web analytics

Η αποδέσμευση της ράβδου

Δύο όμοιες ομογενείς ράβδοι μήκους ℓ και μάζας m είναι συνδεδεμένες όπως στο σχήμα, δημιουργώντας το στερεό s, το οποίο στρέφεται σε κατακόρυφο επίπεδο, γύρω από σταθερό οριζόντιο άξονα, ο οποίος περνά από το Ο. Τη στιγμή που η ράβδος ΑΒ είναι οριζόντια το στερεό έχει γωνιακή ταχύτητα ω.

i) Πώς προσδιορίζεται η ταχύτητα του άκρου Α στη θέση αυτή.

ii) Αν στη θέση αυτή η ράβδος ΑΒ αποδεσμεύεται, πόση θα είναι η ταχύτητα του άκρου Α αμέσως μετά την αποδέσμευση;

iii) Πώς δικαιολογούμε την ταχύτητα του άκρου Α, μετά την αποδέσμευση;

Loading

Subscribe
Ειδοποίηση για
8 Σχόλια
Inline Feedbacks
Όλα τα σχόλια
Αποστόλης Παπάζογλου
Διαχειριστής

Καλημέρα Διονύση και καλή εβδομάδα.

Για το i. θα έλεγα υΑ=ω·(ΟΑ) με κατεύθυνση κάθετη στην ΟΑ, για το ii. παραμένει η ίδια και για το iii. κατά την αποδεύσμευση είναι Στεξ(Ο)=0, επομένως η ω δεν μεταβάλλεται.

Γιάννης Κυριακόπουλος
Αρχισυντάκτης

Καλημέρα.

Συμφωνώ με τον Αποστόλη.

Οι δύο ράβδοι.

Αποστόλης Παπάζογλου
Διαχειριστής

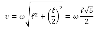
Πριν την αποδέσμευση, μπορούμε να 'δούμε' την κίνηση της ράβδου ΑΒ ως στροφική περί το Ο. Μετά την αποδέσμευση, η ΑΒ ως ελεύθερο στερεό, στρέφεται περί το κέντρο μάζας της Κ. Θα μπορούσαμε τώρα να δούμε το σημείο Α να έχει δύο ταχύτητες: μια γραμμική υγρ=ω(ΑΚ) κάθετη στην ΑΒ και μια οριζόντια ταχύτητα, αυτή του Κ.

Δεν ξέρω αν σε έπεισα τώρα…