Στην επιφάνεια ενός υγρού έχουμε δυο σύγχρονες πηγές, οι οποίες αρχίζουν κάποια στιγμή να ταλαντώνονται δημιουργώντας εγκάρσια κύματα. Τα κύματα διαδίδονται και έχουμε τον σχηματισμό κροσσών ενισχυτικής και αποσβεστικής συμβολής. Τα σημεία Κ και Λ του σχήματος, βρίσκονται στην πρώτη υπερβολή ενισχυτικής συμβολής, δεξιά του μέσου Μ του ευθυγράμμου τμήματος Ο1Ο2, στα άκρα του οποίου έχουμε τις πηγές.
Αν κάποια στιγμή t1 το σημείο Κ βρίσκεται σε απομάκρυνση yΚ=+2 Α, την ίδια απομάκρυνση θα έχει και το σημείο Λ ή μπορεί και όχι;
![]()

Καλησπέρα Διονύση ..η απάντηση είναι : Μπορεί και όχι !
Ελπίζοντας να μην έχω κάνει λάθος:
Όλα αυτά που έγραψα είναι μάλλον περιττά.
Το Λ μπορεί να είναι ένα πολύ κοντινό σημείο στο Κ και να έχουμε μια (όσο μικρή θέλουμε) διαφορά φάσης των K και Λ.
Μπορούμε να πετύχουμε διαφορά φάσης λ.χ. π/9. Τότε τα σημεία Κ και Λ αποκλείεται να βρίσκονται ταυτόχρονα στην ίδια θέση +2Α.
Έκανα ήδη μια διόρθωση.
Η ουσία όμως της "κβάντωσης" δεν αλλάζει.
Εξάλλου μπορεί τα κύματα να μην έχουν φτάσει στο Λ τη δεδομένη στιγμή.
Ευχαριστώ Γιάννη (Μπ) για την απάντηση, αλλά πώς μπορεί να ισχύει το "μπορεί και όχι"; Καμιά εξήγηση;
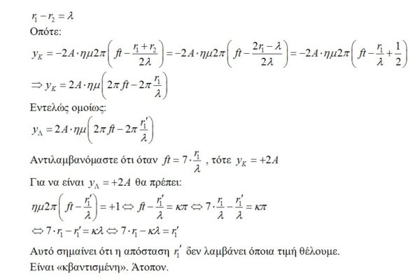
Ευχαριστώ Γιάννη (Κυρ) και σένα, αλλά αυτό το 7r1/λ από πού βγήκε και δίνει το 2Α;
Όσο για το 2ο σχόλιο, το αφήνω προς το παρόν, αφού δεν ξέρω αν έχουν διαφορά φάσης…
Αποστόλη, γράφαμε μαζί.
Όχι έχουν φτάσει και στα δύο σημεία και τα δύο κύματα…
"Τα κύματα διαδίδονται και έχουμε τον σχηματισμό κροσσών ενισχυτικής και αποσβεστικής συμβολής"
Έχουν σχηματισθεί οι υπερβολές
Καλησπέρα Αποστόλη.
Φυσικά μπορεί να είναι καθ' οδόν κάποιο, ή και τα δύο. Όμως ακόμα και αν έχουν διαδοθεί τα κύματα σε ορισμένα μόνο σημεία της υπερβολής έχουμε ίδιες φάσεις. Στα σημεία εκείνα για τα οποία οι αποστάσεις από το Ο1 διαφέρουν λ/2.
Διονύση δεν έδωσα την εξήγηση για να εκφραστούν και άλλες απόψεις . Αλλά αφού με ρωτάς θα σου γράψω τον πυρήνα της σκέψης μου." Δεν αρχίζει ταυτόχρονα η συμβολή στα Κ και Λ"
Όχι Γιάννη, το έγραψα και παραπάνω στον Αποστόλη.
Έχουν φτάσει τα κύματα.
Διονύση μια περίπτωση είναι το 7. Μου κάνουν και το 6, το 9, το 13 και κάθε ακέραιος.
Τότε το ημίτονο είναι +1.
Αντιπαράδειγμα πήρα, οπότε επικαλούμαι όποια χρονική στιγμή θέλω.
Γιάννη (Μπ) μπορεί να μην αρχίζει ταυτόχρονα η συμβολή, αλλά αυτό γιατί να αποκλείει την ίδια απομάκρυνση;
Ωραία σαν παράδειγμα, δεκτόν!
Διονύση δεν καταλαβαίνω τι πρόβλημα έχεις με το δεύτερο σχόλιό μου.
Για τα σημεία Κ και Λ η ποσότητα (r1+r2)/2λ γενικώς δεν είναι ίδια , άρα δεν είναι ψ1=ψ2