Καλησπέρα κ.Βασιλειάδη!!Να πω την αλήθεια το γ) ερώτημα δεν είμαι σίγουρος οτι το καταλαβαίνω ,το δ) μου αρέσει…Δύσκολα ερωτήματα μου φαίνονται..Θα ήθελα τις λύσεις των ερωτημάτων (θα ανέβει το επίπεδο)..Σε κάθε περίπτωση σας ευχαριστώ πολύ και εύχομαι να είστε καλά!!!
Την επιτάχυνση στοδ) ερώτημα την βρίσκω 15m/s2..o λόγος με την αρχική α ζητείται ημε την α τουγ) ερωτήματος; Το γ) δεν είναι δύσκολο τελικά…Ευχαριστώ για την διευκρίνηση ..
Καλησπερα Σπυρο και κ.Βασιλειαδη.Μια λυση στο γ) ερωτημα.
H επιταχυνση α ,συμφωνα με την αρχη της ισοδυναμιας του Αlbert,ισοδυναμει με ενα βαρυτικο πεδιο g‘=-α.Χρησιμοποιω το σχημα του κ.Βασιλειαδη το οποιο ξαναβαζω εδω.
Προφανως το συνολικο πεδιο βαρυτητας εχει συνιστωσες τις g,g‘και
g’/g=tan(π/2-φ+φ/2)=tan(π/2-φ/2)=cot(φ/2)=(1-cosφ)/sinφ=1.8/0.6=3 Aρα α/g=3
Και μια παρατηρηση.Το νημα δεν θα ισορροπησει ποτέ σχηματιζοντας γωνια φ/2 με την σφηνα. Θα κανει ταλαντωση γωνιακου πλατους φ/2. Αυτη ειναι απλως η θεση ισορροπιας του συστηματος.
Τελευταία διόρθωση2 μήνες πριν από Αποστόλης Παπάζογλου
Καλησπέρα Γιώργο και Κωνσταντίνε!! Ευχαριστώ για τις λύσεις που προσφέρετε!!Κωνσταντίνε σωστή η παρατήρηση σου, αν και με το σχήμα που δόθηκε στην συνέχεια από τον κ. Βασιλειάδη έγινε διευκρίνηση του ερωτήματος..Κωνσταντίνε μια παρατήρηση ,ερώτηση ,απο μένα σε πιο Σπύρο αναφέρετε;:)…Να είστε καλά!!!
Καλησπέρα σας

Πολύ ωραία άσκηση κ. Σφυρή!
Δύο επιπλέον ερωτήματα:
Καλησπέρα κ.Βασιλειάδη!!Να πω την αλήθεια το γ) ερώτημα δεν είμαι σίγουρος οτι το καταλαβαίνω ,το δ) μου αρέσει…Δύσκολα ερωτήματα μου φαίνονται..Θα ήθελα τις λύσεις των ερωτημάτων (θα ανέβει το επίπεδο)..Σε κάθε περίπτωση σας ευχαριστώ πολύ και εύχομαι να είστε καλά!!!
Το σχήμα για το γ) ερώτημα:

Την επιτάχυνση στοδ) ερώτημα την βρίσκω 15m/s2..o λόγος με την αρχική α ζητείται ημε την α τουγ) ερωτήματος; Το γ) δεν είναι δύσκολο τελικά…Ευχαριστώ για την διευκρίνηση ..
Μια λύση του ερωτήματος δ)
Καλημέρα κ. Σφυρή, πολύ ωραία λύση του δ) ερωτήματος!
Καλημέρα κ. Βασιλειάδη!! Έχει αναβαθμιστεί η άσκηση και εγώ με τα πρόσθετα ερωτήματα…Ευχαριστώ πολύ !!!
Καλησπερα Σπυρο και κ.Βασιλειαδη.Μια λυση στο γ) ερωτημα.
H επιταχυνση α ,συμφωνα με την αρχη της ισοδυναμιας του Αlbert,ισοδυναμει με ενα βαρυτικο πεδιο g‘=-α.Χρησιμοποιω το σχημα του κ.Βασιλειαδη το οποιο ξαναβαζω εδω.
Προφανως το συνολικο πεδιο βαρυτητας εχει συνιστωσες τις g,g‘ και
g’/g=tan(π/2-φ+φ/2)=tan(π/2-φ/2)=cot(φ/2)=(1-cosφ)/sinφ=1.8/0.6=3 Aρα α/g=3
Και μια παρατηρηση.Το νημα δεν θα ισορροπησει ποτέ σχηματιζοντας γωνια φ/2 με την σφηνα. Θα κανει ταλαντωση γωνιακου πλατους φ/2. Αυτη ειναι απλως η θεση ισορροπιας του συστηματος.
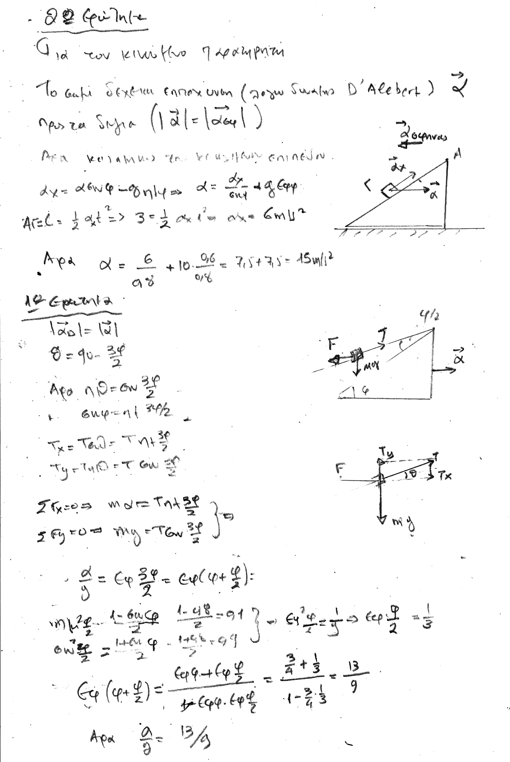
Καλησπερα Γιώργο και Χρήστο. ¨Ομορφη ασκηση με ομορφα ερωτηματα από τον Χρήστ. Μια λυση στα ερωτηματα με χρηση του κινούμενου παρατηρητη:
Καλησπέρα Γιώργο και Κωνσταντίνε!! Ευχαριστώ για τις λύσεις που προσφέρετε!!Κωνσταντίνε σωστή η παρατήρηση σου, αν και με το σχήμα που δόθηκε στην συνέχεια από τον κ. Βασιλειάδη έγινε διευκρίνηση του ερωτήματος..Κωνσταντίνε μια παρατήρηση ,ερώτηση ,απο μένα σε πιο Σπύρο αναφέρετε;:)…Να είστε καλά!!!
Γιώργο δεν ειχα πιει καφέ και τα μπερδεψα!! Σπύρος ειναι ο κουμπάρος μου. 🙂