Στο κάτω άκρο κατακόρυφου ιδανικού ελατηρίου σταθεράς k=300N/m αναρτάται ένα σώμα μάζαςm1=1kg.Μέσω αβαρούς σχοινιού δένουμε στο m1 ένα δεύτερο σώμα μάζας m2=2kg και το ελατήριο επιμηκύνεται κατά d. Επιχειρούμε να εκτρέψουμε το σύστημα των δύο σωμάτων από τη θέση ισορροπίας του προς τα κάτω κατά x=0,2m με δύο τρόπους. Ο πρώτος τρόπος γίνεται με άσκηση της δύναμης στο m1 ενώ ο δεύτερος ασκώντας δύναμη στο m2. Η δύναμη και στις δύο περιπτώσεις είναι μεταβλητού μέτρου και γίνεται με τέτοιο τρόπο ώστε η μετακίνηση να είναι πολύ αργή τέτοια που να θεωρούμε ότι το σύστημα και το κάθε σώμα ισορροπεί. Αν η επιμήκυνση x=0,2m είναι εφικτή κάποια στιγμή που θεωρείται t=0 αφήνουμε το σύστημα ελεύθερο από τη θέση αυτή να κινηθεί.
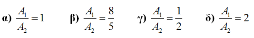
Αν το όριο θραύσης του νήματος είναι Τθρ=50Ν τότε, ο λόγος του πλάτους Α1 της ταλάντωσης που θα εκτελέσει το σώμα m1 μετά το σπάσιμο του νήματος με τον πρώτο τρόπο έκτασης, προς το πλάτος ταλάντωσης Α2 που θα εκτελέσει το m1 μετά το σπάσιμο του νήματος με τον δεύτερο τρόπο έκτασης είναι:

Επιλέξτε την απάντησή σας.
Δικαιολογείστε την επιλογή σας.
συνέχεια στο blogspot ή σε word
Από εδώ η αρχική έκδοση της άσκησης με κλιμακούμενα ερωτήματα
τελικά παίζει ρόλο πως το εκτρέπουμε
![]()
Από τα ομορφότερα 2α θέματα που έχω δει σε κατακόρυφο ελατήριο. Μου θυμίζει πολύ τη λογική της δεκαετίας του '80 των δεσμών.
Μπράβο, είμαι πολύ ενθουσιασμένος για ένα θέμα που ξεχωρίζει.
Ταξιάρχη καλημέρα
Σε ευχαριστώ για το σχόλιο.
Θεωρώ ότι ίσως είναι λίγο βαρύ με ένα μόνο ερώτημα, ενώ με κλιμακούμενα πιο διδακτικό και στρωτό.
Η άσκηση προέκυψε απο ερώτημα μαθήτριας στην καλοκαιρινή προετοιμασία σε άλλη άσκηση ταλάντωσης με αυτή την διάταξη. Θεώρησα ότι είναι ωραία περίπτωση και λίγες μέρες μετά την ανάρτησα
Είναι θέμα Χρήστο.
Θα μπορούσε να γίνει και δεύτερο (δύσκολο) θέμα.
Γιάννη καλημέρα
Δεν αντιλέγω θα μπορούσε να ζητηθεί κάτι τέτοιο αλλά για δεύτερο δεν ξέρω πόσο μπορεί να μαζευτεί ώστε να είναι πιο κομψό.