-
Ο/η Ανδρέας Ριζόπουλος σχολίασε το άρθρο Κιβώτιο σε ταλαντούμενο θάλαμο πριν από 1 μέρα, 15 ώρες
Καλησπέρα Αποστόλη. Πολύ ωραία άσκηση. Αν δώσουμε και τη μάζα του θαλάμου, ζητάμε και το k. Βέβαια 8m μήκος τροχιάς, θα χρειαστεί πολύ μακριά ελατήρια – ειδική κατασκευή δηλαδή.
-
Ο/η Ανδρέας Ριζόπουλος σχολίασε το άρθρο Διαγράμματα σε κατακόρυφη α.α.τ. πριν από 1 μέρα, 15 ώρες
Καλησπέρα Παύλο. Ωραία άσκηση. Στο τελευταίο ερώτημα ο ρυθμός μεταβολής είναι στιγμιαίος, άρα dU/dt …
-
Ο/η Ανδρέας Ριζόπουλος σχολίασε το άρθρο Δάσκαλε, ασκούν δύναμη τα φωτόνια; πριν από 1 μέρα, 15 ώρες
Καλησπέρα Ανδρέα. Πολύ καλή. Άμεση εφαρμογή της ύπαρξης ορμής των φωτονίων. Στην τελική σχέση βλέπουμε αποτέλεσμα πολύ λογικό.
Δύναμη ανάλογη της φωτονικής ροής και ανιστρόφως ανάλογη του μήκους κύματος. Τα πολύ ενεργά φωτόνια, π.χ. υπεριώδους ακτινοβολίαςσπρώχνουν καλύτερα.Θα θυμίσω ένα άρθρο που είχα βάλει παλιότερα ακριβώς σε αυτό το θ…[Περισσότερα]
-
Ο/η Ανδρέας Ριζόπουλος σχολίασε το άρθρο Χάσιμο επαφής ράβδου πριν από 1 μέρα, 15 ώρες
Πολύ καλή επαναληπτική Χρήστο. Αν καταφέρω να κάνω και επανάληψη, θα την δώσω. Από Δευτέρα Φωτοηλεκτρικό και βλέπουμε.
-
Ο/η Ανδρέας Ριζόπουλος σχολίασε το άρθρο Διδακτικά πακέτα (γυμνάσιο λύκειο) πριν από 2 μέρες, 16 ώρες
Καλησπέρα συνάδελφοι. Καλωσορίζουμε τα νέα βιβλία. Πριν όμως από την κριτική, σε αυτά, όσοι μπαίνουμε στις τάξεις του Δημόσιου Σχολείου, δε γίνεται να μην σκεφτούμε:
- Το επίπεδο των μαθητών που έρχονται πλέον στην Α΄Λυκείου.
- Το ρόλο που έχει πλέον το σχολείο: Δράσεις και ημερίδες, Εκδρομές εσωτερικού – εξωτερικού, Διευθυντές καριερίστες, πο…
-
Ο/η Ανδρέας Ριζόπουλος σχολίασε το άρθρο Κι άλλη "αβέβαιη" λύση στην Τράπεζα του ΙΕΠ πριν από 3 μέρες
Καλημέρα Άρη. Χρόνια Πολλά! Σε ευχαριστώ για τη συμμετοχή σου και τις παραπομπές από το βιβλίο του Στέφανου Τραχανά, όπου βλέπουμε ότι δεν είναι καθόλου προφανές να αντικαθιστούμε την αβεβαιότητα με την ίδια την ορμή. Όταν μπήκε το κεφάλαιο στην ύλη, χρειάστηκε πολύ μελέτη από εμάς. Προσωπικά κατάλαβα πολλά από την ανάρτηση του Γιάννη
Περί αβε…[Περισσότερα] -
Ο/η Ανδρέας Ριζόπουλος σχολίασε το άρθρο Κι άλλη "αβέβαιη" λύση στην Τράπεζα του ΙΕΠ πριν από 3 μέρες, 23 ώρες
Καλημέρα παιδιά. Κωνσταντίνε πριν πάνε στο Φυσικό ή όπου αλλού, περνάνε και από εμάς. Και εμείς Φυσικοί είμαστε. Μπορεί να μην έχουμε τις σπουδές του Πανεπιστημιακού δάσκαλου, όμως θέση μπορούμε και πρέπει να πάρουμε. Μεσάζοντες του κάθε συγγραφέα θα είμαστε ή θα διδάσκουμε τη Φυσική όπως πρέπει; Καταλαβαίνω ότι δεν πρέπει να μπερδέψου…[Περισσότερα]
-
Ο/η Ανδρέας Ριζόπουλος σχολίασε το άρθρο Κι άλλη "αβέβαιη" λύση στην Τράπεζα του ΙΕΠ πριν από 4 μέρες, 17 ώρες
Καλησπέρα Κωνσταντίνε, Χρόνια Πολλά! Η φωτο είναι από πλάνα αρχείου, αφού εδώ πίνουν τσάι.
Πόσοι μαθητές έχουν παπαγαλίσει την Αρχή Αβεβαιότητας και δεν γνωρίζουν τι είναι η …αβεβαιότητα; Πόσοι έχουν καταλάβει τι είναι το ΔΕ και το Δt στην ισοδύναμη σχέση;
Σχολικό βιβλίο: “Δε μπορούμε να γνωρίζουμε που ακριβώς βρίσκεται ένα σωματίδιο”
“[Περισσότερα] -
H/o Ανδρέας Ριζόπουλος έγραψε ένα νέο άρθρο πριν από 4 μέρες, 21 ώρες
Κι άλλη "αβέβαιη" λύση στην Τράπεζα του ΙΕΠ
Χρόνια Πολλά συνάδελφοι! Ας δούμε ένα θέμα της Τ.Θ. Θέμα 34839 Προφανώς θεωρεί ο συγγραφέας περιττό να αναγράψει στην εκφώνηση τι είναι το m […] -
Ο/η Ανδρέας Ριζόπουλος σχολίασε το άρθρο Τα νέα σχολικά βιβλία φυσικής πριν από 1 εβδομάδα, 3 μέρες
Καλησπέρα Τίνα. Παρατηρώ:
Πουκαμισάς 4 βιβλία
Πατάκης 3 βιβλία
Ελληνοεκδοτική 1 βιβλίο
Ροπή 1 βιβλίο
Τρεις γνωστοί οίκοι “βοηθημάτων”, εντάξει. Ο Πουκαμισάς όμως Φροντιστήρια δεν έχει; Ποιο το κέρδος του να ενισχύσει τη Δημόσια δωρεάν Παιδεία; Όταν μας έκαναν ενημέρωση για το μεγαλεπήβολο Π.Σ. γιατί δεν ανέφεραν ότι έχει στόχο να ενισχύσει…[Περισσότερα] -
Ο/η Ανδρέας Ριζόπουλος σχολίασε το άρθρο Από που έρχονται τα φωτοηλεκτρόνια; πριν από 1 εβδομάδα, 4 μέρες
Καλημέρα Διονύση. Χρόνια Πολλά! Η παρέμβασή σου απλοποίησε τα πράγματα. Αυτά που έγραψα στο Θοδωρή με ένα κατεβατό, τα εξήγησες όμορφα και συνοπτικά με το διάγραμμα. Έβαλα στη λύση ως σχόλιο και τη δεύτερη εκδοχή με την ολική ενέργεια και έχετε δίκιο είναι πιο μαθητική.
-
Ο/η Ανδρέας Ριζόπουλος σχολίασε το άρθρο Από που έρχονται τα φωτοηλεκτρόνια; πριν από 1 εβδομάδα, 4 μέρες
Καλησπέρα Θοδωρή. Επίσης Χρόνια Πολλά.
Έχω βάλει δυο στάθμες αναφοράς για να το κάνω πιο μαθητικό και να μη χρησιμοποιήσω αρνητικές τιμές. Αλλά ίσως να το έκανα πιο δύσκολο τελικά.
Στο μέταλλο:
Το μηδέν ενέργειας είναι αυθαίρετο και τοποθετείται κάπου μέσα στη ζώνη. Η ενέργεια Fermi του Na είναι 3,2 eV πάνω από αυτό το αυθαίρετο μη…[Περισσότερα] -
Ο/η Ανδρέας Ριζόπουλος σχολίασε το άρθρο Ομιλία Στέφανου Τραχανά στο Βαρβάκειο 14-3-2026 πριν από 1 εβδομάδα, 4 μέρες
Καλησπέρα Θοδωρή. Πρώτα ευχαριστώ το Δάσκαλο για τη διάλεξη. Τα έγραψε όλα η Τίνα, πιο πάνω…
Μετά να ευχαριστήσω εσένα και όλους τους συνεισφέροντες.
Ευτυχώς υπάρχει το βίντεο…για εμάς τους απόντες. -
Ο/η Ανδρέας Ριζόπουλος σχολίασε το άρθρο Από που έρχονται τα φωτοηλεκτρόνια; πριν από 1 εβδομάδα, 4 μέρες
Η ανάρτηση αφιερώνεται στο Διονύση, που “έψαξε” για τα ηλεκτρόνια στο φαινόμενο Compton ΕΔΩ.
Η μόνη αναφορά στη θεωρία ζωνών είναι στην εκφώνηση και τη δίνω με απλά λόγια. Στη λύση χρησιμοποιείται μόνο η ΑΔΕ. Έτσι ελπίζω ότι είναι εντός ύλης. -
H/o Ανδρέας Ριζόπουλος έγραψε ένα νέο άρθρο πριν από 1 εβδομάδα, 4 μέρες
Από που έρχονται τα φωτοηλεκτρόνια;
Σε ένα πείραμα φωτοηλεκτρικού φαινομένου τα ηλεκτρόνια που εκπέμπονται από μια φωτοκάθοδο Νατρίου, προέρχονται από το κρυσταλλικό πλέγμα, δεν είνα […]-
Η ανάρτηση αφιερώνεται στο Διονύση, που “έψαξε” για τα ηλεκτρόνια στο φαινόμενο Compton ΕΔΩ.
Η μόνη αναφορά στη θεωρία ζωνών είναι στην εκφώνηση και τη δίνω με απλά λόγια. Στη λύση χρησιμοποιείται μόνο η ΑΔΕ. Έτσι ελπίζω ότι είναι εντός ύλης. -
Καλησπέρα Ανδρέα και χρόνια πολλά. Συγχώρεσέ με αν πω καμιά χοντροπατάτα γιατί εμείς οι χημικοί δεν μπαίνουμε τόσο βαθιά στο φωτοηλεκτρικό φαινόμενο, αλλά διαβάζοντας την άσκησή σου μου δημιουργούνται δύο απορίες:
1.Πως είναι δυνατόν το ηλεκτρόνιο στο κενό να έχει ενεργεια, δεδομένου ότι, όπως λες, δεν έχει κινητική ενέργεια; Και η δυναμική του ενέργεια δεν θα πρέπει να είναι επίσης μηδέν αφού δεν αλληλεπιδρά πλέον με το ηλεκτρικό πεδίο των ιόντων; Θέλω να πω αυτά τα 5,5 eV ενέργειας που υπολογίζεις τι ενέργεια είναι, αν δεν είναι ούτε κινητική ούτε (όπως το σκέφτομαι εγώ) δυναμική; Αυτό που θα περίμενα είναι η ενέργεια του ηλεκτρονίου στο κενό να είναι μηδέν, και τελικά το έργο εξαγωγής να είναι κατ’ απόλυτη τιμή ίσο με την αρχική ενέργεια του ηλεκτρονίου, δηλαδή 3,2 eV. Κάτι ανάλογο με αυτό που συμβαίνει στο άτομο του Η με βάση το πρότυπο του Bohr, που η ενέργεια για να ιοντιστεί είναι Eάπειρο-Εαρχική = 0 – Εαρχ = – Εαρχ.
2.Στην ίδια λογική, δεν θα έπρεπε η ολική ενέργεια των δεσμευμένων ηλεκτρονίων να είναι αρνητική λόγω της αρνητικής δυναμικής τους ενέργειας που οφείλεται στην έλξη των ιόντων; Μιλάω πάλι στην ίδια λογική με το πρότυπο του Bohr για το Η-άτομο, όπου η ολική ενέργεια του ηλεκτρονίου είναι αρνητική λόγω της αρνητικής δυναμικής ενέργειας από την έλξη του πυρήνα. -
Καλησπέρα Θοδωρή. Επίσης Χρόνια Πολλά.
Έχω βάλει δυο στάθμες αναφοράς για να το κάνω πιο μαθητικό και να μη χρησιμοποιήσω αρνητικές τιμές. Αλλά ίσως να το έκανα πιο δύσκολο τελικά.
Στο μέταλλο:
Το μηδέν ενέργειας είναι αυθαίρετο και τοποθετείται κάπου μέσα στη ζώνη. Η ενέργεια Fermi του Na είναι 3,2 eV πάνω από αυτό το αυθαίρετο μηδέν.
Στο κενό:
Το μηδέν ενέργειας είναι η ενέργεια ενός ελεύθερου ηλεκτρονίου στο άπειρο, δηλαδή η «ενέργεια κενού».
Αυτά τα δύο μηδενικά δεν συμπίπτουν. Απέχουν μεταξύ τους κατά το έργο εξαγωγής φ = 2,3 eV.
Το ηλεκτρόνιο e₁ έχει μέσα στο μέταλλο:- δυναμική + κινητική ενέργεια συνολικά 3,2 eV (πάνω από το αυθαίρετο μηδέν)
- για να φτάσει στο κενό με μηδενική κινητική, πρέπει να φτάσει στο επίπεδο Εκεν
- Η Εκεν βρίσκεται 2,3 eV πάνω από την στάθμη Fermi
Άρα χρειάζεται:
Eph =3,2+2,3 = 5,5 eV
Αυτή η ενέργεια δεν είναι η ενέργεια του ηλεκτρονίου στο κενό. Είναι η ενέργεια που πρέπει να του δώσεις για να φτάσει στο μηδέν του κενού.
Στο κενό, μετά την έξοδο:- η ολική ενέργεια του ηλεκτρονίου είναι 0
- η κινητική του ενέργεια είναι 0
- η δυναμική του ενέργεια είναι 0
Άρα δεν «κουβαλάει» 5,5 eV. Απλώς χρειάστηκε 5,5 eV για να φτάσει στο σημείο όπου η ενέργειά του είναι 0.
Ακριβώς όπως στο άτομο του υδρογόνου:- το ηλεκτρόνιο έχει ενέργεια –13,6 eV
- χρειάζεται +13,6 eV για να φτάσει στο 0
- στο άπειρο έχει ενέργεια 0, όχι +13,6 eV
Ναι στη φυσική στερεάς κατάστασης έχουμε αρνητικούς αριθμούς.
- Εκεν = 0
- Σταθμη Fermi = –2,3 eV (για Na)
- κατώτερες στάθμες = ακόμη πιο αρνητικές
Σε ευχαριστώ για το σχολιασμό. Μάλλον θα ανεβάσω και μια λύση με ένα επίπεδο μηδενικής ενέργειας στο Εκεν, ώστε να είναι συμβατή και με το μοντέλο του υδρογόνου. Αύριο. Καλό Βράδυ.
-
Καλημέρα Ανδρέα και σε ευχαριστώ για την αφιέρωση. Το προχώρησες βλέπω, αλλά μάλλον πολύ!
Θοδωρή η ενέργεια Fermi μας δίνει την κινητική ενέργεια του τελευταίου ηλεκτρονίου που δομεί το άτομο, αφού προηγούμενα έχουν τοποθετηθεί όλα τα άλλα ηλεκτρόνια, σύμφωνα με την απαγορευτική αρχή του Pauli, στη θερμοκρασία του απολύτου μηδενός (0Κ). Και προφανώς σαν κινητική ενέργεια είναι θετική.
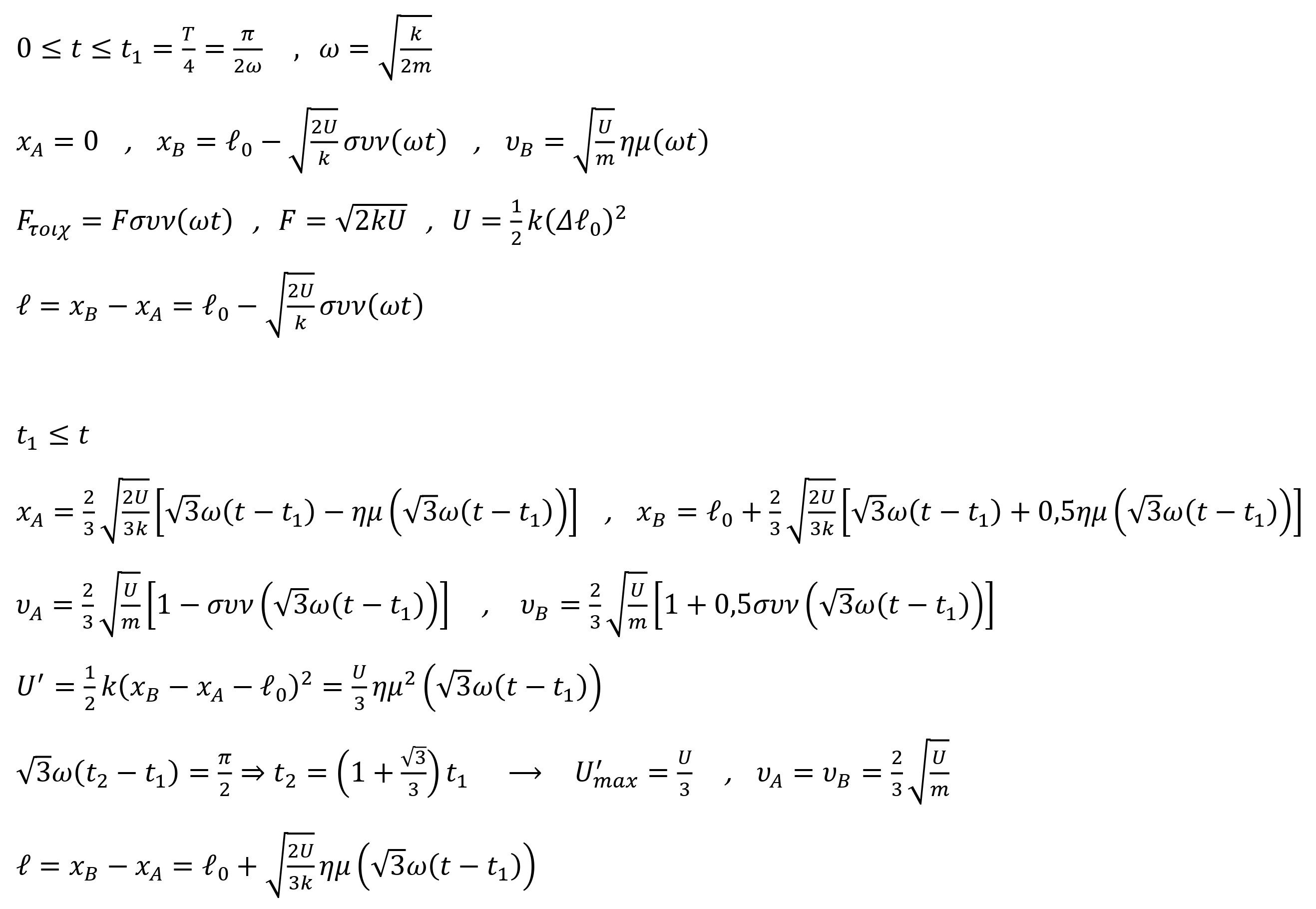
Η ολική ενέργεια του ηλεκτρονίου είναι αρνητική και θα συμφωνούσα να μείνουμε σε αυτό το μονοπάτι διδασκαλίας, αφού ό,τιδήποτε άλλο μπορεί να επιφέρει σύγχυση.Αλλά ας δούμε ένα διάγραμμα ενεργειακών σταθμών με βάση τα δεδομένα του Ανδρέα παραπάνω, για το Νάτριο.
https://i.ibb.co/pF1CKv7/2026-04-08-062721.png
Αριστερά οι ενεργειακές στάθμες (σε eV) θεωρώντας το μηδέν στην κάτω περιοχή της ζώνης αγωγιμότητας, οπότε το ηλεκτρόνιο με την μεγαλύτερη κινητική ενέργεια, στο πάνω άκρο της ζώνης θα έχει κινητική ενέργεια 3,2eV και ολική ενέργεια (κινητική και δυναμική) ίση με -2,3 eV. Αν πάρει ενέργεια 2,3 eV (έργο εξαγωγής) θα βγει από τον κρύσταλλο με ενέργεια 5,5 eV μεγαλύτερη από αυτήν που θα είχε αν ήταν στην κάτω βάση της ζώνης αγωγιμότητας. Νομίζω κουμπώνουν…
Αν δούμε την δεξιά πλευρά του σχήματος, με ποιο συνηθισμένη εκδοχή. Ένα ηλεκτρόνιο εξέρχεται από τον κρύσταλλο με μηδενική κινητική ενέργεια. Τότε μέσα στον κρύσταλλο το θεωρούμε ότι βρίσκεται στην άνω περιοχή της ζώνης αγωγιμότητας και αφού το έργο εξαγωγής είναι φ=2,3eV, εκεί θα είχε ολική ενέργεια -2,3 eV. Τότε αν κάποιο ηλεκτρόνιο βρισκόταν στην κάτω περιοχή της ζώνης θα είχε ολική ενέργεια -5,5 eV.
Χρόνια πολλά παιδιά και Καλό Πάσχα! -
Καλημέρα Διονύση. Χρόνια Πολλά! Η παρέμβασή σου απλοποίησε τα πράγματα. Αυτά που έγραψα στο Θοδωρή με ένα κατεβατό, τα εξήγησες όμορφα και συνοπτικά με το διάγραμμα. Έβαλα στη λύση ως σχόλιο και τη δεύτερη εκδοχή με την ολική ενέργεια και έχετε δίκιο είναι πιο μαθητική.
-
Καλημέρα Ανδρέα και Διονύση. Οκ, μετά από αυτές τις διευκρινίσεις σας τα πράγματα έγιναν ξεκάθαρα. Ευχαριστώ για τον κόπο να δώσετε αυτές τις εξηγήσεις, θεωρώ ότι ίσως θα βοηθήσουν, εκτός από εμένα, και κάποιους μαθητές!
-
-
Ο/η Ανδρέας Ριζόπουλος σχολίασε το άρθρο Φαινόμενο Compton – Ελαστική κρούση. πριν από 1 εβδομάδα, 4 μέρες
Καλημέρα Διονύση. Χρόνια πολλά! Εξαιρετική. Δεν είναι απλή ανάρτηση. Είναι πρόταση διδασκαλίας. Τα σχόλια λύνουν απορίες, όχι μόνο μαθητών.
Οι μαθητές πρέπει να κατανοήσουν ότι η ενέργεια του φωτονίου ακτίνων Χ είναι τόσο μεγάλη, που στην αλληλεπίδραση με το ηλεκτρόνιο αγνοείται η δέσμευση του ηλεκτρονίου. Θεωρείται δηλαδή εντελώς ελεύθερο. Αρκεί…[Περισσότερα] -
Ο/η Ανδρέας Ριζόπουλος σχολίασε το άρθρο Αυτεπαγωγή και ενέργεια μαγνητικού πεδίου του πηνίου πριν από 1 εβδομάδα, 6 μέρες
Καλημέρα Μίλτο. Πολύ καλή και πρωτότυπη. Αλλά νομίζω για Διαγωνισμό Φυσικής. Ανοίγει μια άλλη κατηγορία ασκήσεων, αφού δεν έχουμε στην ύλη αυτεπαγωγή με σταθερή ΗΕΔ στο κύκλωμα. Εδώ μπήκε στις Πανελλαδικές άσκηση του βιβλίου και βγήκαν να λένε ότι είχε δυο πηγές και ήταν εκτός ύλης και χαντάκωσε τους μαθητές… Σε εργαστήριο μπορούμε να δη…[Περισσότερα]
-
Ο/η Ανδρέας Ριζόπουλος σχολίασε το άρθρο 1ο και 2ο Θερμοδυναμικό Αξίωμα. Έργο και θερμότητα. πριν από 2 εβδομάδες, 1 μέρα
Γιώργο καλησπέρα. Ωραίο άρθρο και μάλιστα έρχεται σε μια περίοδο που η Θερμοδυναμική είναι εντελώς απαξιωμένη. Δεν υπάρχει κανένας τρόπος να τη διαβάσουν οι μαθητές, εκτός από ελάχιστες εξαιρέσεις φιλότιμων ή που αγαπούν τη Φυσική. Ποια εντροπία. Ούτε τις ειδικές θερμότητες δεν έχουν στην ύλη και υπάρχει και οδηγία “όχι προβλήματα”. Κάνου…[Περισσότερα]
-
Ο/η Ανδρέας Ριζόπουλος σχολίασε το άρθρο Πυρηνικό Ατύχημα στη Γκοϊάνια πριν από 2 εβδομάδες, 1 μέρα
Γιώργο καλησπέρα. Σε ευχαριστώ για τις πληροφορίες, που προκαλούν …ψυχοπλάκωμα. Εντοιχισμένη ραδιενεργό συσκευή με Cs; Κοβάλτιο 60 σε μάντρα; 6 φορές πιο ραδιενεργό από το Καίσιο. Το ραδιενεργό Κάισιο έφτασε από Ισπανία σε Ελβετία; Και οι Γάλλοι δεν κατάλαβαν τίποτα; Πόσο εύκολο είναι να ξεφύγει ένα ραδιενεργό υλικό τελικά; Και δεν είναι ένα ατύ…[Περισσότερα]
-
Ο/η Ανδρέας Ριζόπουλος σχολίασε το άρθρο Ένας μαθητής ζεσταίνεται κοντά στο τζάκι πριν από 2 εβδομάδες, 4 μέρες
Καλημέρα συνάδελφοι. Σας ευχαριστώ για τα σχόλιά σας.
Χρήστο, όπως το λες “Θολό το τοπίο”. Έχουν παπαγαλίσει τις υποθέσεις Planck, αλλά περί εξήγησης τίποτα. Ποιο το νόημα της κβάντωσης στην ακτινοβολία του μέλανος σώματος; Το ΙΕΠ έχει την ευθύνη για το βιβλίο που επιλέγει, αλλά …
Νίκο χαίρομαι που συμφωνείς με την προσέγγιση, γιατί…[Περισσότερα] - Φόρτωσε Περισσότερα
Γεια σου Ανδρέα Χριστός Ανέστη. Εδω διαφωνουν οι ειδικοί σε αυτα τα θεματα εμεις θα απαντησουμε? (διαλογος σε συνέδριο στο διαλειμα για μπυρα)
Bohr: Werner, παρατήρησα ότι η στάθμη της μπύρας σου μειώνεται συνεχως.
Heisenberg: Φυσικά. Αλλά όσο ακριβέστερα μετρώ τη στάθμη, τόσο λιγότερο ξέρω τη στιγμή που θα τελειώσει.
Bohr: Δηλαδή εφαρμόζεις την αρχή της αβεβαιότητας στη ζυθοποσία;
Heisenberg: Ακριβώς. Δεν μπορώ να γνωρίζω ταυτόχρονα με ακρίβεια τη θέση της μπύρας στο ποτήρι και την ορμή με την οποία την πίνω.
Bohr: Αυτό εξηγεί γιατί κάθε φορά που μετράω το ποτήρι σου είναι άδειο.
Heisenberg: Η μέτρηση διαταράσσει το σύστημα.
Bohr: Ή απλώς πίνεις πολύ γρήγορα.
https://i.ibb.co/fVMzt0R4/d1.jpg
Καλησπέρα Κωνσταντίνε, Χρόνια Πολλά! Η φωτο είναι από πλάνα αρχείου, αφού εδώ πίνουν τσάι.
Πόσοι μαθητές έχουν παπαγαλίσει την Αρχή Αβεβαιότητας και δεν γνωρίζουν τι είναι η …αβεβαιότητα; Πόσοι έχουν καταλάβει τι είναι το ΔΕ και το Δt στην ισοδύναμη σχέση;
Σχολικό βιβλίο: “Δε μπορούμε να γνωρίζουμε που ακριβώς βρίσκεται ένα σωματίδιο”
“όλες οι μετρήσεις ενέργειας περιέχουν μια αβεβαιότητα, εκτός αν διαθέτουμε για τη μέτρηση άπειρο χρόνο”.
Δεν είναι αστείο να εισάγουμε μια τέτοια περίεργη ως ξένη για την κοινή αντίληψη θεωρία, σε μαθητές χωρίς υπόβαθρο, από ένα ακατάλληλο βιβλίο και μετά να βάζουμε ό,τι του φανεί … σε θέματα για εξετάσεις, που καθορίζουν βαθμό Απολυτηρίου.
Στο Φόρουμ Quantum ο Τραχανάς γράφει:
Και μόνο η κακομεταχείριση της αρχής της αβεβαιότητας από το σχολικό βιβλίο
είναι επαρκές τεκμήριο για την ακαταλληλότητά του. Κι όμως συνεχίζει να είναι εκεί και όλες οι επιλογές του να αναπαράγονται από τα φροντιστηριακά βιβλία ενώ θα τις δούμε σύντομα να επανεμφανίζονται και στα βιβλία που βρίσκονται υπό συγγραφήν!
Aνδρεα τα μπουκαλια Carlsberg μαλλον δεν τα ειδες. Το τσαι ή καφέ το πινουν για να συνέλθουν. 🙂 ¨Ως προς την αρχη Tης αβεβαιοτητας στην Γ Λυκειου,λιγο με απασχολει η καταληλοτητα ή οχι των βιβλιων. Το μονο που χρειαζεται ειναι μια τυποποιηση των πιθανων ερωτησεων απαντησεων για τις εξετασεις,κατι που ειναι μαλλον ευκολο. Οσοι σπουδασουν Φυσικη θα τα μαθουν στο Πανεπιστημιο οπως πρεπει και οχι τσάτρα πάτρα οπως τα κανουμε εμεις.Αυτο που υπαρχει στην ύλη της Γ δεν ειναι Κβαντομηχανικη,κακως εχει αυτον τον τιτλο.Ο σωστος τιτλος ειναι “καποια πειραματα με περιεργα αποτελεσματα.” Οσοι δεν σπουδασουν Φυσικη,στην πρωτη γωνια μετα το εξεταστικο κεντρο,θα τα εχουν ήδη ξεχασει.
Η προετοιμασια υποψηφιων για να γραψουν με επιτυχια ενα τριωρο διαγωνισμα,και η διδασκαλια Φυσικης ειναι δυο διαφορετικα πραγματα. (γνωμη μου)
Καλησπέρα παιδιά και Χρόνια Πολλά!
Για την πρόταση του σχολικού βιβλίου: “όλες οι μετρήσεις ενέργειας περιέχουν μια αβεβαιότητα, εκτός αν διαθέτουμε για τη μέτρηση άπειρο χρόνο”, ο Στέφανος Τραχανάς σχολιάζει:
“Οπότε, ούτε η ενέργεια της θεμελιώδους στάθμης θα μπορεί να έχει αυστηρά καθορισμένη τιμή αφού ποιος διαθέτει άπειρο χρόνο για να τη μετρήσει; Κι όμως, για τη θεμελιώδη στάθμη είναι αυστηρά ΔΕ=0(!) Διερωτώμαι τι καταλαβαίνει ένας «αθώος αναγνώστης» όταν τα διαβάζει όλα αυτά!”
Καλημέρα παιδιά. Κωνσταντίνε πριν πάνε στο Φυσικό ή όπου αλλού, περνάνε και από εμάς. Και εμείς Φυσικοί είμαστε. Μπορεί να μην έχουμε τις σπουδές του Πανεπιστημιακού δάσκαλου, όμως θέση μπορούμε και πρέπει να πάρουμε. Μεσάζοντες του κάθε συγγραφέα θα είμαστε ή θα διδάσκουμε τη Φυσική όπως πρέπει; Καταλαβαίνω ότι δεν πρέπει να μπερδέψουμε τους μαθητές, αφού αυτό το σχολικό έχουν. Δεν έχει το ΥΠΕΠΘ τη δυνατότητα να στείλει στα σχολεία ένα αρχείο με διορθώσεις; Ο δάσκαλος Τραχανάς τους το έχει έτοιμο.
Επειδή όμως η ανάρτηση αφορά συγκεκριμένη άσκηση τράπεζας, ο συγγραφέας της, που ακριβώς στηρίχτηκε στο σχολικό; Η Τ.Θ. δεν είναι …Ylikonet.
Αποστόλη Χρόνια Πολλά! Το ΥΠΕΠΘ δεν μπήκε στον κόπο να μαζέψει την ύλη σε ένα βιβλίο και να τυπώσει έτσι το μισό αριθμό βιβλίων, θα ασχοληθεί με τη διόρθωση;
Είδαμε και ποιοι διορίζονται επιστημονικοί σύμβουλοι…
Πιστεύεις ότι θα ακούσουν το Δάσκαλο Τραχανά; Αν δούλευε στις εκδόσεις Πουκαμισάς ίσως.
Γεια σου Αντρέα και χρόνια πολλά.
Στις σελίδες που παραθέτω ο Τραχανάς στο βιβλίο του ΚΒΑΝΤΟΜΗΧΑΝΙΚΗ ΛΥΚΕΙΟΥ επαληθεύει πλήρως των λόγων σου το αληθές για τις έννοιες και τις σχέσεις που αφορούν το συγκεκριμένο πρόβλημα.
ΤΡΑ173
ΤΡΑ174
Κωνσταντίνε χρόνια σου πολλά.
Ενώ είναι σωστές οι διαπιστώσεις σου και κατά την γνώμη μου,
“Αυτο που υπαρχει στην ύλη της Γ δεν ειναι Κβαντομηχανικη”
“Οσοι δεν σπουδασουν Φυσικη,στην πρωτη γωνια μετα το εξεταστικο κεντρο,θα τα εχουν ήδη ξεχασει” δεν συμφωνώ ότι μπορούμε με το Δx (όπου x κάποιο κβαντομηχανικό μέγεθος ) αντί για το σωστό ορισμό της απόκλισης να βάζουμε ότι μας έρθει.
Ή στέλνεις μια οδηγία υποχρεωτική για όλους που θα συμπληρώνει το βιβλίο ή τουλάχιστον μήν βάζεις τέτοιες ασκήσεις ούτε στην ΤΘ ούτε σε εξετάσεις.
Καλημέρα Άρη. Χρόνια Πολλά! Σε ευχαριστώ για τη συμμετοχή σου και τις παραπομπές από το βιβλίο του Στέφανου Τραχανά, όπου βλέπουμε ότι δεν είναι καθόλου προφανές να αντικαθιστούμε την αβεβαιότητα με την ίδια την ορμή. Όταν μπήκε το κεφάλαιο στην ύλη, χρειάστηκε πολύ μελέτη από εμάς. Προσωπικά κατάλαβα πολλά από την ανάρτηση του Γιάννη
Περί αβεβαιότητας ο λόγος
Χάρις στο Δάσκαλο Τραχανά και τους συνεργάτες του, αλλά και στους φίλους εδώ στο Yliko, καταφέρνουμε να διδάσκουμε αξιοπρεπώς τους μαθητές μας αυτά τα πράγματα.
Kαλησπέρα Άρη,Χρόνια Πολλά !