Καλησπέρα Γιάννη και Διονύση… ακόμα και αν δημιουργείται ένα μικρό άπλωμα ( σίγουρα όχι από s σε Α ), οι εξισώσεις θα έπρεπε να λογαριάσουν τον ρυθμό μεταβολής του διανύσματος της ταχύτητας και όχι μόνο του μέτρου …
Ίσως και να μπορούμε να αποδείξουμε ότι α=g ακριβώς υπολογίζοντας και τον ρυθμό μεταβολής της ταχύτητας λόγω κάποιας μικρής άυξησης και κατόπιν μείωσηςτης διατομής ( κεντρομόλος ) …
οπωσδήποτε ο πρώτος τρόπος αντιμετώπισης είναι λανθασμένος.
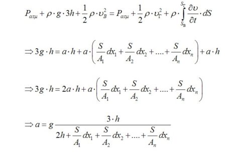
Εννοώ ότι υπάρχουν διατομές της φλέβας (π.χ. Α7 , Α,8, … Α281,…) μεγαλύτερες από την διατομή των σωλήνων που είναι S.
Έτσι ο δεύτερος όρος του παρονομαστή (το μακρύ άθροισμα), είναι μικρότερος από 1 και το κλάσμα μεγαλύτερο της μονάδος. Επί το g και προκύπτει επιτάχυνση μεγαλύτερη του g.
Το ολοκλήρωμα παίρνει αυτήν την μορφή διότι η συνέχεια επιβάλει οι ταχύτητες να είναι αντιστρόφως ανάλογες των διατομών. Οπότε θυ/θt είναι αντιστρόφως ανάλογο της διατομής.
Στους σωλήνες (θυ/θt)=α.
Σε σημείο της φλέβας με διατομή Αi έχουμε ότι (θυ/θt)=α.(S/Ai).
Το ολοκλήρωμα είναι προσθετέοι (θυ/θt).dxi.
Δηλαδή είναι Σα.(S/Ai).dxi=α.Σ(S/Ai).dxi
Είναι φανερό το ότι α.Σ(S/Ai).dxi<α.Σdxi=α.h
Αν ήταν α.h τότε α=3g.h/(2h+h)=g
Τώρα όμως ο παρονομαστής είναι μικρότερος του αριθμητή.
Φυσικά μάλλον κάνω κάποιο λάθος διότι το συμπέρασμα (α>g) είναι διαισθητικά μη αποδεκτό.
Είναι φανερό στην πρώτη εικόνα ότι α>g και όχι α<g όπως έγραψα.
Μοιάζει παράδοξο το αποτέλεσμα.
Πιστεύω ότι κάπου κάνω λάθος.
Κάποια ιδέα στην παρούσα απορία;
Γεια σου Γιάννη.
Έχω την αίσθηση ότι δημιουργείται φλέβα νερού με διατομή, αυτή του μικρού σωλήνα, ενώ το υπόλοιπο νερό του φαρδιού σωλήνα, παραμένει ακίνητο.
Καλησπέρα Γιάννη και Διονύση… ακόμα και αν δημιουργείται ένα μικρό άπλωμα ( σίγουρα όχι από s σε Α ), οι εξισώσεις θα έπρεπε να λογαριάσουν τον ρυθμό μεταβολής του διανύσματος της ταχύτητας και όχι μόνο του μέτρου …
Ίσως και να μπορούμε να αποδείξουμε ότι α=g ακριβώς υπολογίζοντας και τον ρυθμό μεταβολής της ταχύτητας λόγω κάποιας μικρής άυξησης και κατόπιν μείωσηςτης διατομής ( κεντρομόλος ) …
οπωσδήποτε ο πρώτος τρόπος αντιμετώπισης είναι λανθασμένος.
( επιτέλους δουλεύει )
Καλησπέρα παιδιά.
Και εγώ πιστεύω στην δημιουργία φλέβας.
Αν όμως η φλέβα μέσα ανοίγει, έστω λιγάκι (έστω 20%), η επιτάχυνση ξεπερνά το g.
Αυτό μου φαίνεται παράδοξο. Ένα σώμα κινείται με επιτάχυνση μεγαλύτερη από g αν το τραβάς κάτω.
Το ρουφάει το νερό του μεσαίου δοχείου;
Αν είχαμε έναν σωλήνα, καταλαβαίνω πως θα πέσει με g. Όμως πάχυνε ο σωλήνας στη μέση και ρουφάει το νερό του επάνω;
Καλημέρα Γιάννη.
Αν ανοίγει η φλέβα στο πάνω μέρος του μεσαίου δοχείου, κλείνει στο κάτω μέρος του.
Η επιτάχυνση στους στενούς σωλήνες είναι η ίδια και πρέπει να είναι ίση με g.
Αν δεχτούμε σταθερή διατομή της φλέβας, τότε και σε όλα τα σημεία της φλέβας στο μεσαίο δοχείο θα έχουμε την ίδια επιτάχυνση.
Αν δεχτούμε ότι η φλέβα φαρδαίνει, τότε έχουμε μια κατανομή επιταχύνσεων γύρω από την τιμή g, με μέση τιμή g.
Αν η φλέβα ανοίγει μέσα:
Το τελευταίο Διονύση είναι μεγαλύτερο από g.
Εννοώ ότι υπάρχουν διατομές της φλέβας (π.χ. Α7 , Α,8, … Α281,…) μεγαλύτερες από την διατομή των σωλήνων που είναι S.
Έτσι ο δεύτερος όρος του παρονομαστή (το μακρύ άθροισμα), είναι μικρότερος από 1 και το κλάσμα μεγαλύτερο της μονάδος. Επί το g και προκύπτει επιτάχυνση μεγαλύτερη του g.
Γιάννη, δεν καταλαβαίνω τι θέλεις να πεις.
Πώς το ολοκλήρωμα παίρνει αυτή την κατάληξη;
Έχεις δεχτεί ότι η επιτάχυνση είναι απλά συνάρτηση της διατομής.
Παραπάνω όμως υποστήριξα ότι άλλη επιτάχυνση θα έχουμε σε ένα σημείο όταν ανοίγει η φλέβα (μεγαλύτερη από g) και άλλη όταν κλείνει (μικρότερη από g)…
Μαθηματικά αυτό δεν ξέρω πώς μπορεί να αποδοθεί.
Η ιδέα του Μήτσου παραπάνω για συνυπολογισμό της κεντρομόλου, είναι ίσως ένας δρόμος, που πρέπει να ανιχνευτεί…
Το ολοκλήρωμα παίρνει αυτήν την μορφή διότι η συνέχεια επιβάλει οι ταχύτητες να είναι αντιστρόφως ανάλογες των διατομών. Οπότε θυ/θt είναι αντιστρόφως ανάλογο της διατομής.
Στους σωλήνες (θυ/θt)=α.
Σε σημείο της φλέβας με διατομή Αi έχουμε ότι (θυ/θt)=α.(S/Ai).
Το ολοκλήρωμα είναι προσθετέοι (θυ/θt).dxi.
Δηλαδή είναι Σα.(S/Ai).dxi=α.Σ(S/Ai).dxi
Είναι φανερό το ότι α.Σ(S/Ai).dxi<α.Σdxi=α.h
Αν ήταν α.h τότε α=3g.h/(2h+h)=g
Τώρα όμως ο παρονομαστής είναι μικρότερος του αριθμητή.
Φυσικά μάλλον κάνω κάποιο λάθος διότι το συμπέρασμα (α>g) είναι διαισθητικά μη αποδεκτό.
Για την κεντρομόλο συνιστώσα της επιτάχυνσης:
Δεν έχει μηδενική προβολή στην ροϊκή γραμμή;
Θα υπεισέλθει στο επικαμπύλιο ολοκλήρωμα;
Αυτές οι μη μόνιμες ροές, δεν μου αρέσουνJ
Όσο το σκέφτομαι, τόσο καταλήγω ότι η φλέβα δεν πρέπει να ανοίγει…
Δεν μου αρέσει αυτό το άθροισμα και θα ήθελα να δούμε κάτι άλλο.
Έστω τα σημεία Α, Β, Γ και Μ, Ν
Αν κάποια στιγμή t1 έχουμε υΑ=4m/s θα έχουμε και υΓ=4m/s, ενώ υΒ=2m/s.
Αλλά τότε αΑ=αΓ>αΒ
Αν δηλαδή αΓ=g, τότε και αΑ=g ενώ αΒ<g.
Για παράδειγμα αν SΒ=2SΑ, τότε αΒ= ½ g!
Αλλά τότε για τα σημεία Μ και Ν η επιτάχυνση θα έχει τιμή ½ g<αΜ=αΝ<g.
Δηλαδή η επιτάχυνση θα μπορούσε να μεταβάλλεται κάπως έτσι:
Ναι έτσι μπορεί να μεταβάλλεται η επιτάχυνση. Έτσι πιστεύω.
Όμως το ολοκλήρωμά της πρέπει να δώσει 3g.h
Το ολοκλήρωμα είναι το εμβαδόν. Για να πάρεις εμβαδόν 3g.h πρέπει να βάλεις τιμή στο διάγραμμα μεγαλύτερη από g.
Αν όμως ισχύει το παρακάτω;Βγαίνει το εμβαδόν 3g.h
Δίκιο έχεις ότι το εμβαδόν που πρέπει να δίνει 3gh…
Οπότε;
Η μόνη λογική σκέψη που μου απομένει είναι να μην ανοίγει η φλέβα!
Φλέβα σταθερής διατομής.
Το να έχουμε επιτάχυνση μεγαλύτερη από g μου είναι εντελώς αφύσικοJ