Τελευταίες ημέρες πριν τις εξετάσεις, θέμα συζήτησης Διονύση; Δεν κρατάς καθόλου τις αποστάσεις άλλων χρόνων…
Όταν σε διάστημα μιας εβδομάδας, δέχεσαι από τρεις διαφορετικούς συναδέλφους ερώτημα πάνω σε ένα θέμα και διαπιστώνεις (μέσω αυτών που σου μεταφέρονται) ότι κυκλοφορούν βιβλία με …περίεργες λύσεις, τότε τι κάνεις;
Το καταπίνεις τη μία, το καταπίνεις τη δεύτερη, την τρίτη το γράφεις…
Στο δοχείο του παραπάνω σχήματος (υδραυλικός ανυψωτήρας) περιέχεται ποσότητα υγρού. Η ελεύθερη επιφάνεια του υγρού στο αριστερό σκέλος του δοχείου κλείνεται αεροστεγώς με έμβολο E1 βάρους W1 και εμβαδού Α1, ενώ η ελεύθερη επιφάνεια του υγρού στο δεξί σκέλος του δοχείου κλείνεται αεροστεγώς με έμβολο Ε2 βάρους W2 και εμβαδού Α2 = 10 Α1. Τα δύο έμβολα βρίσκονται στο ίδιο οριζόντιο επίπεδο και ισορροπούν….
Στη συνέχεια ασκούμε κατακόρυφη δύναμη F1 στο έμβολο Ε1 προς τα κάτω, με αποτέλεσμα το έμβολο Ε2 να ανεβαίνει με επιτάχυνση α = g/10. To μέτρο της δύναμης F1 είναι ίσο με…
Απάντηση:
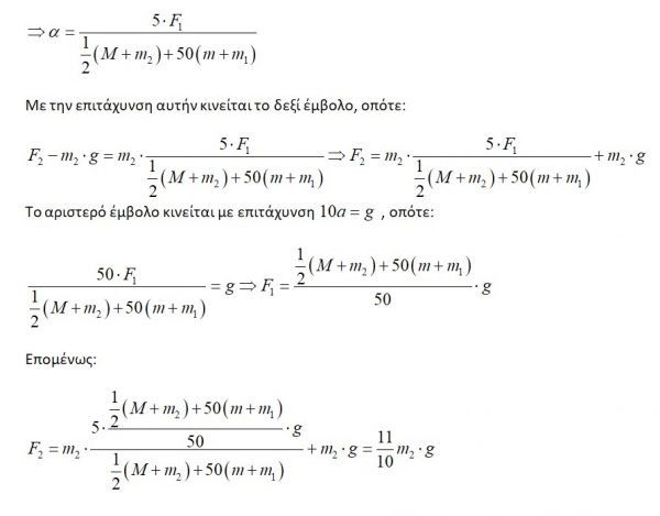
Η άσκηση της εξωτερικής πρόσθετης δύναμης F1 στο έμβολο Ε1 έχει ως αποτέλεσμα (Pascal) την άσκηση πρόσθετης δύναμης F2=(Α2/Α1)F1=10F1 (1)
από το υγρό στο έμβολο Ε2, το οποίο αρχίζει να ανεβαίνει με επιτάχυνση α=g/10 (2)
Εφαρμόζοντας το θεμελιώδη νόμο της μηχανικής στο έμβολο Ε2 και με τη βοήθεια των σχέσεων (1) και (2) έχουμε:
ΣF = m2α

…
Ερωτήματα.
– Τι ακριβώς λέει η αρχή του Pascal; Ισχύει η σχέση F2=(Α2/Α1)F1=10F1 και πώς προκύπτει αυτή;
-Η δύναμη F1 που ασκούμε στο αριστερό έμβολο τι κάνει; Εξισορροπεί μια μεγαλύτερη δύναμη F2 που ασκείται στο δεξιό έμβολο;
Τελικά μάλλον μπερδεύομαι. Ποια είναι αυτή η F1, η εξωτερική δύναμη, ποια η Fυγ και τι σχέση έχουν; Είναι ίδια, είναι διαφορετική, είναι μεγαλύτερη, είναι μικρότερη, παράγουν το ίδιο έργο…
(Το τελευταίο να μην απαντηθεί, απλά δείχνει τη …σύγχυσή μου…)
![]()
Μια προσέγγιση:
Πολλές εξισώσεις Γιάννη
Δηλαδή, για να καταλάβω, πού πήγε ο Pascal;
Η σχέση F2=(Α2/Α1)F1=10F1 δεν ισχύει;
Όμως με τους υπολογισμούς που παρέθεσα η υπόθεση συσκοτίζεται μάλλον.
Η ουσία είναι ότι η λύση υπολογίζει την F2 ως δεκαπλασία της F1, ως εάν οι πιέσεις στα έμβολα ήσαν ίσες.
Όμως εδώ έχουμε ροή και μάλιστα επιταχυνόμενη. Φυσικά η πίεση στο δεξί έμβολο είναι μικρότερη αυτής στο αριστερό έμβολο.
Έτσι ο λόγος των δυνάμεων δεν είναι 10.
Φοβάμαι ότι και η δική μου προσέγγιση "ελέγχεται". Απέδωσα ίδια ταχύτητα σε όλη την δεξιά μάζα. Αυτή η παραδοχή ισχύει όταν πιέζεται το δεξί έμβολο και ανεβαίνει το αριστερό. Το αντίστροφο μας έχει προκαλέσει προβλήματα στο παρελθόν.
Ίσως το άτοπον πρέπει να αναδειχθεί με απλούστερο πρόβλημα.
Χάσαμε την "ισορροπία μας" Διονύση μέρες που είναι. Δεν ξέρω πως εφαρμόζεται αυτή η καλπάζουσα αρχή του pascal και μάλλον ούτε και ο PASCAL θα ήξερε
Γράφαμε μαζί Διονύση.
Πιστεύω ότι δεν ισχύει. Δεν έχουμε ισορροπία.
Γράφαμε μαζί Γιάννη και σε καλησπερίζω με το νέο σου μηχάνημα…
Καλησπέρα Τάσο.
Κάνω το αντίστροφο. Ασκώ στο αριστερό έμβολο δύναμη F1. Ξεχνάμε πεδία βαρύτητας.
Είναι η δύναμη στο δεξί ίση με το ένα δέκατο της F1 ;
Θα ήταν αν οι πιέσεις ήταν ίδιες. Είναι;
Καλησπέρα Γιάννη και Τάσο.
Παιδιά, η αρχή του Pascal νομίζω ότι είναι ένα θέμα που έχει πολύ “διαστρεβλωθεί”.
Ξεκινάει απάντηση με:
“Η άσκηση της εξωτερικής πρόσθετης δύναμης F1 στο έμβολο Ε1 έχει ως αποτέλεσμα (Pascal) την άσκηση πρόσθετης δύναμης F2=(Α2/Α1)F1=10F1 (1)
Ξεκινάμε δηλαδή, θεωρώντας γνωστή μια τέτοια σχέση, χωρίς να προβληματίζει κανένα, από πού προέκυψε αυτή; Πότε ισχύει;
Λέμε ένα “έχει ως αποτέλεσμα (Pascal)” και πάμε παρακάτω…
1) Ισχύει για υγρό σε ισορροπία! Όταν μιλάμε για επιτάχυνση του εμβόλου, πού κολλάει η αρχή του Pascal; (για να μην πω ότι και σε υγρό σε ισορροπία καλό είναι να μείνει στην άκρη ο Πασκάλ!!! “Βλάπτει σοβαρά την υγεία”!!! Αρκεί η σχέση p1-p2=ρgh…)
2) Αλλά ακόμα και αν μιλάμε για υγρό σε ισορροπία, δεν πρέπει να είναι ξεκάθαρο για το ποιες είναι οι δυνάμεις που μας ενδιαφέρουν σε κάθε περίπτωση; Ποια είναι η δύναμη F1 και ποια η F2; Είναι η δύναμη από το υγρό στο έμβολο; Η δύναμη στο υγρό από το έμβολο;
Μια εξωτερική (άλλη δύναμη….) που ασκείται στο έμβολο; Τι από όλα αυτά είναι; Πολύ περισσότερο βέβαια αν ασχοληθούμε με έργα, θα πρέπει να είναι ξεκάθαρο για το ποια δύναμη λέμε και ποια εννοούμε…
Νομίζω ότι αυτά τα θέματα τα έχουμε συζητήσει (και όχι μια φορά…) στο δίκτυο. Αλλά πλησιάζοντας προς τις εξετάσεις, μήπως θα πρέπει να επισημανθούν κάποια πράγματα, για να αποφύγουμε να μπει θέμα με λογική, όπως η παραπάνω;