Ας δούμε, μέσω κάποιων παραδειγμάτων τι συμβαίνει με τις αλγεβρικές τιμές φυσικών μεγεθών, αλλά και τι συμβάσεις κάνουμε συνήθως, άλλοτε φανερές και άλλοτε «σιωπηλές».
Παράδειγμα 1ο:
Ένα αυτοκίνητο κινείται σε οριζόντιο δρόμο όπως στο σχήμα, με ταχύτητα μέτρου 10m/s. Μας ζητάνε την τιμή της ταχύτητας. Αυτή είναι:
i) υ=+2m/s, ii) υ=-2m/s, iii) Το ένα ή το άλλο…
Η σωστή απάντηση είναι η iii) Για να αποδώσουμε μια (αλγεβρική) τιμή στην ταχύτητα, πρέπει προηγούμενα να πάρουμε ότι η κίνηση πραγματοποιείται πάνω σε έναν προσανατολισμένο άξονα (έστω x) και να ορίσουμε μια κατεύθυνση ως θετική. Αν πάρουμε την προς τα δεξιά κατεύθυνση ως θετική, τότε το αυτοκίνητο έχει ταχύτητα υ=-2m/s, αν όμως πάρουμε την προς τα αριστερά κατεύθυνση ως θετική, τότε υ=+2m/s.
Συνήθως βέβαια, παίρνουμε σιωπηλά ως θετική την προς τα δεξιά κατεύθυνση (συμμορφούμενοι σε μια σύμβαση), οπότε απαντάμε ότι υ=-2m/s, χωρίς άλλες διευκρινήσεις.
Διαβάστε τη συνέχεια…
ή
Οι αλγεβρικές τιμές και η επαγωγή
Οι αλγεβρικές τιμές και η επαγωγή
![]()

Με ερμηνεύεις απόλυτα σωστά Βαγγέλη. Αυτό ακριβώς ισχυρίζομαι.
"απολύτως". Το απόλυτα σωστά δεν ξέρω αν είναι σωστό!!!
Καλημέρα συνάδελφοι.
Φοβάμαι ότι όλοι μαζί μιλάμε εδώ, χωρίς να έχουμε και καμιά διάθεση να ακούσουμε τι λέει ο απέναντι.
Δεν είπα ποτέ ότι αν έχουμε ένα επίπεδο, υπάρχει κάποιος λόγος να πάρουμε την κάθετη σε αυτό από τη μια πλευρά του ή από την άλλη, ούτε να το βάψουμε, ούτε οι δυο περιοχές του χώρου που διαχωρίζει το επίπεδο αυτό, έχουν κάτι που να τις ξεχωρίζει.
Έτσι το να υποστηρίζει κάποιος ότι έχει δικαίωμα να πάρει την κάθετη προς την μία πλευρά ή την άλλη, δεν νομίζω ότι αμφισβητήθηκε από κάποιον. Αλήθεια Πάνο και Βαγγέλη (που συμφωνείτε κιόλας λες και κάποιος διαφώνησε με αυτό!!!) διαβάσατε την παρούσα ανάρτηση στην κορυφή της σελίδας και διαπιστώσατε ότι υποστηρίζω την υποχρεωτική επιλογή μιας προνομιούχας κατεύθυνσης;
Για όποιον ενδιαφέρεται το κείμενο, είναι στην κορυφή της σελίδας. Να μεταφέρω αποσπάσματα:
και παρακάτω:
Η κάθετη μπορεί να είναι είτε προς τα πάνω, είτε προς τα κάτω. Έγραψα ότι επιβάλλεται να έχει μια συγκεκριμένη κατεύθυνση; Στην δεύτερη εικόνα δεν πήρα και τις δυο εκδοχές και βρήκα τη φορά του ρεύματος;
Αν κάποιος συνάδελφος υποστηρίζει, ότι αυτή η μέθοδος εύρεσης της φοράς του ρεύματος, είναι λάθος, δεν έχει παρά να δώσει ένα παράδειγμα που οδηγεί σε λάθος αποτέλεσμα… Αρκεί ΕΝΑ παράδειγμα.
Αλλά ας προσπαθήσω να το διατυπώσω εναλλακτικά.
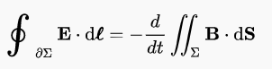
Έγραψα ότι όταν μιλάμε για επαγωγή, η κάθετη αυτή σε μια μικρή περιοχή, μπορεί να συνδυαστεί με την φορά διαγραφής αυτής της περιοχής, ορίζοντας έτσι μια ορισμένη φορά ως θετική. Όταν μιλάμε για την 3η εξίσωση του Maxwell
Το αριστερό μέλος υποδηλώνει ένα επικαμπύλιο ολοκλήρωμα κατά μήκος μιας κλειστής γραμμής που περικλείει μια ορισμένη επιφάνεια με ένα ορισμένο εμβαδόν, ενώ το δεξιό μέλος δίνει το ρυθμό μεταβολής της ροής που περνά από αυτή την επιφάνεια. Αν αποφασίσουμε να διαγράψουμε αυτή την κλειστή καμπύλη γραμμή δεξιόστροφα ή αριστερόστροφα είναι δική μας δουλειά, αλλά η προτίμησή μας αυτή μας επιβάλλει και μια ορισμένη κατεύθυνση στην κάθετη στην επιφάνεια. Αλλιώς τα πρόσημα «δεν βγαίνουν»…
Είναι δική μου εφεύρεση αυτά;
Δυστυχώς Πάνο είμαι μακριά (αρκετά μακριά) από τα βιβλία μου, οπότε θα περιοριστώ σε δύο αποσπάσματα που «ψάρεψα» πριν λίγο από το διαδίκτυο…
Το πρώτο είναι από το βιβλίο της ομάδας Δρη που γράφτηκε σαν εναλλακτικό αυτού που διδάσκεται. Το αρχείο εδώ.
Το δεύτερο είναι ένα ξενόγλωσσο, βρίσκεται εδώ και το αντίστοιχο απόσπασμα φαίνεται στην εικόνα:
Μήπως και τα δυο αυτά αποσπάσματα δικαιολογούν την θέση μου, ότι «δεν είναι δική μου εφεύρεση» η αλγεβρική εύρεση της φοράς του επαγωγικού ρεύματος;
Δυστυχώς Διονύση η γραπτή επικοινωνία είναι δύσκολη. Πιστεύω ότι αν ήμασταν σε ένα τραπέζι με ένα χαρτί και ένα μολύβι θα είχαμε λύσει "τις διαφωνίες;" μας σε ελάχιστα λεπτά. Αυτό που έγραψα είναι ότι μολονότι η μαγνητική ροή είναι ένα αριθμητικό μέγεθος που παίρνει και θετικές και αρνητικές τιμές είναι δύσκολο να καθορίσουμε επακριβώς το πρόσημό της, άσε που μερικές φορές δεν μας ενδιαφέρει κιόλας. Αυτό δεν είναι δική μου θέση. Είναι θέση πολλών πανεπιστημιακών βιβλίων για να επικαλεστώ και γω τη βιβλιογραφία. Όσον αφορά το παράδειγμα που ζήτησες μπορείς να μου πεις πως εφαρμόζεις τη μεθοδολογία αυτή που προτείνεις για να βρεις τη φορά του επαγωγικού ρεύματος σε ένα περιστρεφόμενο πλαίσιο;
Καλημέρα συνάδελφοι. Συμφωνώ απόλυτα (ή απολύτως) με τον Διονύση. Το ερώτημα είναι απλό: πώς θα ορίσουμε διανύσματα και τις πράξεις τους, χωρίς προσανατολισμό στον χώρο; Διαφορετικά τι νόημα έχει ο νόμος του Faraday
που έγραψε ο Διονύσης παραπάνω; Το ότι ο προσανατολισμός των αξόνων είναι αυθαίρετος (αρκεί το σύστημα αναφοράς να είναι δεξιόστροφο, ώστε να μην ορίσουμε διαφορετικά το εξωτερικό γινόμενο), αυτό δεν σημαίνει ότι είναι και προαιρετικός. Είναι απαραίτητος, όπως και τα πρόσημα που φέρνει μαζί του.
Όσον αφορά το κάθετο διάνυσμα και την ροή. Κατά την γνώμη μου από την στιγμή που ένα διάνυσμα (το Β) διαπερνά μία επιφάνεια, κάθε πλευρά είνια διαφορετική, αποκτά χρώμα όπως έγραψε και ο Νίκος Παναγιωτίδης. Εξ' ου και το εσωτερικό γινόμενο Β.dS στο ολοκλήρωμα του δευτέρου μέλους στον νόμο του Faraday παραπάνω. Αν αυτή λοιπόν η επιφάνεια σταραφεί κατά 180 μοίρες μέσα στο πεδίο Β, δεν είναι το ίδιο ως αν στρεφόταν στον κενό χώρο.
Πάνο καλημέρα.
Το να ορίσουμε ένα διάνυσμα κάθετο στην επιφάνεια που να δείχνει τη θετική φορά είναι το ίδιο με το να μαρκάρουμε την επιφάνεια με δυο διαφορετικά χρώματα, υπό την προυπόθεση βέβαια ότι το διάνυσμα είναι κολλημένο στην επιφάνεια, που σημαίνει ότι αν περιστρέψεις την επιφάνεια 180 μοίρες, θα περιστραφεί και το διάνυσμα μαζί της. Χωρίς διάνυσμα, δηλ. χωρίς μαρκάρισμα των δυο πλευρών της επιφάνειας, η ροή δεν μπορεί να αποκτήσει πρόσημο.
Πάνο καλημέρα. Κατά την γνώμη μία απάντηση στο ερώτημά σου είναι η εξής:
Για έναν περιστρεφόμενο, μαζί με το πλαίσιο, παρατηρητή, τα φορτία των αγωγών είναι ακίνητα αλλά μεταβάλλεται το μαγνητικό πεδίο (συγκεκριμένα ο προσανατολισμός του). Άρα για αυτόν δημιουργείται ένα επαγόμενο ηλεκτρικό πεδίο, το οποίο επιβάλλει μία επαγόμενη τάση, η οποία με την σειρά της δημιουργεί το επαγόμενο ρεύμα. Η φορά του ρεύματος προκύπτει από την σωστή εφαρμογή (άρα με τα κατάλληλα πρόσημα) νόμο του Faraday, ο οποίος θα δώσει την σωστή φορά του ηλ. πεδίου και κατ' επέκταση την σωστή πολικότητα της ΗΕΔ από επαγωγή.
Ανάλογα θα ήταν η πορεία για ένα κίνητιο παρατηρητή.
Συμφωνώ.
Διευκρινίζω απλώς ότι το παράδειγμα θα πρέπει να τέτοιο όπου η αλγεβρική λύση για τον προσδιρισμό της φοράς του ρεύματος να δίνει αντίθετο αποτέλεσμα από αυτό που δίνει ο κανόνας του Lenz (αρχή διατήρησης της ενέργειας). Έτσι ελέγχεται η ορθότητα της αλγεβρικής μεθόδου.
Η διδασκαλία ή μη της αλγεβρικής μεθόδου είναι ζήτημα διδακτικής και όχι Φυσικής. Από διδακτική άποψη λοιπόν η παρουσίαση της αλγεβρικής μορφής του νόμου της επαγωγής, χωρίς ουδέποτε αυτή η μορφή να χρησιμοποιηθεί, το λιγότερο αφήνει ερωτηματικά. 'Η θα παρουσιάζεται η αλγεβρική μορφή και θα εφαρμόζεται για την εύρεση της φοράς του ρεύματος ή δεν θα παρουσιάζεται και θα χρησιμοποιείται ο κανόνας του Lenz.
Καλημέρα Στάθη, καλημέρα Νίκο.




Καλημέρα και πάλι Πάνο.
Ζήτησα ένα παράδειγμα που η μέθοδος να βγάζει λάθος αποτέλεσμα.
Δεν ζήτησα να μου ζητηθεί επίλυση του «κάθε προβλήματος»!!!
Και η απόδειξη του λάθους, είναι ευθύνη του υποστηρίζοντος την θέση αυτή.
Σαν να λέμε αν με κατηγορήσεις ότι σκότωσα κάποιον, το βάρος της απόδειξης της κατηγορίας, πέφτει στους ώμους σου και όχι σε μένα, για να αποδείξω ότι δεν το έκανα!!!
Ας έρθουμε, παρόλα αυτά, στο πλαίσιο του σχήματος, το οποίο θα περιστρέψουμε κατά 90° γύρω από τη πλευρά του ΒΓ, όπως στο σχήμα.
Ας υποθέσουμε ότι το Β και η κάθετη στο πλαίσιο έχουν την ίδια φορά. Τότε υποστηρίζω ότι παίρνοντας έτσι την φορά της κάθετης, έχω ορίσει θετική φορά διαγραφής του πλαισίου την δεξιόστροφη Α→Β→Γ→Δ.
Πάμε στο νόμο της επαγωγής (ας δουλέψουμε με μέσες τιμές…)
Αλλά τότε θα έχουμε και i>0 και η φορά του ρεύματος είναι αυτή του σχήματος από το Α στο Β.
Έστω ένας άλλος, πήρε την κάθετη με φορά προς τα έξω, όπως στο σχήμα
Ορίζοντας πλέον την αριστερόστροφη διαγραφή ως θετική. Παίρνει τον νόμο της επαγωγής και βρίσκει:
Συμπεραίνει λοιπόν ότι θα έχει και i<0 και σημειώνει το ρεύμα να έχει φορά από το Α στο Β!!!
Προφανώς κατέληξε στο ίδιο αποτέλεσμα για την φορά του ρεύματος και προφανώς και οι δύο αν πάρουν την δύναμη Laplace στην πλευρά ΔΑ θα διαπιστώσουν ότι τείνει να αντισταθεί στην περιστροφή του πλαισίου, δηλαδή ισχύει ο κανόνας του Lenz…
Καλημέρα Ανδρέα.
"Διευκρινίζω απλώς ότι το παράδειγμα θα πρέπει να τέτοιο όπου η αλγεβρική λύση για τον προσδιρισμό της φοράς του ρεύματος να δίνει αντίθετο αποτέλεσμα από αυτό που δίνει ο κανόνας του Lenz (αρχή διατήρησης της ενέργειας). Έτσι ελέγχεται η ορθότητα της αλγεβρικής μεθόδου."
Συμφωνώ απολύτως!
Καλημέρα Πάνο. Καταλαβαίνω απόλυτα το σκεπτικό σου(και του Βαγγέλη). Πρακτικά όμως π.χ. στην ανάρτησή μου "Χωρίς προσανατολισμό δε γίνεται", πως θα απαντούσαμε το ερώτημα (γ), αφού η ροή θα είναι και πάλι θετική;
Στάθη, δεν εννοούσα αυτό που έγραψες. Δηλαδή δεν χρωματίζονται οι δυο πλευρές της επιφάνειας επειδή το διάνυσμα Β διαπερνά την επιφάνεια. Εννοούσα ότι, είτε ορίσουμε ένα μοναδιαίο διάνυσμα κάθετο στην επιφάνεια αλλά αυθαίρετης φοράς, είτε βάψουμε, έπειτα απο δική μας αυθαίρετη επιλογή, τη μια πλευρά μπλε και την άλλη κόκκινη, κάνουμε το ίδιο πράγμα. Προσανατολίζουμε την επιφάνεια. Αν δεν την προσανατολίσουμε δεν μπορούμε να ορίσουμε το πρόσημο της ροής με τον ίδιο τρόπο που, αν δεν προσανατολίσουμε τον άξονα των χ, δεν μπορούμε να ορίσουμε το πρόσημο της ταχύτητας ενός σημείου που κινείται στον άξονα.
Νίκο δεν ερμήνευσα ότι έγραψες. Απλά λέω ότι από την στιγμή που έχουμε ροή, η κάθε πλευρά της επιφάνειας έχει "'ονομα" 'η "χρώμα", είναι διακρίσιμη με λίγα λόγια ή προσανατολισμένη.