web analytics

Οριζόντια βολή σε σκάλα

orizontia_bolh_se_skalaΜια οριζόντια βολή που μπορεί και να … δυσκολέψει (τους μαθητές)

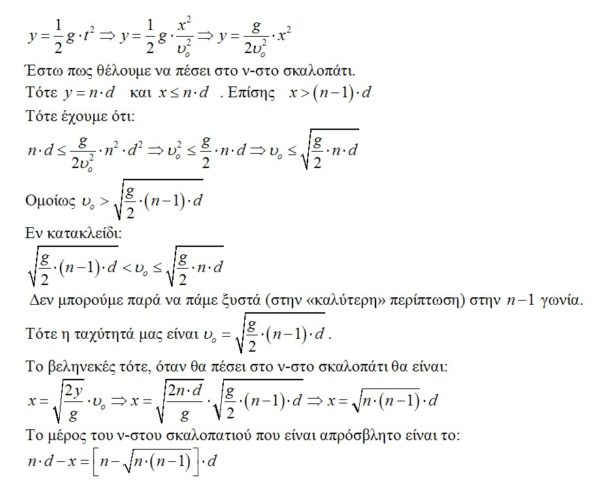
Μικρή μπίλια εκτοξεύεται οριζόντια από το κεφαλόσκαλο μιας σκάλας με ύψος και πλάτος σκαλοπατιών ίσο με  όπως φαίνεται στο σχήμα.

Α. Να υπολογιστεί η ταχύτητα εκτόξευσης ώστε η μπίλια να κτυπήσει στο -ιοστό σκαλοπάτι.

Β. Ποιο τμήμα του -ιοστού σκαλοπατιού είναι απρόσβλητο από τη βολή;

Σε pdf , και σε word

Loading

Subscribe
Ειδοποίηση για
27 Σχόλια
Inline Feedbacks
Όλα τα σχόλια
Διονύσης Μάργαρης
Αρχισυντάκτης
15/10/2017 9:08 ΠΜ

Καλημέρα Σπύρο και σε ευχαριστώ που την μοιράστηκες.

Τι το ήθελες το "μπορεί " στο θα δυσκολέψει τους μαθητές;

Γιάννης Κυριακόπουλος
Αρχισυντάκτης

Μια λύση:

Διονύσης Μάργαρης
Αρχισυντάκτης
15/10/2017 10:08 ΠΜ

Καλημέρα Γιάννη.

Αν κατέβαινες προς τα κάτω στο αρχείο του Σπύρου και πήγαινες στην 2η σελίδα, θα γλίτωνες το γράψιμοsurprise

Γιάννης Κυριακόπουλος
Αρχισυντάκτης

Δεν το είδα.

Έκανα και λάθος. Βρήκα την περιοχή που προσβάλλεται και όχι την απρόσβλητη.

Δημήτρης Γκενές
Αρχισυντάκτης
15/10/2017 9:19 ΜΜ

Καλησπέρα 

Απρόσμενα περίπλοκοι οι συλλογισμοί που οδηγούν στην λύση με εύκολες πράξεις

Σπύρο να 'σαι καλά … πολύ τσαχπίνικο πρόβλημα …

Συγχαρητήρια και … ευχαριστώ

Πάλμος Δημήτρης
16/10/2017 12:41 ΠΜ

Πολύ καλή Σπύρο.

Χαιρετισμούς στη Λευκάδα

Πάνος Μουρούζης
16/10/2017 11:52 ΠΜ

Και μία επιπλέον ερώτηση για τους δικτυακούς μου φίλους (όχι για μαθητές). Η μπίλια κάνει ελαστική κρούση στο Νοστό σκαλί. Σε ποιο σκαλί θα ξανακτυπήσει;

Γιάννης Μπατσαούρας
Γιάννης Μπατσαούρας
16/10/2017 12:27 ΜΜ
Απάντηση σε  Πάνος Μουρούζης

Να θεωρήσουμε ότι χτυπάει στο άκρο του σκαλοπατιού ;

Πάνος Μουρούζης
16/10/2017 1:05 ΜΜ

Ας υποθέσουμε ότι δίνουμε τη Vo το d και το g. Ζητάμε το σκαλοπάτι που θα πέσει Ν καθώς και αυτό που θα πέσει μετά την ελαστική κρούση στο Νοστό σκαλοπάτι.

 

Ιωάννηs Τσιφτελήs
16/10/2017 1:07 ΜΜ

Kαλησπέρα σε όλουs.Mετά τη κρούση με το νιοστό σκαλοπάτι η σφαίρα φθάνει στο ίδιο ύψοs με την ίδια οριζόντια ταχύτητα.'Ομωs στην εξίσωση τροχιάs τώρα πρέπει να θέσουμε Χ-2Χο όπου Χο=Νd-α με α την απόσταση από τη κόχη του νιοστού σκαλοπατιού και d το πλάτοs του.Η διαδικασία που ακολουθούμε για την πρόσπτωση στο νέο μ-οστό σκαλοπάτι είναι ίδια με το πρώτο ερώτημα.

Γιάννης Μπατσαούρας
Γιάννης Μπατσαούρας
16/10/2017 1:18 ΜΜ

Αν χτυπήσει και υποστεί ανάκλαση στην άκρη του Νιοστού σκαλοπατιού έχουμε επανάληψη διαδικασίας. φτάνει στο 2Ν σκαλοπάτι.

Αν χτυπήσει και ανακλαστεί στ  Ν ιοστό σκαλί τότε  θα χτυπήσει στο 2Ν-1

Παντελεήμων Παπαδάκης
Αρχισυντάκτης

Καλημέρα σε όλους.

Ωραία η άσκηση του Σπύρο καθώς και η επέκταση του Πάνου ποιο απαιτητική.

Στο σκεπτικό του Ιωάννη Τσιφτελή μια μεσημεριανή ''πεινασμένη'' απάντηση. Αν χτυπήσει οπουδήποτε στο Νοστό σκαλοπάτι, ανακλώμενο θα ανέβει σε max ύψος Νd και εκεί θα έχει ταχύτητα υ0 αφου οριζοντίως διατηρείται .Έτσι λοιπόν το ανώτερο σημείο για το σώμα θα βρίσκεται κατακορύφως πάνω από το 2Ν σκαλοπάτι δηλαδή σε ύψος (2Νd) απ'αυτό, αφού από τη στιγμή της κρούσης και μέχρι το max ύψος οριζοντίως μετατοπίσθηκε κατά Νd.

Θεωρώντας τώρα οριζόντια βολή από το ανώτερο σημείο με σημείο τομης των αξόνων (Χ,Ψ) αυτό γράφουμε τις εξισώσεις χ=υ0t kai ψ=0,5gt^2. Απ'αυτές για χ=κd και ψ=(2Ν+k)d (όπου κ το πλήθος σκαλοπατιών μετά το Νοστό )και απαλοιφή χρόνου προκύπτει β΄θμια ως προς κ που μας δίνει θετική λύση κ=2Ν.

Άρα θα πέσει στο 2Ν+2Ν=4Ν σκαλοπάτι.

Αν συλλογίστηκα λάθος …''θα το πάρω αγκαλιά''

Υ.Γ.

Νομίζω πως χωρίς τις εξισώσεις αλλά με συλλογισμό προκύπτει το 4Ν αλλά …"νηστικό αρκούδι δεν χορεύει"