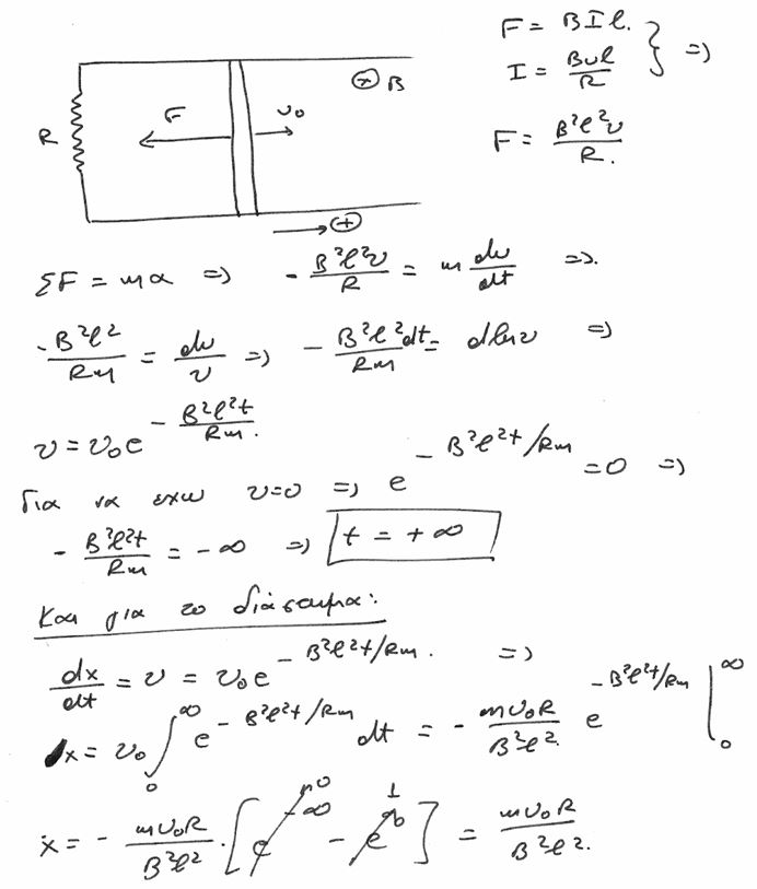
Μια άσκηση, την οποία μου έστειλε φίλος, που συνδυάζει επαγωγή και το θεώρημα ώθησης ορμής, με τη βοήθεια του οποίουν υπολογίζεται η συνολική μετατόπιση της ράβδου.
Το ερώτημα είναι θα σταματήσει ποτέ; Γιατί αν ο χρόνος για να σταματήσει είναι άπειρος, τι νόημα έχει η ερώτηση; Θα είχε νοημα το πρόβλημα αν δεν έλεγε μέχρι να σταματήσει αλλά μέχρι να αποκτήσει μια ταχύτητα v'.
Μπορεί ο χρόνος μέχρι να σταματήσει να είναι θεωρητικά άπειρος, αλλά αυτό είναι άκρως θεωρητικό.
Δεν ξέρω τι νόημα θα έχει μια ταχύτητα 0,000000001m/s…
Τις αντίστοιχες διαφορικές συναντάμε στα χρονοκυκλώματα, όπου θεωρούμε ότι πρακτικά μετά από χρόνο 5τ το φαινόμενο έχει τελειώσει, όπου τ η σταθερά χρόνου, που στην περίπτωσή μας είναι τ=Rm/(Bl)^2.
Μια άσκηση, την οποία μου έστειλε φίλος, που συνδυάζει επαγωγή και το θεώρημα ώθησης ορμής, με τη βοήθεια του οποίουν υπολογίζεται η συνολική μετατόπιση της ράβδου.
Πολύ καλή!
Πολύ καλή Διονύση, αλλά "παίζει" το θεώρημα ώθησης-ορμής ή είναι "εκτός";
Καλημέρα Βαγγέλη.
Το Θ.Ω.Ο. "δεν παίζει", είναι εκτός ύλης, γι΄αυτό η άσκηση μπήκε στα άρθρα και όχι στις αναρτήσεις που απευθύνονται και σε μαθητές…
Το ερώτημα είναι θα σταματήσει ποτέ; Γιατί αν ο χρόνος για να σταματήσει είναι άπειρος, τι νόημα έχει η ερώτηση; Θα είχε νοημα το πρόβλημα αν δεν έλεγε μέχρι να σταματήσει αλλά μέχρι να αποκτήσει μια ταχύτητα v'.
Καλησπέρα Βασίλη.
Μπορεί ο χρόνος μέχρι να σταματήσει να είναι θεωρητικά άπειρος, αλλά αυτό είναι άκρως θεωρητικό.
Δεν ξέρω τι νόημα θα έχει μια ταχύτητα 0,000000001m/s…
Τις αντίστοιχες διαφορικές συναντάμε στα χρονοκυκλώματα, όπου θεωρούμε ότι πρακτικά μετά από χρόνο 5τ το φαινόμενο έχει τελειώσει, όπου τ η σταθερά χρόνου, που στην περίπτωσή μας είναι τ=Rm/(Bl)^2.
Για παράδειγμα στην ανάρτηση:
Ένα χρονοκύκλωμα με πυκνωτή.
θα ήταν παράλογο να υποστηρίξουμε ότι ο πυκνωτής δεν φορτίζεται ποτέ! αφού ο χρόνος φόρτισης είναι θεωρητικά άπειρος…