
Δείτε τα σημερινά θέματα της ΕΕΦ, για τους μαθητές του Λυκείου
ΑΠΑΝΤΗΣΕΙΣ__ΦΥΣΙΚΗΣ_ΓΛΥΚΕΙΟΥ_2017-1-
Απαντήσεις Α΄ΛΥΚΕΙΟΥ
Απαντήσεις Β΄ΛΥΚΕΙΟΥ
Μπορείτε να δείτε τα θέματα των τελευταίων διαγωνισμών με κλικ εδώ.
![]()
Επειδή το να μοιράζεσαι πράγματα, είναι καλό για όλους…

Δείτε τα σημερινά θέματα της ΕΕΦ, για τους μαθητές του Λυκείου
ΑΠΑΝΤΗΣΕΙΣ__ΦΥΣΙΚΗΣ_ΓΛΥΚΕΙΟΥ_2017-1-
Απαντήσεις Α΄ΛΥΚΕΙΟΥ
Απαντήσεις Β΄ΛΥΚΕΙΟΥ
Μπορείτε να δείτε τα θέματα των τελευταίων διαγωνισμών με κλικ εδώ.
![]()
Η πρώτη λύση:
Η δεύτερη λύση:
Δεν θα επιμείνω στο ότι , αφού καταλήγουν στα ίδια, είναι σωστό το συμπέρασμα.
Κάθε παρατήρηση επιθυμητή.
Διονύση πιστεύω πως αυτή ελάχιστοι την έλυσαν ..συμφωνώ πως ήταν πολύ έξυπνη
Η προσέγγιση είναι τελικά άριστη.
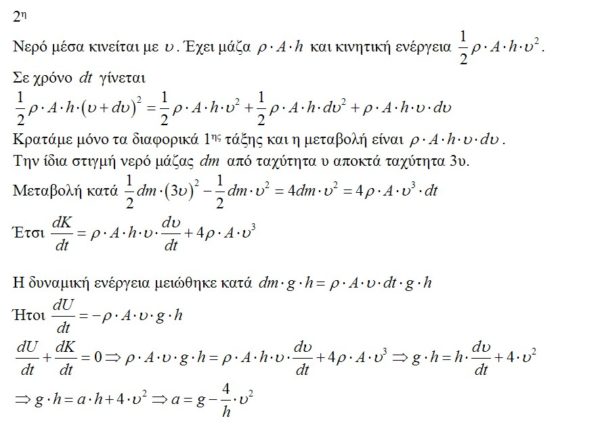
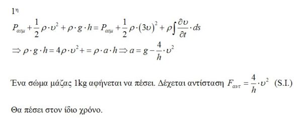
Αν εφαρμόσουμε τον νόμο Bernoulli (όχι τον γενικευμένο, τον "μαθητικό") προσεγγίζουμε πολύ καλά το άδειασμα του δοχείου.
Στα μεγάλα δοχεία η πρόβλεψη άριστη.
Συγκεκριμένα στο Η=0,5m η σχέση που πρότειναν δείχνει χρόνο 0,89s και η προσομοίωση 0,91s.
Στα 10m (δεξαμενή μεγάλη) οι δύο προβλέψεις ταυτίζονται στα 4s.
Η προσομοίωση:
Είναι εντυπωσιακό το ότι μπορούμε να χρησιμοποιούμε τον νόμο Bernoulli άνετα και σε ροές μη μόνιμες με ικανοποιητική προσέγγιση. Δεν το περίμενα.
Συμπέρασμα Γιάννη;
Παρότι η ροή δεν είναι μόνιμη και "δεν είναι σωστή" η εφαρμογή της εξίσωσης Bernoulli θεωρητικά, το αποτέλεσμα, όσον αφορά τη διάρκεια εκροής, είναι πρακτικά το ίδιο, θεωρώντας μόνιμη τη ροή.
Σωστό το συμπέρασμα αυτό;
Γιάννη (Μπατσ) και γω δεν νομίζω ότι εύκολα μπορούσε να την αντιμετωπίσει ένα πολύ καλός μαθητής.
Αναρτήθηκαν παραπάνω και τα θέματα για την Β΄τάξη Λυκείου.
Σωστά Διονύση αλλά μην το πάρουμε και στην περίπτωση όπου οι διατομές είναι Α και Α/2.
Γεια σου Γιάννη.
Συμφωνώ, συνδυασμός αριθμητικών δεδομένων…
Σαν γενικό συμπέρασμα θα έλεγα πως όσο μικραίνει η ύλη ανεβαίνει το επίπεδο , αρα μήπως είναι καιρός να αρχίσουμε να βλέπουμε με άλλο μάτι τις περικοπές ύλης .
Καλησπέρα σε όλους! Το τελευταίο νομίζω ότι δίνει απαντήσεις: δεκα χιλιογραμμα μέτρα τετράγωνο, ρίζα δύο δεύτερα,τρία δεύτερα ρίζα 145 με εφαπτομενη 12 πλάγια προς τα πάνω και πίσω από το λόγο της κέντρομόλου προς την επιτροχια,και όταν 3ημφ=συνφ για φ=18,5 πριν η ράβδος ΟΑ γίνει πάλι κατακόρυφη η γωνιακή μέγιστη με τιμή περίπου 6,ο8 r/s .(υπόριζο:18 +6×ρίζα 10).
Καλημέρα συνάδελφοι
Σε αυτή την ανάρτηση είχα μελετήσει το ίδιο θέμα ( δεν ήμουν θεματοδότης στην ΕΕΦ).
Είναι εκπληκτικό το γεγονός ότι ο νόμος Bernouli είναι εν ισχύ ακόμη και όταν οι διατομές είναι συγκρίσιμες και η ροή μη μόνιμη.
Θα το ξαναδω.
Καλημέρα Βαγγέλη.
Είναι όντως εκπληκτικό. Περίμενα με λόγο διατομών 3/1 να αποτύχει οικτρά.
Όμως δεν αποτυγχάνει. Η προσομοίωση δείχνει καμπύλες ακριβώς σαν αυτήν που έδωσες τότε. Ίδια ακριβώς μορφή, αλλά "πιο καμπύλες". Όσο πλησιάζουν οι δύο διατομές, τόσο μετατοπίζεται προς τα δεξιά η κορυφή.
Το τρελό είναι ότι με την κορυφή σχεδόν στη μέση, βγαίνουν ίδιοι χρόνοι με αυτούς της καμπύλης της ομαλά επιβραδυνόμενης κίνησης.
Δεν έχω δοκιμάσει την περίπτωση με διατομές 2/1. Αν και εκεί πλησιάσουν οι χρόνοι…..
Καλημέρα συνάδελφοι.
Μάλλον ξεχνάμε…
Η …τότε ανάρτηση του Βαγγέλη και εδώ.
Ξαναβάζω τον σύνδεσμο
Χρονικά μεταβαλλόμενο πεδίο ταχυτήτων με τον νόμο Bernoulli εν ισχύ