![]() |
Πριν λίγες μέρες “έπεσα” πάνω σε μία άσκηση η οποία αφορούσε την κύλιση χωρίς ολίσθηση ενός δακτυλίου σε μία ημικυκλική τροχιά και τον προσδιορισμό της θέσης απώλειας επαφής. |
Η προτεινόμενη λύση (στα ερωτήματα α και β) υπέθετε προσεγγιστικά ότι ο δακτύλιος εξακολουθεί να κυλίεται χωρίς να ολισθαίνει μέχρι να εγκαταλείψει την τροχιά του.
Στην ανάρτηση που ακολουθεί διερευνάται η ισχύς της προσέγγισης της μη ολίσθησης ενός στερεού με τουλάχιστον κυκλική συμμετρία (ώστε να μπορεί να κυλίεται) μέχρι την θέση όπου θα χάσει την επαφή του με την ημικυκλική τροχιά (ερώτημα γ). Στο άρθρο που ακολουθεί, τα ερωτήματα α και β θα μπορούσαν να αντιμετωπισθούν και από μαθητές στην κατηγορία Αναρτήσεις. Το ερώτημα γ, αν και ως προς τα μαθηματικά είναι θεωρητικά στο επίπεδο των γνώσεων της Γ Λυκείου, κρίνω ότι θα ήταν άσκοπο να απευθυνθεί σε μαθητές.
![]()

Ακόμα καλύτερα Γιάννη.
Για συντελεστή 0.5, για φλοιό και γωνία μετρημένη από τον άξονα x, βγάζω 50.8 μοίρες
Για συντελεστή 2, για φλοιό και γωνία μετρημένη από τον άξονα x, βγάζω 38.1 μοίρες (αυτή έχει μεγάλη απόκλιση).
Στάθη θεωρώ επιβεβαιωμένους τους υπολογισμούς σου διότι η ακρίβεια 200 και η οπτική αναγνώριση της γωνίας εκ μέρους μου κάνουν την δική μου μέτρηση προσεγγιστική. Με παρανοϊκή ακρίβεια (2000) και μεγάλη εστίαση, θα επιβεβαιωθούν πλήρως οι υπολογισμοί σου.
Ας δούμε την προσομοίωση ως κάτι που θα πείσει για το "προβληματικόν" των ασκήσεων αυτών.
Καλό σημείο της προσομοίωσης είναι εκεί που φαίνεται η μείωση της ενέργειας, ενώ είναι ακόμα σε επαφή. Μείωση σημαντική.
Στάθη πολύ διεξοδικη η μελέτη σου! Επιβεβαίωσα τα αποτελέσματα σου για δακτύλιο, σφαιρικό φλοιό και σφαίρα. Τα δούλεψα το καθένα ξεχωριστά για μ=0.5.
Όπως είπαμε λίγο προσοχή χρειάζεται εκεί που κανεις το Bolzano.
Να είσαι καλά Σταθη!
Ευχαριστώ και πάλι Κώστα.
Μετά από την συζήτηση που είχαμε σχετικά με την συνάρτηση f(x) της σχέσης (12), όπου x=ημ(φ), θέλω να διευκρινίσω τα εξής:
Η συνάρτηση f έχει ως τριώνυμο, πεδίο ορισμού το R. Εμάς μας ενδιαφέρει η μονοτονία και οι ρίζες της στο υποσύνολο 0<x<1 γιατί η γωνία φ λαμβάνει τιμές στο διάστημα 0<φ<π/2. Σε αυτό το υποσύνολο του πεδίου ορισμού της, η συνάρτηση f είναι γνησίως αύξουσα και στα άκρα του προκύπτει ότι f(0)<0 και f(1)>0, άρα έχει μία ρίζα, την x+ της σχέσης (13α).
Συνεπώς για να ισχύει η ανισότητα (11), Τ<μΝ και η ισοδύναμή της (12), f(x)<0, πρέπει η μεταβλητή x να λαμβάνει τιμές στο διάστημα 0<x<x+. Συνεπώς η κύλιση χωρίς ολίσθηση υφίσταται στο διάστημα αυτό και η ανώτερη δυνατή τιμή της γωνίας κύλισης είναι η φ+=τοξημ(x+) της σχέσης (14).
Στάθη !!
Συγχαρητήρια και ευχαριστούμε
Η εξαιρετική εργασία σου με κούρασε αλλά το άξιζε…
… νομίζω πως εξαντλεί το θέμα
Υπενθυμίζω πως η κύλιση όχι στην κυρτή αλλά στην κοίλη καμπύλη έχει επίσης μελετηθεί κατά ημερομηνία δημοσίευσης : εδώ1( Μάργαρης ), εδώ2(Ανδρεάδης) εδώ 3 ( Γκενές ) και εδώ 4 (Κορφιάτης )
Στάθη καλησπέρα
Πριν καν ξεκινήσω τη μελέτη από την εισαγωγή σου μου ήρθε στο μυαλό η ανάρτηση του Νίκου Ανδρεάδη και του Διονύση Μητρόπουλου. Ο Νίκος είχε ασχοληθεί με την ανακυκλωση σε κυκλικό οδηγο και μελετούσε τη συνθήκη για ανακύκλωση βάζοντας στο παιχνίδι και την τριβή ολίσθησης. Ο Διονύσης με αυτό που κάνεις και εσύ.
Είναι μια πολύ αξιολογη δουλεια, χαρά στο κουράγιο σου με τις πράξεις.
Τα πρώτα ερωτήματα μπορούν να αντιμετωπισθούν και από μαθητές όπως αναφέρεις. Μου άρεσε η γωνιακή ταχύτητα λόγω ιδιοπεριστροφης και λόγω κυκλικης τροχιάς. Θέλει προσοχή κάτι τετοιο και έχουν γίνει πολλές συζητήσεις σχετικά με την γωνιακή ταχυτητα γενικά ως προς τι εκφραζει ως το διανυσμα που δειχνει την αλλαγή προσανατολισμού.
Καλημέρα Στάθη
Φοβερή δουλειά. Συγχαρητήρια. Είναι η πληρέστερη σχετική μελέτη από όσες έχω υπόψη μου. Πληρέστατη!
Σε ευχαριστώ Δημήτρη.
Ελπίζω την επόμενη φορά να μην σε κουράσω καθόλου. Σε ευχαριστώ για τους συνδέσμους.
Σε ευχαριστώ Χρήστο. Η αλήθεια είναι ότι οι πράξεις ήταν κουραστικές αλλά αναπόφευκτες.
Να σαι καλά Εμμανουήλ. Σε ευχαριστώ.
Καλημέρα Στάθη,
εξαιρετική δουλειά τόσο από την μεριά της φυσικής όσο και των μαθηματικών. Πραγματικά υψηλού επιπέδου
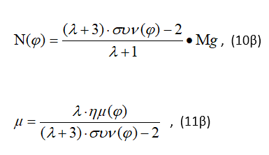
Σταθη απο τις δυο αυτες σχεσεις που εχεις βγαλει παρατηρει κανεις οτι ο αριθμητης της (10β) ειναι παρανομαστης της (11β) . Νομιζω οτι ειναι σημαντικο στην αναλυση που θελουμε να κανουμε στην συνεχεια.
Την ανισωση την δικη σου την εκανα ισοτητα (11β) διοτι η σχεση αυτη μου δινει την γωνια για την οποια ξεκινα η ολισθηση . Προφανως πλεον για την γωνια αυτη δεν μπορει να εχουμε μηδενισμο της Ν .Αρα καταλαβαινουμε οτι προηγειται η ολισθηση της εγκατάλειψης του ημικυκλιου .
Πως το βλεπεις ;
Σε ευχαριστώ Τάσο
κωστα αν κατάλαβα καλά γράφεις το εξής:
Όταν μηδενίζεται η δύναμη Ν στην (10β), για συν(φ0)=2/(λ+1), δεν μπορούμε να ορίσουμε συντελεστή τριβής μέσω της (11β) γιατί ο παρονομαστής μηδενίζεται. Η γωνία φ0 είναι η πρόβλεψη της γωνίας απώλειας χωρίς ολίσθηση.
Αλλά αν λύσουμε την (11β) ως προς φ θα βρούμε την γωνία φολ όπου ξεκινά η ολίσθηση. Αλλά η φολ και φ0 διαφέρουν γιατί η (11β) εξαρτάται από την γωνία και στον αριθμητή μέσω του ημιτόνου. Τώρα η δύναμη Ν για φ=φολ βγαίνει διάφορη του μηδενός και θετική (στο άρθρο, αν κάνεις τις πράξεις θα πάρεις την σχέση (21)), οπότε όντως η ολίσθηση ξεκινά πριν την απώλεια επαφής.
Όπερ συμφωνώ.