Η ανάρτηση απευθύνεται μόνο σε καθηγητές και είναι συνέχεια μιας παλιότερης:
Γιατί το «να κόβεις δρόμο» είναι καλό…
Περιέχει λίγη θεωρία και μια εφαρμογή:
Εφαρμογή:
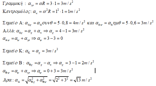
Ένας ομογενής οριζόντιος δίσκος ακτίνας R=1m, κινείται σε λείο οριζόντιο επίπεδο με την επίδραση κατάλληλης δύναμης F. Κάποια στιγμή που ο δίσκος έχει γωνιακή ταχύτητα ω=1rad/s και γωνιακή επιτάχυνση αγων=3rad/s2, διανύσματα κατακόρυφης διεύθυνσης με φορά προς τα πάνω, το σημείο Α στο άκρο μιας ακτίνας στη διεύθυνση x, έχει επιτάχυνση μέτρου αΑ=5m/s2 η οποία σχηματίζει γωνία θ (ημθ=0,6) με την ακτίνα, όπως στο σχήμα.
Να υπολογιστούν:
- Η επιτάχυνση του κέντρου μάζας Κ του δίσκου
- Η επιτάχυνση του αντιδιαμετρικού σημείου Β του δίσκου.
Διαβάστε τη συνέχεια…
ή
Γιατί το «να κόβεις δρόμο» είναι καλό και για επιταχύνσεις…
Γιατί το «να κόβεις δρόμο» είναι καλό και για επιταχύνσεις…
![]()
Αφιερωμένη στο Γιώργο Αράβα.
Ευχαριστώ πολύ Διονύση και απο το δημόσιο βήμα!
Η επιθυμία μου ξεκίνησε απο την αναζήτηση της κομψής και έξυπνης αντιμετώπισης τέτοιων θεμάτων απο τον Διονύση.
Είναι "σπεσιαλίστας" !!!
Καλή συνέχεια και καλή επιτυχία στους μαθητές για την εξεταστικής περίοδο.
Πολύ καλή.
Θα μπορούσαμε να παρακάμψουμε όλα τα Μαθηματικά και να παρουσιάσουμε το θέμα σε έναν μαθητή της Στ Γυμνασίου, το σωτήριον έτος 1974-1975.
Ένας παρατηρητής στο σημείο Α βλέπει δύο επιταχύνσεις. Την κεντρομόλο ω.ω.(ΑΒ) και την επιτρόχιο αγ.(ΑΒ).
Εμείς (οι ακίνητοι) αυτονόητα προσθέτουμε διανυσματικά την επιτάχυνση του σημείου Α στις προηγούμενες.
Το 1974-1975 παρήχετο η βασική γνώση: αΚ = αΛ + ασχετ.
Πάμε και στο σχόλιο:
Προσοχή όμως στις γενικεύσεις. Αυτά ισχύουν για τις ταχύτητες και τις επιταχύνσεις. Αλλά «να μην χαθεί το μονοπάτι….». Δεν ισχύουν για να εφαρμόσουμε το 2ο νόμο της στροφικής κίνησης. Πότε μπορούμε να εφαρμόσουμε και πότε όχι το 2ο νόμο…..
Ένας μαθητής του προαναφερθέντος σχολικού έτους, μπορεί άνετα να καταλάβει ότι για να εφαρμόσουμε τον δεύτερο νόμο σε κάποιο σημείο διαφορετικό του Κ.Μ. θα πρέπει η δύναμη d΄ Alembert να έχει μηδενική ροπή ως προς το σημείο αυτό. Δηλαδή το ευθύγραμμο τμήμα που ενώνει το σημείο με το κέντρο μάζας να έχει την διεύθυνση της επιτάχυνσης του σημείου αυτού.
Έτσι θα μπορούσα να ρωτήσω για τον παρακάτω δίσκο:
Σε ποιο ή σε ποια σημεία εφαρμόζεται ο δεύτερος νόμος χωρίς πρόβλημα;
Το στερεό με τις σχετικές κινήσεις είναι "τσάμπουρο με το κρασί" (Νίκος Γκάτσος).
Διαφορετικά απομένουν τα εξωτερικά γινόμενα, τα οποία δεν γνώριζα το 1974-1975 , εκτός από αναφορά απλή καθηγητών μου.
Χρησιμοποιώντας το παρακάτω σχήμα, δύο ερωτήματα:
1. Σε ποιο σημείο ή σε ποια σημεία εφαρμόζεται ο δεύτερος νόμος;
2. Γιατί εφαρμόζουμε τον δεύτερο νόμο ως προς τον στιγμιαίο άξονα χωρίς λάθος;
Καλησπέρα Γιώργο. Χαίρομαι που σου άρεσε.
Καλησπέρα Γιάννη.
Ούτε εγώ είμαι φαν των εξωτερικών γινομένων. Αλλά όταν πας να υποστηρίξεις μια θέση και να καταλήξεις σε ένα συμπέρασμα, είσαι υποχρεωμένος να το κάνεις, ώστε να μην εμφανίζονται όλα αυτά σαν αυθαίρετα.
Στην ανάρτηση που παραπέμπω στο τέλος της λύσης:
Παίζοντας με το 2ο νόμο για την περιστροφική κίνηση.
εμφανίζονται όλα αυτά που γλαφυρά αναφέρεις και με κινούμενο παρατηρητή και δυνάμεις d΄ Alembert και το συμπέρασμα για την διεύθυνση της επιτάχυνσης….
Έτσι στο πρώτο σου σχήμα ο 2ος νόμος εφαρμόζεται απλά μόνο για το σημείο Α και στο 2ο για τα σημεία Β και Γ. Επειδή δε η επιτάχυνση του στιγμιαίου άξονα (στο σχήμα του σημείου Γ) περνά από το κέντρο μάζας, εφαρμόζεται και ως προς το στιγμιαίο άξονα…
Βέβαια όλα αυτά δεν έχουν να κάνουν με μαθητές και εξετάσεις…
Διονύση πάντοτε με προβλημάτιζε το γιατί τα συγκεκριμένα θέματα στερεού παρουσιάζονταν με μαθηματικό τρόπο, ακόμα και εκεί που η χρήση σχετικών κινήσεων απλοποιεί δραματικά το θέμα.
Απάντηση του τύπου "είναι η επιστημονικότερη εξήγηση" δεν στέκει. Η χρήση αδρανειακών δυνάμεων δεν είναι "κόλπο" ή συνταγή.
Αποδείξεις που τις επικαλούνται είναι εξ' ίσου "στιβαρές" με τις "μαθηματικότερες". Τείνω να πιστέψω πως έγινε για εκπαιδευτικούς λόγους.
Τα θέματα απευθύνονται σε φοιτητή και καλό είναι να εξασκηθεί στα εξωτερικά γινόμενα. Στο ίδιο βιβλίο θα δει κινήσεις πλανητών και συστήματα σωμάτων. Καλώς χρησιμοποιεί τα ίδια εργαλεία σ' όλη την έκταση του μαθήματος.
Όμως κάποια πράγματα είναι τελικά απλούστερα απ' ότι φαίνονται.
Οι απαντήσεις που έδωσες είναι οι σωστές και θα μπορούσαν να είναι προσιτές σε οιονδήποτε (πρωτοετή λ.χ.) δεν έχει γνωρίσει τα εξωτερικά γινόμενα.
Στα παραπάνω σημεία να προσθέσω και εκείνα που έχουν στιγμιαία, μηδενική επιτάχυνση.
Καλησπέρα και πάλι Γιάννη.
Ούτε η χρήση σχετικών κινήσεων ούτε οι δυνάμεις d΄ Alembert υπολείπονται μαθηματικά του εξωτερικού γινομένου. Αλλά κρύβουν μέσα τους μαθηματικές αποδείξεις που ξεκινούν από τα στοιχειώδη.
Και η απόδειξη που χρησιμοποίησα, ξεκίνησε από τα στοιχειώδη (άθροισμα δύο διανυσμάτων θέσης, από όπου προέκυψαν οι σχετικές κινήσεις και μπορεί να γίνει κατανοητή και από κάποιον που δεν γνωρίζει τίποτα πέρα από τα βασικά. Θα μου πεις μα, το εξωτερικό γινόμενο, εντάξει δεν είναι και τόσο πολύ προχωρημένα μαθηματικά…
Θέλω να πω ότι είναι πολύ ευκολότερο να πει κάποιος ότι η κίνηση του Β ως προς το σημείο Α είναι κυκλική με κέντρο το Α ή να "καθίσει" έναν κινούμενο παρατηρητή στο Α, αλλά όλα αυτά, για τον μη μυημένο μοιάζουν λίγο … μαγικά.
Βέβαια το συμπέρασμα στο οποίο καταλήγω, μπορεί πλέον να χρησιμοποιηθεί ως "πόρισμα", οπότε δεν θα είναι ανάγκη κάποιος να επικαλείται κάθε φορά την παραπάνω απόδειξη…
…Κύριε μου άρεσε και την έλυσα σύμφωνα με την προτροπή σας στο 1ο σχόλιο.
Λόγω περιστροφής ως προς K, για όλα τα σημεία της περιφέρειας :
Καλησπέρα Διονύση. Πολύ καλή παρουσίαση. Καλά κάνεις και επαναφέρεις το θέμα, διότι 'καλό είναι να κόβεις δρόμο' αρκεί να είσαι σίγουρος ότι μπορείς να το κάνεις.
Καλημέρα και από εδώ Αποστόλη και σε ευχαριστώ για το σχολιασμό.
Δεν είναι μια επαναφορά αλλά και ένα βήμα παραπέρα, στη μελέτη των επιταχύνσεων.
Όσο για το "να είσαι σίγουρος ότι μπορείς να το κάνεις." καλύτερα είναι όλα αυτά να μείνουν μεταξύ μας και να μην μπουν καθόλου στη διαδικασία διδασκαλίας …
Καλημέρα
Μπράβο Διονύση
Συμφωνώ ότι είναι αποκλειστικά για καθηγητές και όχι για υποψηφίους ( και μάλιστα αυτήν την εποχή )
Από την άλλη ίσως αν έλειπαν οι υπερβολές των επαναλαμβανόμενων εκπαιδευτικών καψονιών με στόχο την εξαρτημένη μάθηση και την εξάσκηση αντανακλαστικών μεθόδων … τότε αυτά θα έπρεπε να είναι θέματα Παιδείας… γιατί αυτά είναι φυσική.