web analytics

Ένταση μαγνητικού πεδίου ή μαγνητική επαγωγή;

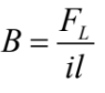
Το νέο σχολικό κεφάλαιο αναφέρει ως ένταση μαγνητικού πεδίου το φυσικό μέγεθος Β, το οποίο ορίζεται από τον τύπο της δύναμης Laplace και έχει:
 μέτρο:

 κατεύθυνση: με τη βοήθεια της μαγνητικής βελόνας!
 μονάδα μέτρησης S.I.: 1Τ = 1kg/As2
Στη βιβλιογραφία το συγκεκριμένο φυσικό μέγεθος ονομάζεται magnetic flux density δηλαδή πυκνότητα μαγνητικής ροής ή μαγνητική επαγωγή, ενώ εμφανίζεται ως ένταση μαγνητικού πεδίου το φυσικό μέγεθος

magnetic field strength….

Συνέχεια

Loading

Subscribe
Ειδοποίηση για
10 Σχόλια
Inline Feedbacks
Όλα τα σχόλια
Χαράλαμπος Κασωτάκης

Αυτά είναι τα κακά της κοπτοραπτικής. Δεν διορθώνεις ούτε καν τους ξεπερασμένους ορισμούς των παλιών βιβλίων. Στο SI  η ένταση του μαγνητικού πεδίου H(magnetic field strength), μετριέται σε θεμελιώδεις μονάδες SI αμπέρ ανά μέτρο(Α/m) ενώ η πυκνότητα μαγνητικής ροής Β (magnetic field density) μετράται σε tesla  (σε θεμελιώδεις μονάδες SI: κιλό ανά δευτερόλεπτο στο τετράγωνο ανά αμπερ kg/(sA)οποίο είναι ισοδύναμο με newton ανά μέτρο ανά αμπέρ.N(Am)

Διονύσης Μάργαρης
Αρχισυντάκτης
21/06/2019 8:30 ΜΜ

Καλησπέρα Ανδρέα.

Καλά κάνεις και μας υπενθυμίζεις τα βασικά, που τα έχουμε χάσει…

Στις δέσμες το μέγεθος Β το ονομάζαμε μαγνητική επαγωγή και όχι ένταση.

Στη συνέχεια κρίθηκε ότι δεν χρειάζεται οι μαθητές να μπλέξουν με δύο μεγέθη αφού δεν πρόκειται να διδαχτεί το μαγνητικό πεδίο  στο εσωτερικό μαγνητικού υλικού (εδώ δεν διδάσκονται τα διηλεκτρικά…), οπότε στα πλαίσια της απλοποίησης, το μέγεθος Β πήρε τη θέση της "έντασης" για να θυμίζει το ηλεκτρικό πεδίο…

Δημήτρης Γκενές
Αρχισυντάκτης
21/06/2019 11:49 ΜΜ

Καλησπέρα Ανδρέα

Πολύ καλά κάνεις που μας θυμίζεις τις ασυνέπειες με τον Φυσικό που είχαμε μέσα μας πριν 20+ χρόνια … 

Διότι πράγμαται δεν είναι κακοί όλοι οι συμβιβασμοί αλλά δεν τους αξίζει η λήθη αλλά η α-λήθεια πως όντως είναι συμβιβασμοί ( χάριν διδακτικής απλοποίησης ;!)

Βρίσκω πάρα πολύ κατανοητούς τους αγγλικούς όρους Η: ισχύς μαγν. πεδίου και

Β: πυκνότητα μαγνητικού πεδίου ( ή ροής) . Και …

… και βρίσκω εντελώς ακατανόητους και τον όρο ένταση και τον όρο επαγωγή ? Ίσως κάποιοι θεωρούν κακό να υιοθετήσουν όρους άλλων γλωσσών ακόμα και μεταφρασμένους 

 

Αρης Αλεβίζος
Αρχισυντάκτης
23/06/2019 1:03 ΜΜ

Συνάδελφε Αντρεα καλημέρα.
Συμφωνώντας μέ την ορολογία που προτείνεις και τις σχέσεις μεταξύ των Ή και Β να πω μόνο ότι η ορολογία αλλάζει κατά καιρούς. Κάποτε το Β λέγονταν ένταση (πχ Αλεξοπουλος 1976) και το Η μαγνητική διέγερση. Όμως σημασία έχει τι εκφράζει το κάθε μέγεθος, οπως ωραία αναπτύσεις.

Να προσθέσω δύο πραγματακια διευκρινηστικα στα όσα χρήσιμα παραθέτεις στο κειμενο σου.
1.  Η σχέση B=μ0(H+M) λέει:
Το B μέσα στην ύλη οφείλεται τόσο στα πραγματικά ρεύματα, δηλαδή εξωτερικά αίτια (Η) , όσο και στα μικροσκοπικά ρεύματα  Ampere (M).
2. Από τα διαγράμματα επίσης συμπεραίνουμε ότι ή Η του μαγνητικού πεδίου μόνιμου μαγνήτη, σε αντίθεση με την Β, έχει "πηγές" και "καταβοθρες" τις διαχωριστικές επιφάνειες των πόλων του μαγνήτη απότον χωρο που τον περιβάλλει.
Επειδή αποδεικνύεται ότι η κυκλοφορία του Η είναι μηδέν, το πεδίο αυτό είναι αστροβιλο, ενώ συγχρόνως η ροή του αποδεικνύεται ότι υπακούει στο νόμο του Gauss, άρα τελικά το πεδίο αυτό Η συμπεριφέρεται όπως το ηλεκτροστατικό πεδίο. Ενώ το Β είναι στρόβιλο.
ΥΣ. όλα τα σύμβολα Ή, Β, Μ είναι διανύσματα αλλά γράφω με ένα tablet.

Διονύσης Μάργαρης
Αρχισυντάκτης
22/09/2020 9:50 ΠΜ

Καλημέρα Ανδρέα και από εδώ.

Μια επιβεβλημένη προσθήκη, πάνω στο θέμα ένταση ή μαγνητική επαγωγή,  Με βάση τη συζήτηση που έγινε δίπλα:

Αλλά επειδή όλα αυτά μοιάζουν και λίγο.. προϊστορία, για καλό και για κακό, άνοιξα και τον Αλεξόπουλο, έκδοση του 1973, για να μην πω κάτι λάθος…

Και κοιτάτε τι βρήκα:

Το Β ονομάζεται «ένταση του μαγνητικού πεδίου», ενώ το ℋ  «μαγνητική διέγερση»! Δεν φταίει Βαγγέλη το Π.Ι. το 1998, ο Καίσαρας επέβαλε ονοματολογία, πολύ νωρίτερα!!!

Επειδή χρόνια και γω δίδασκα την «μαγνητική επαγωγή» και δεν μου άρεσε η αλλαγή, ξαφνιάστηκα με αυτό που διάβασα και πήγα και λίγο παρακάτω!

Τι γράφει λοιπόν  στην υποσημείωση της σελίδας 113;

«Μέχρι της εισαγωγής του συστήματος S.Ι. το άνυσμα ℋ  εκαλείτο «έντασις μαγνητικού πεδίου», εδίδοντο δε εις αυτό αι αυταί διαστάσεις, ως εις το άνυσμα Β…

…… επιβάλλεται και η μεταβολή της ονομασίας των. Ούτω καθίσταται σαφές ότι το μέγεθος ℋ  δεν είναι μέγεθος, έχον αντιστοιχίαν προς την ένταση του ηλεκτρικού πεδίου ℰ , αλλά προς την ηλεκτρικήν διέγερσιν Ɒ, ήτις περιγράφει την κατάστασιν του χώρου πέριξ ακίνητων εμφανώς φορτίων , το μέγεθος ℋ περιγράφει την κατάστασιν του χώρου πέριξ κινουμένων φορτίων (δηλ. ρευματοφόρων αγωγών).

 

Βασίλειος Μπάφας
14/12/2023 2:06 ΜΜ

Καλημέρα σε όλους.
Ανδρέα είσαι έτη μπροστά από μένα !!!
Κυριολεκτικά όμως.
Κάπου υπήρξε η ανάγκη να απαντήσω με ακρίβεια για την ένταση του μαγνητικού πεδίου και το Β.
Το ψάξιμο για μια πιο ακριβή απάντηση, προς το τέλος του, με έφερε στο υλικό, όπου είχα και σκοπό να αναρτήσω ακριβώς γι’ αυτό το θέμα.
Αφού όμως το έχεις διαπραγματευτεί άριστα, όπως ήταν και αναμενόμενο, δεν έχει νόημα να το ξαναπώ, απλά προσθέτω σε μια εικόνα τον πίνακα που δημιούργησα κατά την προσπάθεια αυτή, ελπίζοντας να αποσαφηνίσω κάτι καλύτερα.
Να είσαι πάντα καλά!

comment image

Τελευταία διόρθωση2 έτη πριν από admin