Καλημέρα και καλώς σας βρίσκω στο ylikonet.gr.
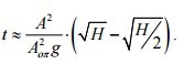
Με αφορμή μια παλιότερη ανάρτηση στο ning Ποιο δοχείο αδειάζει πρώτο; και διαβάζοντας τα σχόλια που υπάρχουν από κάτω, είδα ότι η σχέση

δε βγάζει μονάδες χρόνου. Οπότε το έψαξα λίγο για να έχουμε μια πιο ακριβή λύση και κυρίως πιο ισχυρή στις αντιρρήσεις και τις αμφιβολιες των μαθητών (κυρίως των αρίστων) που συχνά απαιτούν τη μέγιστη δυνατή ακρίβεια.
Επιτρέψτε μου λοιπόν τα παρακάτω.
Συγνώμη για την εισαγωγή εικόνας αλλά δεν έπερνε τις εξισώσεις ο editor του wordpress.
Ευχαριστώ
Κώστας Χατζηκωνσταντίνου
![]()
Καλημέρα Κώστα
Σε ποια σχέση αναφέρεσαι;
Επισήμανέ την και θα την προσθέσω εγώ…
Είναι στο τρίτο σχόλιο στο http://ylikonet.ning.com/profiles/blogs/3647795:BlogPost:313968
Συγνώμη 4ο σχόλιο από τον κ. Κυριακόπουλο
Ευχαριστώ Κώστα για το σχόλιο.
Είχα δώσει λανθασμένη σχέση. Συμφωνώ με αυτήν την οποία παραθέτεις και δίνω και άλλη απόδειξη:
Θα μπορούσαμε να τελειώσουμε νωρίτερα, αλλά δεν ξέραμε τότε όσα ξέρουμε τώρα.
Ουδεμία μαθηματική σχέση απαιτείται τελικά.
Αν οι όγκοι είναι ίδιοι, τότε τα εμβαδά είναι ίδια. Οπότε μεγάλη αρχική παροχή (μεγάλο ύψος αρχικό) συνεπάγεται μικρότερο χρόνο αδειάσματος (εμβαδά τριγώνων).
Πως όμως θα στηρίξουμε τη γραμμική μείωση της παροχής χωρίς μαθηματική σχέση;
Γεια σου Κώστα.
Δεν θα την στηρίξουμε, δεν θα ασχοληθούμε μ' αυτήν.
Ο Μήτσος Γκενές αρχικά ασχολήθηκε. Ο Μιχάλης Μιχαήλ απέδειξε επίσης το ότι γ επιφάνεια του δοχείου κάνει κίνηση ομαλά επιβραδυνόμενη με αρχική ταχύτητα ρίζα(2.g.H).
Φοβήθηκα θεωρώντας ότι γεννώνται τέρατα. Στην προσπάθειά μου να τα "σκοτώσω" ανάρτησα κάπου 12 "ασκήσεις".
Μπορείς να τις βρεις όλες στο ιστολόγιό μου.
Η πρώτη που εγώ έγραψα ήταν αυτή.
Μια άλλη:
Σ' αυτήν το ίχνος νερού κινείται ευθύγραμμα και ομαλά.
Ήλπιζα να καούν τα σχετικά θέματα ως αναρτηθέντα στο υλικονέτ.
Αντ' αυτού συναντώ θέματα από δω και από κει που "παίζουν" με το εμβαδόν της παροχής.
Τα θεωρώ εκζητήσεις και εκτός κλίματος.
Κράξιμο έκανα και όχι προτάσεις θεμάτων.
Ελπίζω τουλάχιστον να αποφύγει κάποιος θέμα σχετικό με κατάβρεγμα χαρτακίων, αν όχι επειδή έχει την αίσθηση του μέτρου, επειδή δεν επιθυμεί να χαρακτηρισθεί αντιγραφέας ή "διαφημιστής" του υλικονέτ.
Φαίνεται όμως πως η πλάκα δίνει ιδέες. Και έτσι όμως είναι προτιμότερο να είναι γνωστή η πλάκα, παρά να παρουσιάζεται ως "πρωτότυπη" ιδέα. Ιδέα που στο κάτω-κάτω δεν ήταν δική μου.
Μεταφέρω τμήμα σχολίου μου προς φίλο:
Πέρυσι ο Μιχάλης Μιχαήλ είχε γράψει ανάρτηση με την οποία παρουσίαζε το ότι η κίνηση της επιφάνειας του νερού δεξαμενής είναι ομαλά επιβραδυνόμενη. Φοβήθηκα και το είπα. Ο Διονύσης θεώρησε υπερβολικό τον φόβο.
Ως απάντηση έστειλα μια μεγάλη σειρά ασκήσεων.
Μία
Δύο
Τρεις
Τέσσερις
Πέντε
Έξι
Επτά
Και άλλες που ξεχνώ. Η πρόθεσή μου ήταν να κάψω τέτοιες ασκήσεις, στερώντας τους την πρωτοτυπία και καθιστώντας τις δημοσιευμένες στο υλικονέτ (με ότι σημαίνει αυτό).
Βλέπω με έκπληξη να μου γράφεις ότι όχι μόνο υπάρχουν αλλά είναι και διαδεδομένες από πάνω. Σε όλα τα βοηθήματα σχεδόν γράφεις.
Αισθάνομαι ως εάν ήμουν ο ήρωας της ταινίας “Νύχτα βρυκολάκων” του Ρομάν Πολάνσκυ.
Ο καθηγητής, προσπαθώντας να εξαφανίσει τα βαμπίρ, εξάπλωσε τον βαμπιρισμό ευρύτατα.
Η ιστορία με φοβίζει και ελπίζω τώρα να είναι κατανοητοί οι τότε φόβοι μου.
Γιάννη Καλησπέρα, νομίζω ότι ο διαγωνισμός της ε.ε.φ δείχνει ότι το θέμα παραμένει επικαιρο..Νομίζω ότι η σαφήνεια των εκφωνησεων καθίσταται επιτακτική στο κεφάλαιο των ρευστών λόγω των προσέγγισεων για αποφυγή "ρευστών λυσεων"
Γεια σου Δημήτρη.
Ο διαγωνισμός της ΕΕΦ ήταν διαγωνισμός. Βάζουν ότι νομίζουν και "αλιεύουν" ταλέντα.
Οι Εξετάσεις πρέπει να "παίζουν" τίμιο παιχνίδι. Τα θέματα πρέπει να εναρμονίζονται με την "κουλτούρα" του βιβλίου.
Το βιβλίο δεν έχει αδειάσματα δεξαμενών. Σε ένα μακρινό νησί ένας συνάδελφος που διορίστηκε φέτος, δεν είναι φυσικός και δεν υποχρεούται να επισκέπτεται βιβλία του εμπορίου ή το υλικονέτ τι θα κάνει;
Θα λύσει τις ασκήσεις του βιβλίου και θα βρει σε βοηθήματα ασκήσεις ίδιας φιλοσοφίας.
Οι μαθητές του δεν είναι παιδιά άλλου Θεού.
Υπάρχει ο εξής κίνδυνος:
1. Με δεδομένο το ότι η κίνηση της επιφάνειας δοχείου είναι ευθύγραμμη, ομαλά επιβραδυνόμενη.
2. Ψάχνουμε σαν τρελοί για ασκήσεις,
Μεταφέρεται η "διαγραμματολογία" της Α' Λυκείου στην Γ' Λυκείου. Αρχίζουμε να παίζουμε με εμβαδά, με χρόνους, με αποστάσεις εκτόξευσης νερού που μειώνονται γραμμικά με τον χρόνο και άλλα πολλά.
Έτσι μετατοπίζεται το θέμα από τις πιέσεις στα θέματα που προανέφερα. Οι μαθητές βλαστημούν την ώρα και την στιγμή που μπήκαν τα ρευστά και αρχίζει πάλι η "εκπαίδευση". Όπως η μαϊμού ή η αρκούδα εκπαιδευόταν να αντιδρά στις εντολές του ¨αρκουδιάρη", έτσι οι μαθητές μας εκπαιδεύονται και σε αυτά τα εμβαδά.
Δεν χρειάζεται επινοητικότητα και εξυπνάδα. Χρειάζεται (όπως και στην περίπτωση της μαϊμούς) εκπαίδευση. Ιδιαίτερα ή σχολεία που διδάσκουν την Φυσική της Γ' από την Β΄ . Χρειάζονται 7 ώρες Φυσικής αντί για 3 και 0 ώρες Θρησκευτικών αντί για μία.
Φοβήθηκα τότε και θέλησα να "σατιρίσω" όλα αυτά. Έλα όμως που οι δεξαμενές είναι "πιασάρικο" θέμα!
Καλημέρα Γιάννη,θα ξεκινήσω από το ότι κάνεις δεν έχει διοριστεί τα τελευταία χρόνια!
Ο Βασίλης έβαλε δεύτερο θεμα με το διάγραμμα της παροχής στο study for exams οπότε απέκτησαν νομιμοποιηση!
Εξάλλου δεν έχουν δείξει οι εξεταστές ότι στηρίζονται στο σχολικό τα προηγούμενα χρόνια,τι να πρωτοθυμηθουμε ,για τα εκτός που τα πιο πολλά έχουν σχολιαστεί, πέραν των …λαθών!
Μακάρι το σχολικό να ήταν βέλτιστο ως οφείλει να είναι και να αποτελούσε οδηγό για τις εξετάσεις ωστε να μην υπηρχαν παιδια κατωτερου θεου,αλλά ..δυστυχώς φωτογραφίζει μόνο το περίγραμμα της ύλης !!!