Καλησπέρα, είμαι στις εξαναγκασμένες ταλαντώσεις στο σχολείο και κοιτώντας την άσκηση του κ.Μάργαρη
ήθελα να ρωτήσω για το ερώτημα ii όπου για να υπολογίσει την ταχύτητα χρησιμοποεί την τριγων σχεση με τετράγωνα ημίτονου και συνημίτονου.
αυτό δεν ισοδυναμεί με το Κ+U=E που εδώ όμως δεν είναι σταθερό?
![]()
Καλησπέρα Στράτο.
Η σχέση δεν συνεπάγεται διατήρηση ενέργειας.
Αναλυτικά:
αν κατάλαβα καλά αυτό συμβαίνει επειδή Κ=mωο^2 δηλαδή ανεξάρτητη του ω?
ενώ στο umax βάζουμε Αω.
Η κινητική ενέργεια είναι (1/2)m.ω^2.συν^2ωt.
Η υmax είναι Α.ω.
Η δυναμική είναι (1/2)m.ωο^2.ημ^2ωt.
Δηλαδή μεταξύ ημ^2ωt και συν^2ωt δεν βγαίνει κοινός παράγοντας ώστε να προκύψει (κάτι) x 1.
Καλησπέρα Στράτο, καλησπέρα Γιάννη.
Η απάντηση Στράτο, είναι αυτή που έγραψε ο Γιάννης παραπάνω.
Αλλά ας δούμε μια άλλη ματιά.
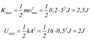
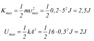
Η κινητική ενέργεια δεν είναι αυτή που γράφεις. Η μέγιστη κινητική ενέργεια, την έχω υπολογίσει στην άσκηση που αναφέρεις, είναι:
Αξίζει να προσεχθεί ότι η μέγιστη δυναμική ενέργεια, δεν είναι ίση με την μέγιστη κινητική. Δεν υπάρχει κανένα απομονωμένο σύστημα στο οποίο να διατηρείται η ενέργεια και να μετατρέπεται από την μια μορφή στην άλλη.
Καλησπέρα Στράτο.
Αναλυτικά είναι ακριβώς όπως τα γράφει ο Γιάννης και ο Διονύσης . Παρακάτω δίνεται μία ποιοτική εξήγηση της ενέργειας στην εξαναγκασμένη ταλάντωση.
Η συντηρητική δύναμη –Dx δεν αλλάζει το ενεργειακό περιεχόμενο του συστήματος (γιατί είναι συντηρητική), απλά μετατρέπει την κινητική σε δυναμική και αντίστροφα.
Η μη συντηρητική δύναμη απόσβεσης -bυ είναι συνεχώς αντίθετη από την ταχύτητα, άρα συνεχώς αφαιρεί ενέργεια από το σύστημα.
Η μη συντηρητική δύναμη του διεγέρτη Fδ, άλλοτε προσφέρει (όταν είναι ομόρροπη της ταχύτητας και έχει θετικό έργο) και άλλοτε αφαιρεί (όταν είναι αντίρροπη της ταχύτητας και έχει αρνητικό έργο) ενέργεια.
Οι δύο τελευταίες δυνάμεις μεταβάλλουν την ενέργεια του συστήματος, η δε μεταβολή ισούται με τα έργα τους ΔΕ=Wb+Wδ. Δεν υπάρχει κανένας ιδιαίτερος λόγος, στην γενική περίπτωση, το άθροισμα Wb+Wδ να ισούται με το μηδέν και η ενέργεια να διατηρείται.
Όταν όμως η συχνότητα του διεγέρτη ισούται με την ιδιοσυχνότητα, τότε οι δύο όροι Wb και Wδ «συντονίζονται», έτσι ώστε το άθροισμά τους να ισούται συνεχώς με μηδέν… . Τότε και μόνο τότε ΔΕ=Wb+Wδ=0, άρα Ε=σταθ.
Βλέπουμε τις τρεις γραφικές παραστάσεις:
Με κόκκινο η δυναμική.
Με μπλε η κινητική.
Με μαύρο η (μη σταθερή) ολική.
ευχαριστω πολυ για τις απαντησεις