
Όταν ένα αέριο εκτελεί αντιστρεπτή κυκλική μεταβολή, είναι αυτονόητο το ότι η μεταβολή της Εντροπίας του είναι μηδενική.
Όμως τι ισχύει για την μεταβολή της Εντροπίας όλου του συστήματος της θερμικής μηχανής;
Δηλαδή ποια είναι η μεταβολή της Εντροπίας κάθε δεξαμενής;
Ποιο το άθροισμα αυτών των μεταβολών;
Ας δουλέψουμε μόνο με δύο μηχανές, την μηχανή Carnot και την μηχανή Stirling;
Θα συμβούλευα να ασχοληθούμε πρώτα με την μηχανή Carnot.
![]()
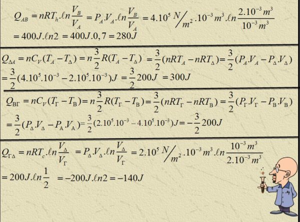
Ακριβώς αυτό εννοώ. Για να φανεί καλύτερα τι εννοώ θα στείλω μια ασκησούλα μέ όλα τα νούμερα υπολογισμένα ώστε να μην κουράζω.
Θα ζητήσω απλώς την απόδοση μιας μηχανής Stirling ως ψυκτικής μηχανής.
Καλά το ότι ο Stirling έχει μικρότερη θερμοδυναμική απόδοση έχει και άλλη διάσταση. Δεν παίρνει (και δεν δίνει) θερμότητα από μια δεξαμενή ψηλής θερμοκρασίας. Παίρνει ποσά θερμότητα και με όλες τις ενδιάμεσες θερμοκρασίες, άρα με μικρότερη "ικανότητα" παραγωγής έργου ή αν προτιμάς χαμηλότερης ποιότητας ενέργεια, ενώ ο Carnot χρησιμοποιεί καλής ποιότητας θερμότητα…
Γιάννη, μιας και θα κάνεις πράξεις
, για υπολόγισε τη μεταβολή της εντροπίας στη διάρκεια του κύκλου του Stirling.
Ζητώ λοιπόν να υπολογισθεί η απόδοση της συγκεκριμένης Stirling ως ψυκτικής μηχανής:
Παραθέτω υπολογισμούς ώστε να μην κουράσω.
Όποιος τελειώσει ας την συγκρίνει με την απόδοση της ψυκτικής Carnot, η οποία εύκολα βρίσκεται.
Άλλο ζήτησα παραπάνω Γιάννη…
Του αερίου είναι μηδέν. Του περιβάλλοντος προφανώς δεν μπορώ να την υπολογίσω.
Το γιατί το ανέφερα στο προηγούμενο σχόλιό μου, αυτό με τις ισόχωρες, που άλλοτε έβγαινε μηδέν και΄άλλοτε ότι ήθελα να βγει΄.
Προφανώς ουδείς μπορεί να υπολογίσει την μεταβολή της Εντροπίας του περιβάλλοντος, αγνοών την υλοποίηση.
Ελπίζω πως η τελευταία "σπαζοκεφαλιά" με την ψυκτική Stirling θα λύσει την παρεξήγηση.
Το ζήτησες όταν έγραφα και δεν το είδα. Να επαναλάβω:
Του αερίου είναι μηδέν. Του περιβάλλοντος προφανώς δεν μπορώ να την υπολογίσω.
Το γιατί το ανέφερα στο προηγούμενο σχόλιό μου, αυτό με τις ισόχωρες, που άλλοτε έβγαινε μηδέν και΄άλλοτε ότι ήθελα να βγει΄.
Προφανώς ουδείς μπορεί να υπολογίσει την μεταβολή της Εντροπίας του περιβάλλοντος, αγνοών την υλοποίηση.
Ελπίζω πως η τελευταία "σπαζοκεφαλιά" με την ψυκτική Stirling θα λύσει την παρεξήγηση.
Γιατί νόμιζα ότι υποστήριζες ότι μόνο στον Carnot ισχύει ΔSoλ=0;
Δεν συμφώνησες με τον Ιωάννη παραπάνω ότι αυξήθηκε η εντροπία;
Αλλά τώρα ζητάς απόδοση ψυκτικής! Δεν καταλαβαίνω το γιατί. Για να πεις ποια θερμότητα θα βάλει κάποιος ότι αφαιρεί από την δεξαμενή χαμηλής θερμοκρασίας; Το είπα παραπάνω για τις ποιότητες θερμότητας και για το ότι δεν λειτουργεί μεταξύ δύο μόνο δεξαμενών. Το ίδιο δεν ισχύει και όταν λειτουργεί ως ψυκτική;
Να υποθέσω δηλαδή ότι δεν "ξέρεις" αν η ισόχωρη είναι ή όχι αντιστρεπτή; Γιατί αν είναι, τότε ξέρεις και του περιβάλλοντος…
Δεν μπορώ να την υπολογίσω, διότι όταν δουλεύει μια Stirling έρχεται (εκτελούσα την ισόχωρη) σε επαφή με δεξαμενή της αρεσκείας σου.
Αν η μηχανή σου δουλεύει πάνω σε ζεστό καφέ, όσο πιο ζεστός είναι ο καφές, τόσο περισσότερο αυξάνεται η μεταβολή της Εντροπίας του περιβάλλοντος. Προφανώς η μηχανή που δουλεύει πάνω από τον καφέ, δεν χρησιμοποιεί άπειρες δεξαμενές θερμότητας ώστε η μεταβολή της Εντροπίας του περιβάλλοντος να είναι μηδενική.
Όμως περιμένω ακόμα τον υπολογισμό της απόδοσης της παραπάνω Stirling ως ψυκτικής.
Όποιος κάνει τον υπολογισμό και βρεθεί αντιμέτωπος με το 2ο Θ.Α. θα καταλάβει τι εννοώ.
Μα δεν χρησιμοποιώ αυτήν την ορολογία, την οποία θεωρώ παραπλανητική.
Έγραψα πριν ότι αν το φέρω σε επαφή με δεξαμενή 300 βαθμών και μετά με 200 βαθμούς, η μεταβολή της Εντροπίας του περιβάλλοντος είναι -Q/300 + Q//200.
Αν το φέρω σε επαφή με δεξαμενή 1000 βαθμών και το αποσύρω όταν πιάσει 300 και μετά σε δεξαμενή 100 βαθών και το αποσύρω όταν πιάσει 200, η μεταβολή της Εντροπίας του περιβάλλοντος είναι -Q/1000 + Q//100. Μεγαλύτερη δηλαδή.
Αν το φέρω σε επαφή με τις άπειρες δεξαμενές, είναι μηδέν.
Όμως η ουσία είναι ο υπολογισμός της απόδοσης της ψυκτικής Carnot που έβαλα πριν. Εκεί θα φανούν όλα.
Όλα τα άλλα απλά μπερδεύουν την ουσία.
Μη λαμβάνοντας απάντηση, απαντώ ο ίδιος και εντοπίσατε λάθη.
Η απόδοση της Stirling ως ψυκτικής είναι:
Η απόδοση της Carnot ως ψυκτικής είναι:
Μένουν δύο δυνατότητες.
Το οποίο συμπέρασμα είναι φυσικά ότι η ψυκτική Stirling είναι αποδοτικότερη της ψυκτικής Carnot.
Το ίδιο θα συνέβαινε να υπολογίζαμε τους συντελεστές τους ως αντλίες θερμότητας.
Είναι τελικά αποδοτικότερη η Stirling;
Καλημέρα σε όλους.
Ξαναδιαβάζοντας σήμερα τις παραπάνω τοποθετήσεις, ένιωσα «χαμένος στη μετάφραση»!
Νομίζω ότι γράφτηκαν πολλά, ο καθένας παίρνοντας θέση σε πράγματα που νόμιζε ότι έμπαιναν, ενώ ο συνομιλητής είχε άλλα πράγματα στο μυαλό του. Έτσι για να μιλήσω προσωπικά όταν διάβασα ότι:
«Όμως τι ισχύει για την μεταβολή της Εντροπίας όλου του συστήματος της θερμικής μηχανής;»
Έψαξα να βρω τρόπο να έχουμε μια κυκλική μεταβολή και η συνολική (αερίου και περιβάλλοντος) μεταβολή της εντροπίας να είναι θετική. Έτσι νόμισα ότι το θέμα πηγαίνει σε μεταβολές που τις θεωρούμε αντιστρεπτές, ενώ δεν είναι. Και στην περίπτωσή μας αυτό ισχύει για την ισόχωρη μεταβολή. Την θεωρούμε αντιστρεπτή, ενώ είναι ημιστατική ή ψευδοστατική, μη αντιστρεπτή. Έτσι παρέσυρα και τους φίλους συνομιλητές σε σκέψεις και τοποθετήσεις σε άλλη κατεύθυνση, αφού το θέμα που έβαζε ο Γιάννης δεν ήταν αυτό.
Όσο λοιπόν με αφορά φαίνεται να ήμουν «εκτός θέματος», όπως εκτός θέματος ήταν και οι περισσότερες τοποθετήσεις φίλων.
Αλλά τότε δεν μένει άλλο, παρά να τοποθετήσουμε ξανά το θέμα σε νέες βάσεις και να μην χαθούμε σε τοποθετήσεις Βαβέλ, που άλλα γράφει ο ένας και σε άλλο απαντά ο άλλος.
Ας δώσω λοιπόν κωδικοποιημένα μερικές σκέψεις, παίρνοντας θέση και όχι ζητώντας απόψεις άλλων. Οι θέσεις αυτές μπορούν να αναιρεθούν ή να μην ληφθούν υπόψη, αλλά τουλάχιστον να μπορεί ένας αναγνώστης να καταλάβει για ποιο πράγμα μιλάμε.
1) Οι θερμικές μηχανές εφευρέθηκαν, πολύ πριν η Φυσική προσπαθήσει να ερμηνεύσει και να διατυπώσει νόμους, που σήμερα διδάσκουμε στην Θερμοδυναμική. Και εφευρέθηκαν από Μηχανικούς και όχι Φυσικούς.
2) Προφανώς από το 1712, όταν ο Thomas Newcomen επινόησε την πρώτη θερμική μηχανή, μέχρι τις αρχές του 20ου αιώνα όταν ο Καραθοδωρής διατύπωνε το 2ο Θ.Ν. με τη βοήθεια της αδιαβατικής, μεσολαβούν περίπου 200 χρόνια, όπου άλλαξε ο τρόπος που ο άνθρωπος «είδε τα πράγματα»…
3) Σήμερα διδάσκουμε (παντού, όχι στην Ελλάδα) πρώτα τις μεταβολές αερίων και μετά τις θερμικές μηχανές. Έτσι όταν μιλάμε για θερμικές μηχανές:
α) Δεν ασχολούμαστε με τεχνικές προδιαγραφές και τρόπο λειτουργίας τους.
β) Δεν μελετάμε τον πραγματικό συντελεστή απόδοσης μιας τέτοιας μηχανής και από τι εξαρτάται.
Υποθέτουμε ότι μια ποσότητα αερίου διαγράφει ιδανικές (και άρα ανύπαρκτες θεωρητικές μεταβολές) τις οποίες ονομάζουμε αντιστρεπτές (είτε πλησιάζουν πολύ οι πραγματικές μεταβολές τις αντιστρεπτές, είτε τις πλησιάζουν λιγότερο, όπως οι ισόχωρες και ισοβαρείς). Άρα μελετάμε αντιστρεπτές κυκλικές μεταβολές και ορίζουμε με ένα συγκεκριμένο τρόπο τον θερμοδυναμικό συντελεστή απόδοσης αυτού του κύκλου (τον οποίο θεωρούμε ότι μπορεί να διαγράφει κάποια ιδανική μηχανή!!!) Ο παραπάνω συντελεστής δεν έχει καμιά σχέση με τον συνήθως πολύ χαμηλότερο πραγματικό συντελεστή απόδοσης που έχει μια πραγματική μηχανή σε λειτουργία. Ενώ στην πράξη ο χρήσιμος συντελεστής απόδοσης μπορεί να ορισθεί και διαφορετικά, όπως και κάθε συντελεστής απόδοσης.
Όταν πάμε να μιλήσουμε για πραγματική μηχανή, προφανώς εκτελεί μη αντιστρεπτές μεταβολές και προφανώς ΠΑΝΤΑ έχουμε αύξηση της εντροπίας. Δεν μπαίνει κανένα ερώτημα πάνω σε αυτό. Τα θέματα αν ΔS>0 ή πότε ΔS=0, μπαίνουν και αποκτούν νόημα στην περίπτωση που αναφερόμαστε σε υποθετικές ιδανικές μηχανές που διαγράφουν αντιστρεπτές κυκλικές μεταβολές (ή έστω που εμείς θεωρούμε ότι εκτελούν τέτοιες μεταβολές)….