Μία μπίλια μπιλιάρδου ηρεμεί πάνω σε λεία ακίνητη οριζόντια επιφάνεια, έχει μάζα Μ και ακτίνα R. Η μπίλια δέχεται απότομο χτύπημα (πολύ μικρής διάρκειας Δτ), από οριζόντια δύναμη F σε απόσταση h από το οριζόντιο επίπεδο το οποίο διέρχεται από το κέντρο της και σε σημείο Α το οποίο βρίσκεται στο ίδιο κατακόρυφο επίπεδο με το κέντρο μάζας της. Αμέσως μετά τo χτύπημα αποκτά γωνιακή ταχύτητα μέτρου ω0 και ταχύτητα κέντρου μάζας u0.
Α) Αν θέλουμε η μπίλια αμέσως μετά το χτύπημα να κυλίεται τότε το σημείο Α βρίσκεται ‘’πάνω’’ ή ‘’κάτω’’ από το κέντρο μάζας;
Β) Να βρεθεί η απόσταση h ώστε αμέσως μετά το χτύπημα η μπίλια να κυλίεται πάνω στο επίπεδο.
Δίνονται οι εξής πληροφορίες: i) η σχέση από την οποία υπολογίζεται η ροπή αδράνειας ομογενούς σφαίρας ( μπίλιας) για τον άξονα ο οποίος διέρχεται από το κέντρο της Icm =2/5mR2 και ii) στη διάρκεια του χτυπήματος η δύναμη είναι σταθερή.
Ενδεικτική λύση σε wordx και σε pdf.
![]()
Καλημέρα, Χρόνια πολλά και καλή Ανάσταση Νίκο.
Μια ωραία εφαρμογή του θεωρήματος ώθησης ορμής και του αντίστοιχου για τη στροφορμή…
Σε ευχαριστούμε.
Διονύση καλημέρα και καλή Ανάσταση, σ ευχαριστώ και εγώ.
Υ. Γ. Στην ερώτηση που έκανες είχα ξυπνήσει μισή ώρα πριν. Σηκώνομαι πολύ πρωί για προσωπικό διάβασμα για περπάτημα γιατί μετά ξεκινούν υποχρεώσεις και δεν μπορώ να ασχοληθώ με τον εαυτό μου.
Νίκο καλημέρα.
Ωραία εφαρμογη της άσκησης του χτυπήματος σε λR οπου λλγια τη σφαίρα 0,4 πάνω από το cm. Θα μπορούσες να βάλεις και τραχύ δάπεδο και να έχεις τα ίδια αποτελέσματα. Πέρυσι είχε ο Βασίλης Δουκ. μια αντίστοιχη με αλλαγές δαπέδων.
Καλή Ανάσταση.
Είναι πολύ καλή ανάρτηση.
Πάντα σε τέτοια θέματα είχα μια απορία. Στην παρούσα ανάρτηση δεν υπάρχει δύναμη τριβής εξ υποθέσεως.
Αν το χτύπημα γίνει σε άλλη απόσταση, μπορούμε να αμελήσουμε την τριβή μια και η δύναμη από τη στέκα είναι μεγάλη;
Από τις πρώτες μου αναρτήσεις στο υλικονέτ, αν όχι η πρώτη.
Χρήστο και Γιάννη καλημέρα
Σας ευχαριστώ για το σχόλιο.
Χρήστο θα διαβάσω την άσκηση του Βασίλη
Γιάννη η άσκηση σου, για την οποία δίνεις το link πολύ καλή. Τώρα για την ερώτηση σου δεν ξέρω αυτή τη στιγμή την απάντηση.
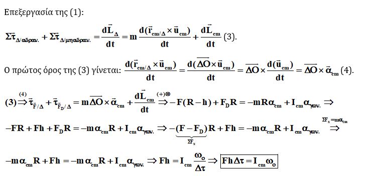
Θα αφήσω παρακάτω μερικούς υπολογισμούς στην ανάρτησή μου ( έχει αρκετές πράξεις)…
Λίγοι υπολογισμοί ακόμα ( αν κάποιοι μαθητές διαβάσουν την άσκηση καλύτερα να αποφύγουν τα παρακάτω)
και όλη η λύση εδώ: wordx & pdf.
Ελπίζω να μην έχει γίνει σαλάτα με τις πράξεις
Ωραία εφαρμογή του μπιλιάρδου Νίκο και ακόμη ωραιότερα αυτά της στροφορμής
Σ ευχαριστώ Τάσο. Τα περί στροφορμής είναι πάντα όμορφα, θέλουν προσοχή και είναι πάντα επικίνδυνα αφού έχουν σχέση με την τόσο σημαντική διατήρηση της.
Νικο καλημερα και απο εδω !
Πολυ καλη η εφαρμογη της ωθησης τοσο για την μεταφορικη οσο και για την περιστροφικη κινηση ! Οπως και η περαιτέρω αναλυση που εκανες . Εχουν και στο παρελθον γινει αναλογα θεματα που ξεφευγουν βεβαια απο τις απαιτησεις της τρεχουσας υλης αλλα καλο ειναι οπως και να εχει να θυμομαστε πραγματα !!!
ΚΑΛΗ ΑΝΑΣΤΑΣΗ !
Νίκο Εύγε
Εξαιρετική και η αναρτηση σου
αλλά εξαιρετικό και το σχόλιο με τις πράξεις ( και pdf ) για την στροφορμή
Είχα κι εγώ κάνει παλιότερα μια προσπάθεια σχετική ( εδώ στην β διερεύνηση )
αλλά εσύ το ανέβασες πολύ το επίπεδο της ανάλυσης
Και πάλι Μπράβο
και Καλή Ανάσταση
Κώστα και Δημήτρη σας ευχαριστώ για το σχόλιο.
Κώστα, νομίζω πρέπει να ασχολούμαστε και με πράγματα εκτός ύλης για να κατανοήσουμε καλύτερα αυτά που είναι μέσα στην ύλη. Στο στερεό και στα ρευστά οι τρικλοποδιές είναι πολλές και εύκολα την πατάει κάποιος.
Δημήτρη, ευχαριστώ ξανά. Κάποια μπράβο με κάνουν περήφανο…Θα διαβάσω προσεχτικά την εργασία σου.
Καλή Ανάσταση
Νίκο εξαιρετική η παρουσίαση και η αντιμετώπιση του θέματος.
Εμμανουήλ σ 'ευχαριστώ πολύ.