη διατομή”.
Τότε οι στάθμες θα σταθούν στο ύψη που δίνει η άσκηση.
Μπερδεύτηκα με το θέμα αλλά είναι σωστό.
καλημέρα Γιάννη
“επί τον λόγο “μικρή διατομή/μεγάλη διατομή””
εννοείς “διατομή σωλήνα/διατομή δοχείου”, ναι;
καλημέρα Διονύση
πολύ καλή, αλλά λίγο “εκτός” δεν είναι;
Ακριβώς Βαγγέλη. Για αυτήν του δοχείου μιλώ.
Καλημέρα Διονύση . Πως γίνεται να ισχύει Αυ=σταθερό (νόμος συνέχειας) , Α=σταθερό και υ=μεταβλητή , Κάτι δεν μου πάει καλά ..Δώσε διευκρινίσεις.
καλημέρα Γιάννη
(επειδή έτυχε να το δω πριν τον Διονύση)
το Αυ=σταθ (ουσιαστικά διατήρηση της μάζας) είναι “τοπικό”, ισχύει δηλαδή για όλα τα σημεία του σωλήνα, μπορεί να αλλάζει με το χρόνο, αλλά πάλι θα είναι το ίδιο παντού, κάτι ανάλογο με το ομογενές ηλεκτρικό πεδίο που είναι χρονικά μεταβαλλόμενο
Καλημέρα Γιάννη
Χωρικά σταθερή παροχή χρονικά αυξανόμενη ταχύτητα
Καλημέρα Γιάννη.
Γίνεται άνετα. Όταν λέμε ότι Α.υ= σταθ. εννοούμε χωρικά και όχι χρονικά.
Δηλαδή την ίδια στιγμή σε διαφορετικές στιγμές Α1.υ1=Α2.υ2.
Όταν αυξάνει το υ1 αυξάνει ανάλογα και το υ2 ώστε η παραπάνω σχέση να επαληθεύεται κάθε στιγμή. Αν το έμβολο κινείται με επιτάχυνση, ή και καθ’ οιονδήποτε τρόπο, η παραπάνω σχέση ισχύει διότι όσο νερό περνάει από την πρώτη διατομή σε χρόνο dt τόσο περνάει και από την άλλη.
Στο επόμενο dt θα περάσουν άλλες ποσότητες αλλά πάλι ίσες μεταξύ τους.
Α με πρόλαβε ο Δάσκαλος εκ κλασικού
συγνώμη δεν ήξερα ότι ήταν επιφυλακή
Καλημέρα σε όλους
Καλημέρα σε όλους .Ναι αλλά εδώ είναι Α1=Α2 άρα ο σωλήνας έχει παντού ίδια διατομή οπότε δεν πρέπει να είναι και υ1=υ2..
Ναι Γιάννη κάθε στιγμή ισχύει
υ1(t)=υ2(t)=υο + a.t
Καλημερα Διονυση !
Πολυ ενδιαφερουσα η περιπτωση που εξεταζεις αν και αρχικα δημιουργει μια αντιφατικη εικονα η διαφορα σταθμης στα σωληνιακια . Εκει ομως βρισκεται και το "μυστικο" !
Ακομα ομως και σε μια μονιμη ροη ο νομος της συνεχειας μπορει να μας οδηγησει στον 2ο Νομο του Νευτωνα . Η αυξηση πχ της ταχυτητας απο μια μεγαλη διατομη προς μια πιο μικρη διατομη προφανως απαιτει την καταλληλη συνισταμενη δυναμη που θα προκαλεσει αυτην την μεταβολη στην ταχυτητα . Επομενως μια καταλληλη διαφορα πιεσης αναμεσα στις δυο περιοχες .
Ο μηχανισμος που εχεις "εφευρει" για να διατηρει αυτην την διαφορα πιεσης ειναι η "Ζωγραφικη" της ασκησης !!!
Καλημέρα Διονύση ,καλημέρα σ'όλους.
Ένοιωθα σαν τη ''βρεγμένη γάτα'' και αλληθώριζα
με το Αυ=σταθ. μέχρι που κατάλαβα
(από το διάλογο Γιάννη- Διονύση-Διονύση-Μήτσο)
το τρόπο ρύθμισης στα ''ζύγια'' των στηλών.
''Αλλιώτικη '' και ωραία!
Να'στε καλά
Γεια σας συνάδελφοι, χαίρομαι για την συμμετοχή σας στη συζήτηση και σας ευχαριστώ γι’ αυτήν.
Ο σκοπός της «προβοκατόρικης» αυτής άσκησης οφείλω να παραδεχτώ, ότι ήταν αυτός ακριβώς. Ο προβληματισμός και η συζήτηση.
Οπότε Βαγγέλη, δεν έχω κανένα πρόβλημα να δεχτώ ότι η άσκηση «αλλά λίγο "εκτός" δεν είναι;» μπορεί να είναι ως και πολύ εκτός!
Να μου επιτρέψετε να εξηγήσω λοιπόν την σκέψη μου.
Νομίζω ότι ο τρόπος που βάζει το βιβλίο τα πράγματα, είναι πολύ τυπικός και απέχει πολύ από το να επιτρέπει μια ουσιαστική διδασκαλία των ρευστών. Δίνει την εντύπωση, ότι ο μαθητής δεν χρειάζεται να κατανοεί τι ακριβώς «παίζεται», αρκεί να μάθει, 1,2,3,4 εξισώσεις και να μπορεί να τις εφαρμόζει για να βρίσκει την ταχύτητα ροής από τρύπα, στο πλευρό μιας δεξαμενής. Αυτή η λογική μου ήταν πάντα απωθητική και ποτέ δεν την ενστερνίστηκα.
Όταν διδάσκουμε υλικό σημείο (Α΄ Λυκείου) διδάσκουμε, κίνηση, δυναμική (ισορροπία), έργο ενέργεια.
Στο στερεό διδάσκουμε, κίνηση, ισορροπία, δυναμική, στροφορμή, έργο-ενέργεια.
Και στα ρευστά; Γιατί δεν ακολουθούμε αντίστοιχη πορεία; Υπάρχει κάποιος λόγος;
Υδροστατική και μετά διατήρηση ενέργειας!
Και πώς γίνεται τα ρευστά να τίθενται σε κίνηση; Πού και πότε θα διδάξουμε στα παιδιά ότι η διαφορά πίεσης προκαλεί την επιτάχυνση του ρευστού; Ποτέ!
Για παράδειγμα. Στο σχήμα και για μόνιμη ροή, οι μαθητές θα διδαχτούν ότι στους δύο σωλήνες δεν ανεβαίνει το νερό!
Γιατί δεν ανεβαίνει; Γιατί είναι παντού η ίδια πίεση με βάση τον Bernoulli. Και τότε το νερό γιατί ρέει; Θα μιλήσουμε για αδράνεια; Για πρώτο νόμο ίσως;
Πιθανότατα ο μαθητής θα συνδυάσει τη λογική ότι αν υπάρχει μια διαφορά πίεσης υπάρχει και μια μόνιμη ροή με σταθερή ταχύτητα ροής. Ή το πολύ να μπορεί να εφαρμόζει τη λογική, ότι στο σωλήνα του σχήματος:
στο στενό μέρος, που έχουμε μεγάλη ταχύτητα ροής έχουμε μικρότερη πίεση. Αλλά αυτή η διαφορά πίεσης τι αποτέλεσμα έχει; Τι προκαλεί;
Αυτές αγαπητοί φίλοι ήταν οι σκέψεις που με οδήγησαν να γράψω την παραπάνω ανάρτηση, χωρίς να πιστεύω ότι ένα παρόμοιο θέμα μπορεί να μπει σε εξετάσεις, αφού η επιτάχυνση του ρευστού, δεν διδάσκεται πουθενά…
Αλλά τουλάχιστον οι διδάσκοντες ας προβληματιστούν και ας ξεκαθαρίσουν μέσα τους την πορεία των πραγμάτων και αν χρειαστεί κάποια απάντηση σε ερώτηση μαθητή, ας είναι προετοιμασμένοι…
Το παράδοξο το οποίο αναδεικνύεται επίσης είναι το:
Αύξηση ταχύτητας=>πτώση πίεσης.
Αυτό είναι χωρικά σωστό και όχι χρονικά. Δηλαδή όταν την ίδια στιγμή σε μια θέση έχουμε μεγαλύτερη ταχύτητα απ ότι σε άλλην , θα έχουμε και μικρότερη πίεση.
Όμως όταν αυξάνεται η ταχύτητα χρονικά δεν συμβαίνει κάτι ανάλογο.
Σωστά Γιάννη.
Στο σχήμα που έδωσα παραπάνω
Με βάση την εξίσωση Bernoulli, εύκολα βγαίνει το συμπέρασμα ότι στο στένωμα όπου έχουμε μεγαλύτερη ταχύτητα, θα έχουμε μικρότερη πίεση. Αλλά γιατί να συμβαίνει;
Μήπως πρέπει το ρευστό για να φτάσει από το Α στο Γ, από τον φαρδύ σωλήνα στο στενό, να επιταχυνθεί; Πώς αυξήθηκε η ταχύτητά του;
Αλλά αυτό δεν φαίνεται προφανές από αυτά που θα διδαχτεί το παιδί με βάση το βιβλίο.
Λείπει δηλαδή, ότι στην περιοχή που υπάρχει το στένωμα, πρέπει να ασκηθεί δύναμη, σε κάθε σωματίδιο ρευστού, ώστε αυτό να επιταχυνθεί και να αυξηθεί η κινητική του ενέργεια. Αλλά από πού θα ασκηθεί η δύναμη; Δεν υπάρχει τίποτα άλλο, παρά τα διπλανά τμήματα του ρευστού και αυτά θα ασκήσουν τη δύναμη. Αλλά τότε η πίεση στο Ο θα πρέπει να είναι μεγαλύτερη από το Β.
Αλλά όλα αυτά θα συμβαίνουν, όταν αλλάζει διαστάσεις ο σωλήνας και μπορούμε να έχουμε μια μόνιμη ροή με τοπικές επιταχύνσεις.
Και αν ο σωλήνας έχει σταθερή διατομή;
Τότε αν υπάρχει μια διαφορά πίεσης μεταξύ δύο σημείων, όλο το νερό μεταξύ των δύο σημείων θα αποκτά την ίδια επιτάχυνση και αυτό δεν επιβάλλεται από κανένα σχήμα σωλήνα. Ισχύει για κάθε χρονική στιγμή που υπάρχει διαφορά πίεσης και επιβάλλει μεγαλύτερη κινητική ενέργεια στο ρευστό, καθώς περνάει από το σημείο αυτό. Έτσι η ταχύτητα ενός σημείου αυξάνεται με το χρόνο, χωρίς αυτό να σημαίνει ότι πρέπει να επιβάλλει μείωση της πίεσης του σημείου. Απλά έχουμε μια μη μόνιμη επιταχυνόμενη ροή.
Καλησπέρα Διονύση , επειδή δεν πολυκατάλαβα επανέρχομαι με ένα παράδειγμα ." Εστω κατακόρυφος σωλήνας σταθερής διατομής που είναι γεμάτος νερό από τη μέση και πάνω , ενώ το κάτω άκρο φράσεται με έμβολο το οποίο απομακρύνουμε με επιτάχυνση μεγαλύτερη της g , τότε η στήλη του νερού θα κινείται προς τα κάτω με επιτάχυνση g " Ρωτάω σύμφωνα με τα όσα γράφεις να μου πεις ποιά διαφορά πίεσης ευθύνεται για την επιτάχυνση του νερού;
Βάζεις απλά το βάρος Γιάννη, στο παιχνίδι…
Δεν συμβαίνει κάτι εξαιτίας της πίεσης.
Αν ηταν εκτός βαρυτικού πεδίου θα μπορούσε να επιταχυνθεί με ένα έμβολο ..Προσπαθώ να σκεφτώ ένα μηχανισμό που προκαλεί την διαφορά πίεσης στο παράδειγμα της ανάρτησης σου αλλά δεν …είμαι και αρκετά κουρασμένος από το ολοήμερο τρέξιμο.
Αν ήταν εκτός πεδίου βαρύτητας Γιάννη, θα μπορούσε να επιταχυνθεί κατακόρυφα με τη βοήθεια ενός εμβόλου, αλλά όχι αφαιρώντας το έμβολο, αλλά "σπρώχνοντάς" το…
Ναι Διονύση αλλά στη περίπτωση της ανάρτησης σου δεν βλάπω κάποιο έμβολο η κάποιον άλλο πιεστικό μηχανισμό .
Καλησπέρα
Παιδιά εσείς έχετε προχωρήσει πολύ!
Διονύση εξαιρετικό και ιδιαίτερο θέμα.
Στο iii) ερώτημα μιλάς για στήλη νερού μεταξύ Β και Γ, νομίζω ότι είναι πιο σωστή έκφραση αυτή που χρησιμοποιείς στη λύση "ποσότητα νερού μεταξύ Β και Γ".
Καλησπέρα συνάδελφοι
Διονύση θα συμφωνήσω και εγώ ότι πρόκειται για εξαιρετικό θέμα μελέτης μη μόνιμης στρωτής ροής με στοιχειώδη εργαλεία.
Κάποιες σκέψεις.
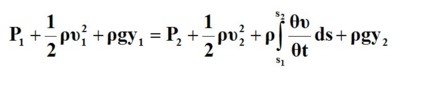
Ο 2ος νόμος του Νεύτωνα για την περίπτωση ενός ιδανικού ρευστού στην περίπτωση που οι ασκούμενες δυνάμεις σε ένα στοιχειώδες τμήμα του είναι οι βαρυτικές και οι δυνάμεις από το υπόλοιπο υγρό είναι:
Ο πρώτος όρος του 1ου μέλους είναι o ρυθμός μεταβολής της ταχύτητας ως προς τον χρόνο.
Ο δεύτερος όρος του 1ου μέλους είναι "το μέρος" της επιτάχυνσης ενός υλικού σημείου του ρευστού η οφειλόμενη στην αλλαγή θέσης του (το "μπουκάλ"ι του Διονύση).
Στην περίπτωση του προβλήματος που εξετάζει ο Διονύσης τέτοιος όρος δεν υπάρχει διότι ο σωλήνας έχει σταθερή διατομή.
Ο πρώτος όρος του 2ου μέλους είναι η δύναμη ανά μονάδα μάζας η οφειλόμενη στην διαφορά πίεσης και
Ο δεύτερος όρος του 2ου μέλους είναι η ανά μονάδα μάζας ασκουμένη βαρυτική δύναμη.
Επειδή ο σωλήνας είναι οριζόντιος ο όρος αυτός δεν συνεισφέρει στην επιτάχυνση.
Αν το υγρό ήταν φορτισμένο και η ροή εξελισσόταν σε ηλεκτρικό πεδίο θα υπήρχε και ο αντίστοιχος όρος κ.τ.λ.
Αν η ταχύτητα του υγρού ήταν χρονικά σταθερή, τότε θα έπρεπε η βαθμίδα της πίεσης να είναι μηδέν και συνεπώς η πίεση χωρικά σταθερή.
Αυτό όμως είναι αντίθετο με την υπόθεση.
Επομένως κάπου έξω από το παράθυρο της εκφώνησης υπάρχει η κατάλληλη διάταξη με την οποία εξασφαλίζεται η διαφορά πίεσης.
Καλημέρα συνάδελφοι.
Μανώλη και Βαγγέλη, σας ευχαριστώ για το σχολιασμό.
Γιάννη, νομίζω ότι η απάντηση του Βαγγέλη παραπάνω, εξηγεί με αδιαμφισβήτητο τρόπο (Μαθηματικά γαρ…), τα ερωτήματα που έβαλες, τόσο όσον αφορά τη βαρύτητα, όσο και το ότι υπάρχει κατάλληλη διάταξη που εξασφαλίζει την βαθμίδα πίεσης.
Σε προηγούμενο σχόλιο είχα δώσει έναν τέτοιο μηχανισμό, μέσω του σχήματος:
Ενώ ο Δημήτρης Γκενές είχε δώσει το σχήμα:
Καλημέρα Διονύση επετρεψε μου μια επαναφέρω μια σκέψη που έχουμε ξανασυζητήσει εδώ http://ylikonet.gr/forum/topics/3647795:Topic:317967 και να ρωτήσω το εξής . "Η βαθμίδα πίεσης κατά μήκος της οριζόντιας φλέβας είναι αιτία ή αποτέλεσμα της ροής"
Καλημέρα και πάλι Γιάννη.
Νομίζω ότι η τοποθέτησή μου στη συζήτηση που δίνεις, υπάρχει στο σχόλιο αυτό και δεν έχω κάτι άλλο να προσθέσω.
Στην παρούσα όμως ανάρτηση, η αιτία της ροής είναι η διαφορά της πίεσης.
Είναι σαν να με ρωτάς Γιάννη:
Δημιουργείται άνεμος και φυσάει, εξαιτίας της διαφοράς πίεσης σε δυο περιοχές της ατμόσφαιρας ή ο άνεμος έχει σαν αποτέλεσμα το βαρομετρικό ψηλό και το βαρομετρικό χαμηλό;
Η δική μου απάντηση είναι ότι, όταν έχεις διαφορά πίεσης μεταξύ δύο περιοχών της ατμόσφαιρας, θα φυσήξει…
Έτσι και εδώ. Δημιουργώ μια διαφορά πίεσης με αποτέλεσμα το νερό να επιταχύνεται και να έχουμε ροή.
Μόλις το πρόσεξα Διονύση για να ξεφύγω λίγο από την ανησυχητική πολεμική Ρωσο-Τουρκική επικαιρότητα της ημέρας. Πολύ καλό πράγματι με έξυπνο φινάλε..
Καλησπέρα Σπύρο.
Δυστυχώς τα μαύρα σύννεφα του πολέμου, πυκνώνουν μέρα τη μέρα…
Καλησπέρα Διονύση!
Μόλις σήμερα κατάφερα να διαβάσω την ανάρτηση σου και ομολογώ πως έχασα λίγο την μπάλα, μιας και στα ρευστά δεν είμαι ακόμη στο επίπεδο που θα θελα να είμαι!
Με προβλημάτισε και μένα αυτό το σταθερό ύψος στα σωληνάκια και ψαχνόμουν για λίγο (πολύ δηλαδή), ευτυχώς διάβασα τα σχόλια και ξεμπερδεύτηκα (ή έτσι πιστεύω!!!).
Μάλλον θα πρέπει να συμπεριληφθούν και τα σχόλια μέσα στην λύση (από κάτω) για να αποκτά σφαιρική άποψη ο αναγνώστης γιατί φαντάζομαι ότι ένας που θα το διαβάσει στο blogspot μάλλον θα χαθεί!
Υ.Γ. πάντως με τέτοια θέματα βλέπουμε (και μαθαίνουμε) το κάτι παραπάνω στα ρευστά γιατί ακόμη το πεδίο είναι ναρκοπέδιο. Σε ευχαριστούμε!
Καλημέρα Βασίλη και σε ευχαριστώ για το σχόλιο.
Τι να προσθέσω στη λύση, όλα αυτά;
Νομίζω ότι αν κάποιος σεβαστεί τα δεδομένα, δεν θα χαθεί.
Αν θέλει να τα θέσει σε κριτική, τότε πρέπει να διαβάσει πράγματι τα σχόλια.
Θα βάλω λοιπόν τον σύνδεσμο για εδώ, στην λύση…
Γιατί όταν χρησιμοποιώ Bernoulli βγάζω ότι η διαφορά πίεσης στα σημεία Β και Α είναι ίση με μηδέν; Εφαρμόζεται εδώ ο νόμος Bernoulli;
Αν όχι, γιατί δε μπορώ και σε ποιες άλλες περιπτώσεις πέραν του σχολικού εγχειριδίου μπορώ να τον χρησιμοποιήσω;
Β και Γ*
Καλησπέρα Μάριε.
Βγάζεις λάθος αποτέλεσμα, επειδή χρησιμοποιείς μια εξίσωση που ΔΕΝ ισχύει.
Η εξίσωση Bernoulli ισχύει για μια μόνιμη ροή. Μια ροή όπου η ταχύτητα σε ένα οποιοδήποτε σημείο παραμένει σταθερή και ανεξάρτητη του χρόνου.
Μπορεί να έχουμε διαφορετικές ταχύτητες από σημείο σε σημείο, αλλά σταθερή ταχύτητα του κάθε σημείου.
Οι ταχύτητες με άλλα λόγια που μπαίνουν στην εξίσωση Bernoulli δεν είναι συναρτήσεις του χρόνου. Στην παραπάνω άσκηση έχεις δεδομένο ότι το ρευστό στους δύο σωλήνες είναι σε διαφορετικό ύψος, άρα έχεις διαφορά πίεσης μεταξύ των σημείων Β και Γ, διαφορά που προκαλεί την επιτάχυνση του ρευστού.
Πώς θα ξέρεις αν πρέπει να χρησιμοποιήσεις την εξίσωση; Το σωστό είναι να αναφέρεται ότι μελετάμε μόνιμη ροή (δυστυχώς οι εκφωνήσεις δεν το λένε πάντα…)
Καλή Ανάσταση.
Κύριε Μάργαρη,
Χριστός Ανέστη! Χρόνια Πολλά! Σας ευχαριστώ πολύ για την διαφωτιστική απάντησή σας. Να περνάτε καλά, με υγεία και να προσέχετε!