Σε λείο οριζόντιο επίπεδο αφήνεται ένας ομογενής κύλινδρος όπου στο άκρο Α μιας οριζόντιας ακτίνας του, έχει προσκολληθεί μια σημειακή μάζα m1.
Στο σχήμα έχουν σχεδιαστεί οι δυνάμεις που ασκούνται στο σύστημά μας, δυνάμεις κατακόρυφες. Το αποτέλεσμα είναι λόγω ροπής ο κύλινδρος να τεθεί σε περιστροφή, ενώ ο άξονάς του στο Ο δεν μετακινείται.
Συμφωνείτε ή διαφωνείτε συνάδελφοι;
![]()
Καλημέρα Διονύση.
Το Ο θα κινηθεί. Ο υπολογισμός της ταχύτητάς του εδώ:
Με λίγα λόγια, για κάποιον που δεν θα διαβάσει ότι είχα γράψει, Το κέντρο μάζας θα παραμείνει στην ίδια κατακόρυφο και όχι το Ο.
Η απουσία x δύναμης (εξωτερικής) αναγκάζει την x ορμή του κέντρου μάζας να είναι συνεχώς μηδενική.
Καλημέρα Γιάννη ,γειά σου Διονύση κι απο 'δω.
Χαίρομαι που σε βλέπω εν δράσει Γιάννη, με σταράτες κουβέντες!
Καλημέρα Γιάννη, καλημέρα Παντελή.
Επειδή… μπερδεύτηκα Γιάννη, να το πάμε απλά;
Δηλαδή πού "μπάζει" το σκεπτικό που έδωσα;
Δεν έχουμε κατακόρυφες δυνάμεις;
Δεν έχουμε ροπή;
Αυτό δεν σημαίνει ισορροπία στον άξονα x με ταυτόχρονη περιστροφή;
Διονύση λες:
Αυτό δεν σημαίνει ισορροπία στον άξονα x με ταυτόχρονη περιστροφή;
Ακριβώς έχουμε "ισορροπία" στον x άξονα.
Τι σημαίνει ισορροπία;
Σημαίνει ακίνητο κέντρο μάζας στον x άξονα.
Για να μείνει όμως το κέντρο μάζας στην ίδια κατακόρυφη πρέπει το Ο να κινηθεί προς τα δεξιά.
Ίσως κάποιος να μην αγαπάει τέτοια προσέγγιση. Ίσως θέλει να μιλήσουμε για την δύναμη που το μαζάκι ασκεί στον κύλινδρο. Η δύναμη αυτή έχει x συνιστώσα, η οποία κινεί τον κύλινδρο προς τα δεξιά.
Μια προσομοίωση.
Η μαύρη γραμμή δεν αλληλεπιδρά με τα σώματα του προβλήματος. Σχεδιάστηκε για να φανεί η "ισορροπία" του (κόκκινου) κέντρου μάζας.
Σκεπτομαι μήπως θα μπορούσαμε να θεωρήσουμε την κινηση τηας μάζας m σαν το εκκρεμες. Στην αρχή ο δίσκος θα αρχισει να κινειται προς τα δεξιά και μετα θα αρχισει να επιβραδυνεται διοτι η ροπή της μαζας m θα ειναι η αντιθετη εν σχέσει με την αρχικη οποτε ο δίσκος παλι θα ακινητοποιηθει.
Οι παραπνω διεργασιες πιστευω υπακουουν στην ΑΔΕ καθώς η δυναμικη ενεργεια του σωματος m γινεται κινητικη και παλι δυναμικη….
Τι πιστευετε;
Ευχαριστώ εκ των προτέρων.
Καλησπέρα Χριστόδουλε.
Ας δούμε την τροχιά του:
Δεν είναι τμήμα κύκλου. Φαίνεται από το πλέγμα.
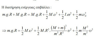
Διατηρείται η ενέργεια του m;
Όχι διότι η αρχική δυναμική ενέργεια m.g.R είναι ίση (στην κατώτερη θέση) με την κινητική του m συν την κινητική ενέργεια του κυλίνδρου και όχι με την κινητική του m μόνο.
Φυσικά διατηρείται η ολική μηχανική ενέργεια του συστήματος των δύο σωμάτων.
Στο πρώτο σχόλιό μου παραπέμπω σε λύση του προβλήματος. Λύση που χρησιμοποιεί και διατήρηση ορμής και διατήρηση ενέργειας.
Δε διαφωνω. Εγω έκανα αναφορα για ΑΔΕ σε ολο τη συστημα.
Ναι ΑΔΕ για όλο το σύστημα.
Η εφαρμογή της:
Καλησπέρα συνάδελφοι.
Γιάννη, σε ευχαριστώ για την πλήρη λύση του προβλήματος, το οποίο προφανώς αναλύεται όπως τα λες…
Αλλά το έβαλα για … ζύμωση
Ξέρεις τι μου θύμισες;
Να κάνω μάθημα στην τάξη, να βάζω ένα ερώτημα προβληματισμού και να πετάγεται ο καλός μαθητής και να δίνει την λύση
Όλα όσα σχεδίαζες… πάνε βρόντο!
Πάμε λοιπόν στην ουσία.
Ας δούμε την εκφώνηση:
"Στο σχήμα έχουν σχεδιαστεί οι δυνάμεις που ασκούνται στο σύστημά μας, δυνάμεις κατακόρυφες. Το αποτέλεσμα είναι λόγω ροπής ο κύλινδρος να τεθεί σε περιστροφή, ενώ ο άξονάς του στο Ο δεν μετακινείται."
Παίζει μεταξύ συστήματος (αποφεύγει να μιλήσει για το στερεό που έχουμε) και κυλίνδρου.
Βάζει τις δυνάμεις στο σύστημα και μετά μιλά για ροπές στο κύλινδρο! Άσχετα πράγματα μεταξύ τους.
Αν μιλάμε για τις δυνάμεις στο στερεό (και δεν χρειάζεται να το αποκαλούμε σύστημα, αλλού κολλάει το σύστημα…), στη συνέχεια θα ασχολούμαστε με τις ροπές στο στερεό.
Αν θέλουμε να ασχοληθούμε με τον κύλινδρο, εμπλέκοντας τις ροπές στον κύλινδρο, θα πρέπει να σχεδιάσουμε τις δυνάμεις στον κύλινδρο.
Αυτό το μπέρδεμα μεταξύ διαφορετικών σωμάτων οδηγεί σε παράδοξα και τελικά σε σφάλματα…
Ας το έχουν υπόψη τους, τόσο οι θεματοδότες, όσο κυρίως οι υποψήφιοι που προετοιμάζονται για τις εξετάσεις τους…
Καλησπέρα Διονύση.
Το πρώτο που σκέφτηκα ήταν ότι κάπου συνάντησες ένα τέτοιο λάθος.
Όχι Γιάννη, δεν το συνάντησα.
Απλά σκεφτόμουν κάποια στιγμή την ανάρτηση του Ντίνου:
Έκκεντρη κύλιση τροχού
πάνω στην οποία έγραψα ένα Β΄ Θέμα και αντί να γράψω ερώτημα, με αυτήν την λογική, προτίμησα να το βάλω στο φόρουμ…
Το θέμα ανεβαίνει αύριο…
Άσκηση με ίδια θεματολογία (αυτής του Ντίνου) είχα αναρτήσει παλιά.
Δεν είναι εύκολα θέματα.