web analytics

Β γυμνασίου Κεφ 4 Πίεση ερώτηση 3

Η ερώτηση 3 ασφαλώς δεν είναι άσκηση για μαθητές γυμνασίου και η πρότασή μου είναι να μην διδάσκεται. Αν αποκτά ένα ενδιαφέρον είναι γιατί δίνεται προς λύση σε μαθητές από καθηγητές σχολείων και φροντιστηρίων χωρίς να μελετηθεί με την προσοχή που απαιτεί. Έτσι πολλές φορές αναπαράγονται στην αίθουσα διδασκαλίας λανθασμένες απαντήσεις που αναπαράγονται εδώ χρόνια και από βοηθητικά βιβλία πολύ μεγάλης κυκλοφορίας …
Συνέχεια .

Loading

Subscribe
Ειδοποίηση για
32 Σχόλια
Inline Feedbacks
Όλα τα σχόλια
Γιάννης Κυριακόπουλος
Αρχισυντάκτης

Ας βάλω όμως στην μεμβράνη ελαστικότητα. Μια εύκολη ελαστικότητα με ελατήριο, διότι η δική της ελαστικότητα είναι μυστήρια.

Γιάννης Κυριακόπουλος
Αρχισυντάκτης

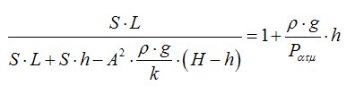
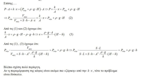
Η πολύ περίεργη αυτή σχέση γίνεται:

Η λύση της εξίσωσης αυτής δίνει το h.

Μπορούμε να την λύσουμε γραφικά με δεδομένα ρεαλιστικοπειραματικά.

Όμως είναι φανερό το ότι η ατμοσφαιρική πίεση θα μπει στην λύση ως υπάρχουσα στον συντελεστή του h στο δεύτερο μέλος.

Εκτός αν οι υπολογισμοί μου είναι λανθασμένοι.

Γιάννης Κυριακόπουλος
Αρχισυντάκτης

Μήτσο γράφαμε μαζί.

Από την τελευταία σχέση που παρέθεσα φαίνεται πως το h εξαρτάται από την ατμοσφαιρική πίεση.

Πόσο δεν ξέρω. Υποθέτω λίγο.

Οι ερωτήσεις αυτού του τύπου ζητάνε μάλλον απαντήσεις όχι προσεγγιστικές.

Λόγου χάριν, αν ερωτηθώ τι θα πάθει η πίεση της ατμόσφαιρας σε βουνοκορφή, θα απαντήσω ότι θα μειωθεί.

Θα μου ανταπαντήσουν ότι η μείωση αυτή είναι μικρή σε σχέση με τα 100.000 Pa ;

Το ξέρω ότι είναι μικρή. Τι να απαντήσω, ότι η πίεση δεν αλλάζει;

Γιάννης Κυριακόπουλος
Αρχισυντάκτης

Μήτσο τα πειράματα είναι σαν τις κυρίες.

Μπορεί να είναι χαριτωμένες βάζοντας ένα απλό φορεματάκι ή να γίνουν “λατέρνες” , όπως συνηθίζεται σε γάμους.

Βάζουνε γούνες καλοκαιριάτικα και η κόμμωση κάτι μεταξύ φωλιάς πουλιού και αμπαλάζ δώρου.

(Πτερουγίζουν καρδερίνε στα ξανθά της τα μαλλιά).

Έτσι και τα πειραματάκια. Μπορεί να είναι όμορφα:

-Κοιτάχτε παιδιά, το βύθισα κι άλλο και ανέβηκε το πράσινο νερό. Γιατί;

-Ανέβηκε η πίεση κύριε.

Αν τώρα με πιάσει το “γλυκύ μου” και θελήσω να κάνω επιστήμη σε μαθητική συσκευασία (καμπύλες, κλίσεις, σφάλματα) μπορεί να πετύχω αλλά μπορεί να και  παράξω “ρομβία”.

Σήμερα έπεισα τους μαθητές μου ότι ο πρώτος κανόνας Κίρχωφ ισχύει μόνο προσεγγιστικά.

Αντί να βάλλω τρία αμπερόμετρα που το ένα να δείχνει κάπου 4 το άλλο κάπου 3 και το άλλο κάπου ένα, έβαλα τα καλά με τα δύο δεκαδικά ψηφία. Το άθροισμα δεν μου έκανε τη χάρη. Άρχισα εκείνες τις άχαρες εξηγήσεις περί οργάνων και ακριβείας. Στο τέλος όμως είμαι σίγουρος  ότι πολλοί θα σκέφτηκαν το περίφημον:

-Άλλο η θεωρία, άλλο η πράξη!

Γιάννης Κυριακόπουλος
Αρχισυντάκτης

Σκέφτομαι ότι η διάταξη θα ήταν αποτελεσματικότερη έτσι:

Μεγάλη κάψα, χωρίς μεμβράνη. Α>>S.

Το νερό θα εισχωρήσει στην κάψα κατά αμελητέο x , μη μετρήσιμο.

Τα δύο ύψη θα είναι ίσα όποια και αν είναι η θερμοκρασία του αέρα.

Θα κατεβάζουμε 20 πόντους την κάψα και θα έχουμε 20 πόντους h.

 

Γιάννης Κυριακόπουλος
Αρχισυντάκτης

Γιώργο τι είναι τα Αραβικά;

Γιώργος Φασουλόπουλος
Αρχισυντάκτης

το υλικονετ δεν γουστάρει Πανιώνιους

 

Γιάννης Κυριακόπουλος
Αρχισυντάκτης

Αν είναι εικόνα στείλε την να την προσθέσω.

Γιώργος Φασουλόπουλος
Αρχισυντάκτης

Normal
0

false
false
false

EL
X-NONE
X-NONE

MicrosoftInternetExplorer4

 
Γιάννη ευχαριστώ,
 
δεν “κόλλησα” εικόνα,
 
μάλλον κάνω λάθος καθώς επισυνάπτω
 
Που θα πάει,
 
Θα μάθω και γω
 

/* Style Definitions */
table.MsoNormalTable
{mso-style-name:”Table Normal”;
mso-tstyle-rowband-size:0;
mso-tstyle-colband-size:0;
mso-style-noshow:yes;
mso-style-priority:99;
mso-style-qformat:yes;
mso-style-parent:””;
mso-padding-alt:0cm 5.4pt 0cm 5.4pt;
mso-para-margin:0cm;
mso-para-margin-bottom:.0001pt;
mso-pagination:widow-orphan;
font-size:11.0pt;
font-family:”Calibri”,”sans-serif”;
mso-ascii-font-family:Calibri;
mso-ascii-theme-font:minor-latin;
mso-fareast-font-family:”Times New Roman”;
mso-fareast-theme-font:minor-fareast;
mso-hansi-font-family:Calibri;
mso-hansi-theme-font:minor-latin;
mso-bidi-font-family:”Times New Roman”;
mso-bidi-theme-font:minor-bidi;}

Γιάννης Κυριακόπουλος
Αρχισυντάκτης

Τι επεσύναψες όμως;

Γιώργος Φασουλόπουλος
Αρχισυντάκτης

τώρα, το κείμενο “ευχαριστώ Γιάννη ….θα μάθω και γω”

αντιγραφή απ’ το γουόρντ,

πριν το λινκ στην υπερθεση

Διονύσης Μάργαρης
Αρχισυντάκτης
02/03/2017 7:46 ΠΜ

Καλημέρα Γιώργο.

Υποψιάζομαι ότι προσπάθησε να δημοσιεύσεις πίνακα, τον οποίο δεν πήρε;

Θα δοκιμάσω στο επόμενο, ως απλό μέλος. Εδώ δοκιμάζω ως διαχειριστής:

Δοκιμή εισαγωγής πίνακα σε σχόλιο 1

Δοκιμή εισαγωγής πίνακα σε σχόλιο

Δοκιμή εισαγωγής πίνακα σε σχόλιο 2

Δοκιμή εισαγωγής πίνακα σε σχόλιο3

Διονύσης Μάργαρης
Αρχισυντάκτης
02/03/2017 7:50 ΠΜ

Τελικά φάνηκε… Δεν παίρνει τον πίνακα σαν απλό μέλος και δεν έφταιγες εσύ Γιώργο…

Πάντα κάτι κερδίζεις και κάτι χάνεις…

Επαναφέρω το προηγούμενο plugin στα σχόλια, κινδυνεύοντας να …ζαλίσω το Γιάννη και με κόστος, να μην διαβάζονται τα e-mail ενημέρωσης…

Γιώργος Φασουλόπουλος
Αρχισυντάκτης