Να δούμε κάτι, για μια στοιχειώδη μάζα σε συγκεκριμένη θέση x η απομάκρυνση y είναι αρμονική συνάρτηση του χρόνου τι σε εμποδίζει να το λύσεις με κινηματική να βρείς την ταχύτητα και να υπολογίσεις την κινητική ενέργεια; Δεν χρειάζεσαι την αρχή διατήρησης ενέργειας. Από το y βρίσκεις το v (Ωκύτης , αν την γράφω σωστά) . Εσύ συνάδελφε ποια λύση έδωσες και ήταν λάθος;
Ίσως πρέπει να το προσθέσω στις απαντήσεις ως αξιοπρεπέστερη απάντηση σε παραλλαγή του δεδομένου …( Νομίζω κάτι παρόμοιο είχε αντιπροτείνει και ο Παπασγουρίδης )
πιστεύω πως ακόμη καλύτερα θα ήταν αν έλεγε ότι στην θέση x=0 η κινητική ενέργεια είναι τόσο … βρείτε την ταχύτητα στην θέση x=0,2 m … και από αυτήν την ταχύτητα υπολογίστε την Κινητική ενέργεια στη θέση x=0,2 m.
Έχω προσθέσει μια εκτενή παρατήρηση σε ένα πλαίσιο στο τέλος της αρχικής μου απάντησης ( Οι απαντήσεις των θεμάτων από το Δημήτρη Γκενέ, εδώ αλλά και σε Word.ylikonet.gr )
Τις παρατηρήσεις τις χαρακτηρίζω ΕΚΤΟΣ ΥΛΗΣ εννοώντας ότι δεν είναι για τους υποψήφιους αλλά για τους διδάσκοντες . Παρά το γεγονός πως έχουν μέχρι τώρα γραφτεί πάρα πολλά επί του θέματος και δεν περιμένει κανείς από τον Γκενέ να του πεί τι και γιατί … ωστόσο αν έχεις την καλοσύνη ρίξε μια ματιά και πες μου αν κάπου διαφωνείς.
Τα παραπάνω ποσοστά είναι μια δική μου εκτίμηση από το βαθμολογικό σε ένα σχετικά μικρό δείγμα. Οπότε βγαζετε τα συμπεράσματά σας ως προς την τάση ισορροπίας τους Πανελλαδικώς.
Να δούμε κάτι, για μια στοιχειώδη μάζα σε συγκεκριμένη θέση x η απομάκρυνση y είναι αρμονική συνάρτηση του χρόνου τι σε εμποδίζει να το λύσεις με κινηματική να βρείς την ταχύτητα και να υπολογίσεις την κινητική ενέργεια; Δεν χρειάζεσαι την αρχή διατήρησης ενέργειας. Από το y βρίσκεις το v (Ωκύτης , αν την γράφω σωστά) . Εσύ συνάδελφε ποια λύση έδωσες και ήταν λάθος;
Ομως αυτό μπορεί Γιάννη να το ξεπεράσει με κινηματική
Ναι καταλαβαίνω πως από την σχέση πλάτους,y και ωκύτητας θα υπολογίσουμε την ταχύτητα και την κινητική ενέργεια γνωστής μάζας.
Τότε όμως γιατί να μην ετίθετο απλούστερα;
Δηλαδή να βρεθεί η ταχύτητα αν η απομάκρυνση είναι …..
Γιατί Γιάννη δεν ξέρανε το πρόβλημα
Ας πάρουμε, ( αν και είναι ακόμη νωρίς) μια γεύση από τις βαθμολογίες που έρχονται από Βαθμολογικό κέντρο.
Τα πρώτα αποτελέσματα:
Στοιχεία του 2016
Νίκο Καλησπέρα
συγνώμη για την αργοπορημένη απάντηση
Είχα επσκέψεις μετά το μεσημέρι
Μάλλον αντιπροτείνεις κάτι τέτοιο :
Ίσως πρέπει να το προσθέσω στις απαντήσεις ως αξιοπρεπέστερη απάντηση σε παραλλαγή του δεδομένου …( Νομίζω κάτι παρόμοιο είχε αντιπροτείνει και ο Παπασγουρίδης )
Ευχαριστώ …
Δημήτρη Καλησπέρα!
Πολύ ωραία η προσθήκη που έκανες, άρα και η δυναμική έχει τότε την ίδια τιμή, και η μηχανική το άθροισμα,δηλαδή είναι διπλάσια.
Νίκο Διαμαντή δίδασκες την Κβαντομηχανικη το 1990 περιπου μαζι με τον Λαχανα στο Πανεπιστήμιο Αθηνών;
Γιατί τότε.. υπήρξα μαθητής σου..
Να είστε καλά!
Όχι Δημήτρη, με το Θανάση τότε ήταν ο Γιώργος ο Διαμάντης (όχι Διαμαντής)
Διάβασα για τον Ευταξια που ήταν στην ομάδα της Κυματικής – Οπτικής και το σχόλιο σου για φοιτητές και ..το μυαλό γυρισε χρόνια πίσω..
Πάντως κάπου κοντά είσαι..
Καλησπέρα.
Δημήτρη (Γκ) παρά ότι η προσθήκη που έκανες μετριάζει το σφάλμα, νομίζω ότι δεν μπορεί να σωθεί…
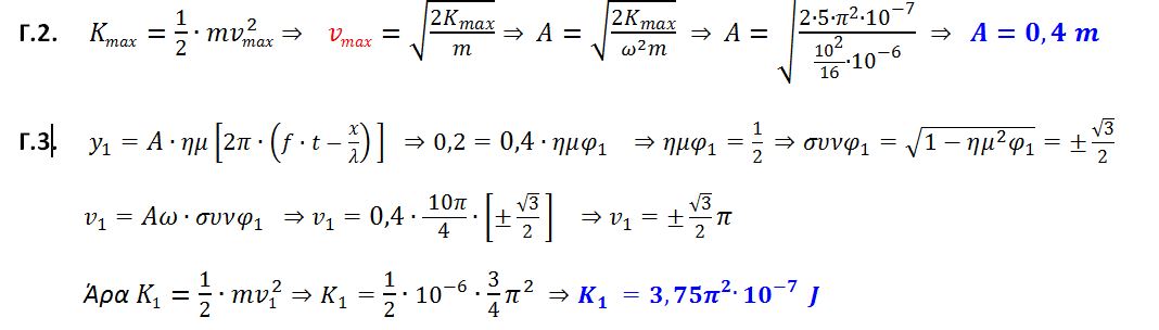
Στο Γ2 στην Κmax αντικαθιστάς την τιμή που δίνει η άσκηση για την ολική ενέργεια, οπότε πάλι γυρίζει στο ίδιο. Νομίζω δηλαδή…
Σημασία έχει ότι τα παιδιά δε θα έχουν καμία απώλεια μορίων, θεωρώντας ότι η Δm έχει σταθερή ενέργεια ταλάντωσης.
Υ.Γ. Το σωστό θα ήταν η εκφώνηση να έγραφε: Κάποια στιγμή ενέργεια ταλάντωσης της στοιχειώδους μάζας είναι 5π^2.10^(-7)j κλπ.
Νίκο ( Κορ. ) δεν αντιλέγω αλλά
πιστεύω πως ακόμη καλύτερα θα ήταν αν έλεγε ότι στην θέση x=0 η κινητική ενέργεια είναι τόσο … βρείτε την ταχύτητα στην θέση x=0,2 m … και από αυτήν την ταχύτητα υπολογίστε την Κινητική ενέργεια στη θέση x=0,2 m.
Έχω προσθέσει μια εκτενή παρατήρηση σε ένα πλαίσιο στο τέλος της αρχικής μου απάντησης ( Οι απαντήσεις των θεμάτων από το Δημήτρη Γκενέ, εδώ αλλά και σε Word. ylikonet.gr )
Τις παρατηρήσεις τις χαρακτηρίζω ΕΚΤΟΣ ΥΛΗΣ εννοώντας ότι δεν είναι για τους υποψήφιους αλλά για τους διδάσκοντες . Παρά το γεγονός πως έχουν μέχρι τώρα γραφτεί πάρα πολλά επί του θέματος και δεν περιμένει κανείς από τον Γκενέ να του πεί τι και γιατί … ωστόσο αν έχεις την καλοσύνη ρίξε μια ματιά και πες μου αν κάπου διαφωνείς.
Δημήτρη φυσικά και θα διαβάσω την άποψη σου και τις παρατηρήσεις σου. Να μάθω περισσότερα προσπαθώ και εγώ.
Τα παραπάνω ποσοστά είναι μια δική μου εκτίμηση από το βαθμολογικό σε ένα σχετικά μικρό δείγμα. Οπότε βγαζετε τα συμπεράσματά σας ως προς την τάση ισορροπίας τους Πανελλαδικώς.