
Βρισκόμαστε στην ταράτσα ενός κτιρίου και διαθέτουμε τρεις μικρές όμοιες σφαίρες Σ1, Σ2, και Σ3.
Εκτοξεύουμε οριζόντια τη σφαίρα Σ1. Ο χρόνος για να φτάσει στο έδαφος είναι t1.
Στη συνέχεια εκτοξεύουμε κατακόρυφα προς τα κάτω με αρχική ταχύτητα υ0 τη σφαίρα Σ2. Ο χρόνος για να φτάσει στο έδαφος στη βάση του κτιρίου είναι t2.
Tέλος εκτοξεύουμε την τρίτη σφαίρα Σ3 προς τα πάνω με την ίδια αρχική ταχύτητα υ0. Ο χρόνος για να φτάσει στο έδαφος είναι t3.
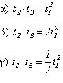
Αν η αντίσταση του αέρα είναι αμελητέα, οι χρόνοι t1, t2, t3 συνδέονται με τη σχέση

![]()
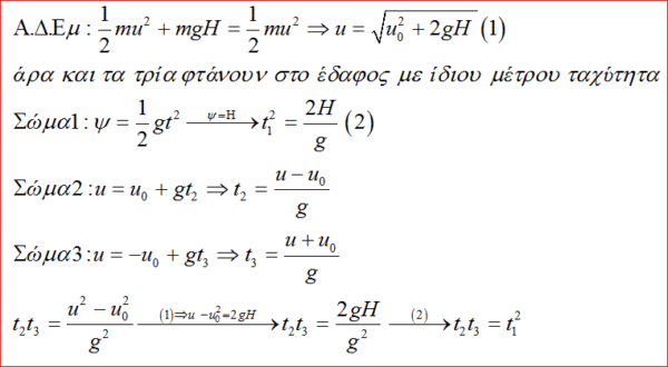
πολύ καλή!
("φάε" τη φράση: "διανύσει το ύψος h του κτιρίου και να" στη δεύτερη γραμμή)
Ευχαριστώ δάσκαλε Βαγγέλη! Έκανα τη διόρθωση.
Καλησπέρα Ανδρέα.
Πολύ καλή η άσκηση. Να συνεχίσω όπως ο Βαγγέλης
Στη λύση για το Σ2 δεν χρειάζεται η μαθηματική σχέση, αρκεί το ότι η αρνητική λύση απορρίπτεται
Καλημέρα Γρηγόρη, σε ευχαριστώ για την προσοχή σου και τη διόρθωση.
Καλημέρα Ανδρέα.
Για πλουραλισμό λύσεων στο ωραίο θεματάκι και αποφυγή β΄θμιων μέσω ταχυτήτων
Καλό Σαββατοκύριακο.
Καλησπέρα Παντελεήμονα. Ωραίο πάντρεμα ενεργειακής – κινηματικής προσέγγισης και πιο εύπεπτη λύση για μαθητές. Ευχαριστώ.