-
H/o admin έγραψε ένα νέο άρθρο πριν από 1 έτος, 2 μήνες
Ο νέος μας μετρητής!
Όταν ο μετρητής επισκέψεων του δικτύου μας … γεμίζει και επιβάλλει να αγοράσεις χώρο, τότε εγκαθιστάς έναν νέο μετρητή! Στο κάτω αριστερά μέρος τ […] -
H/o admin έγραψε ένα νέο άρθρο πριν από 1 έτος, 2 μήνες
Εικονικές επισκέψεις του πειράματος ΑΤΛΑΣ- CERN
Αγαπητοί συνάδελφοι, σας ενημερώνουμε ότι υπάρχει δυνατότητα εικονικών επισκέψεων στις υπόγειες εγκαταστάσεις του πειράματος ΑΤΛΑΣ στον επιταχυντή LHC το […]-
Ένα μήνυμα από την Τζένη Τσιτοπούλου-Χριστοδουλίδη:
Αγαπητοί συνάδελφοι,
Η τελευταία παρουσίαση του προγράμματος εικονικών επισκέψεων στο πείραμα ATLAS για φέτος, θα μεταδοθεί σε ζωντανή σύνδεση, από τις υπόγειες εγκαταστάσεις του ανιχνευτή αύριο 19 Μαρτίου 2025, 11.00 ώρα Ελλάδας. Θα είναι ξενάγηση αποκλειστικά στον ανιχνευτή, χωρίς εισαγωγική ομιλία.
Μπορείτε να συνδεθείτε στον σύνδεσμο: https://www.youtube.com/live/29yMwB0HrQ4
Δεν χρειάζεται προεγγραφή αυτή την φορά.
Σας περιμένουμε
Τζένη Τσιτοπούλου – Χριστοδουλίδη
-
-
H/o admin έγραψε ένα νέο άρθρο πριν από 1 έτος, 2 μήνες
Σεμιναρια Cern
Αγαπητοί συνάδελφοι, το Τμήμα Εκπαίδευσης του CERN σε συνεργασία με την Οργανωτική Επιτροπή των σεμιναρίων για την Ελλάδα, αποτελούμενη από τους: Εμ […]-
Νέα διεύθυνση φόρμας για τα σεμινάρια στο CERN:
Μια ενημέρωση:
Αγαπητοί συνάδελφοι,
λόγω τεχνικού λάθους, η αρχική φόρμα για τα σεμινάρια στο CERN τον Αύγουστο του 2025 διαγράφηκε. Μπορείτε να υποβάλεται αίτηση στην καινούργια φόρμα, στην διεύθυνση:
https://forms.gle/rh2WcVxdpYXWDbURA
Έχουμε τις 428 αιτήσεις που υποβλήθηκαν έως 23/02/2025 20:04:23. Οι αιτήσεις που έγιναν αργότερα, θα πρέπει να ξαναγίνουν.
Συγνώμη για την ταλαιπωρία
Ευγενία (Τζένη) Τσιτοπούλου – Χριστοδουλίδη
Φυσικός, Υπεύθυνη Science on Stage – Greece
-
-
H/o admin έγραψε ένα νέο άρθρο πριν από 1 έτος, 3 μήνες
Εικόνες από τη συνεστίαση 05-01-2025
Πραγματοποιήθηκε σήμερα η καθιερωμένη πια συνεστίαση του Υλικού Φυσικής χημείας, για την κοπή της πρωτοχρονιάτικης πίτας. Τυχερός ο Χρήστος Αγριόδημας. Μερικές φωτογραφίες από τον Ζίκο Μαστροδήμο:-
Ευχαριστούμε Ζίκο για τις φωτογραφίες που έβγαλες από τη σημερινή μας συνάντηση.
Να πω ότι χάρηκα, για μια ακόμη φορά, την συνάντηση με καλούς, παλιούς αλλά και νέους φίλους. Σε ευχαριστώ Μίλτο για το ταξίδι χάριν της συνάντησης.
Να είμαστε καλά να ανταμώνουμε παιδιά… -
Διονύση, θέλω να σε ευχαριστήσω προσωπικά ξανά και από εδώ.
Το ταξίδι αυτό ήταν και ένα ιδιαίτερο ευχαριστώ από τη μεριά μου σε εσένα για όλα όσα μας διδάσκεις και μας προσφέρεις όλα αυτά τα χρόνια! -
προφανώς χαίρομαι που περάσατε καλά,
αλλά στενοχωρήθηκα,
που δεν ήμουν εκεί,
ήθελα να δω και να γνωρίσω από κοντά νέους συναδέλφους και φίλους,
αλλά ου γαρ το γήρας,
μόνο αν κάποιος περνούσε από ψηλά, Λεωφόρος Θηβών, Ίλιον θα μπορούσε να με πάρει,
αλλά μεγάλο το βάρος της ηλικίας,
όχι αυτό που λέμε έλξη της Γης,
άλλο η θεωρία και άλλο η πράξη,
το γράφει Πειραματικός Φυσικός αυτό… -
στη φωτό βλέπω καμπάνα.
ερώτημα: το τελευταίο χτύπημα καθορίζει και το τελευταίο ποτό
ή τι θέλουν τόσοι φυσικοί (ορθολογισμός) κάτω από ένα εργαλείο μεταφυσικής (ανορθολογισμός)! -
https://i.ibb.co/rfJYfk9/5-1-25.png
Πάντα Γελαστοί και πάντα ενωμένοι (*)
Παντελής Παπαδάκης -Χρήστος Αγριόδημας – Τάσος Αθανασιάδης (επαναπατρισθείς) – Διονύσης Μάργαρης – Αποστόλης Παπάζογλου – Ανδρέας Ριζόπουλος (ο κύριος που πίνει με την καράφα) – Διονύσης Δρακόπουλος – Γιάννης Κυριακόπουλος – Βασίλης Δουκατζής- Ξενοφώντας Στεργιάδης (επαναπατρισθείς επίσης) – Κώστας Ψυλάκος –
Πρόδρομος Κορκίζογλου (γενειοφόρος) – Ζίκος Μαστροδήμος – Γρηγόρης Χατζής –
Βασίλης Μπάφας – Γιώργος Σφυρής – Άρης Αλεβίζος – Μίλτος Καδιλτζόγλου ( ο rookie
της συνάντησης) – Παύλος Αλεξόπουλος – Γιώργος Φασουλόπουλος – Τίνα Νάντσου -Αντώνης Χρονάκης (δεν γνωρίζω ποιος εκτελεί χρέη φωτογράφου)Αφιερωμένο
(*) Της νύχτας οι αμαρτωλοί (φυσικοί)
Και της αυγής οι μόνοι
Θέλουν βαρύ ζεϊμπέκικο
Και νευρικό τιμόνι
Σε τόπους τριγυρίζουνε
Σβησμένους απ’ το χάρτη
Για μια σταγόνα ουρανό
Για μιαν αγάπη σκάρτηΤα νιάτα μας διαδρομή Αθήνα, Σαλονίκη
Μια πόλη χτίσαμε μαζί
Κι ακόμα ζω στο νοίκι
Έπεσα να σ’ ονειρευτώ
Σε ψάθα από φιλύρα
Κι είδα πως βγάζει η νύχτα φως
Και τ’ όστρακο πορφύραΣτα τρελά τους όνειρα δοσμένοι
Πάντα γελαστοί, πάντα γελαστοί
Πάντα γελαστοί και γελασμένοιΝα είστε όλοι καλά
-
Χρόνια πολλά σε όλη την παρέα που φαίνεται να βρίσκεται σε εξαιρετική διάθεση. Αποστόλη αλλάξεις βλέπω τόπο συνάντησης φαντάζομαι ο Βασίλης θα δυσκολεύτηκε περισσότερο αυτή τη φορά να βρει την ταβέρνα μιας και ταξίδεψε μόνος του. Χάρηκα που μίλησα έστω και τηλεφωνικά με αρκετούς από εσάς. Ελπίζω να είναι η ίδια ταβέρνα και στο καλοκαιρινό μας ραντεβού ώστε να να κάνω τον τουρισμό μου σε αυτό το κομμάτι της Αθήνας.
-
Ευχαριστούμε Αποστόλη. Ήταν πολύ ωραία. Δυστυχώς η ευχή μου δεν έπιασε.
-
Χρόνια πολλά σε όλη τη παρέα με υγεία και χαρές!
Χρήστο καλότυχος το 2025!!!
Φτιάξε και ενα τελικό διαγώνισμα να σε τσεκάρουμε…
Ελπίζω το καλοκαιράκι να έρθω και εγώ, προς το παρών δηλώνω Ψαριανός! -
Εύχομαι σε όλους και όλες (η Τίνα πανάξια εκπρόσωπος!) μια Καλή Χρονιά!
Χαίρομαι πολύ να σας βλέπω μαζί και γελαστούς! -
Ευχαριστούμε Αποστόλη για την ωραία εκδήλωση. Έφυγα χορτάτος από τις συζητήσεις με τους εξαίρετους συνάδελφους του Υλικού. Ιδιαίτερη χαρά η συνάντηση με τους, ως τώρα, διαδικτυακούς φίλους Παντελή Παπαδάκη, Βασίλη Μπάφα, Μίλτο Καλδιτζόγλου. Με τον Διονύση Δρακόπουλο μιλήσαμε για τα κοινά προβλήματα στην διδασκαλία της Φυσικής, αυτός στα φροντιστήρια εγώ στο σχολείο. Θοδωρή ήθελα πολύ να συναντηθούμε, αλλά θα υπάρξει και επόμενη φορά… Βαγγέλη πιστεύω κάποια στιγμή να υπάρξει επαφή.
Πήρα και δουλειά για το σπίτι το βιβλίο του Παναγιώτη Κουμαρά “Προπατορικά αμαρτήματα βιβλίων Φυσικής”
Ευχαριστώ το Γιώργο Φασουλόπουλο για την προσφορά και φυσικά το δάσκαλο Κουμαρά. https://support.content.office.net/en-us/media/eee98882-0a5b-4e91-9d5d-5fca1c3d5905.gif -
διέκρινα τον Διονύση Μάργαρη, τον Γιάννη Κυριακόπουλο, τον συνομήλικο Παντελή Παπαδάκη, τον Γιώργο Φασουλόπουλο, τον Βασίλη Δουκατζή, τον Πρόδρομο Κορκίζογλου, τον Βασίλη Μπάφα, τον Θοδωρή Παπασγουρίδη, την Τίνα Νάντσου, τον Άρη Αλεβίζο, τον Ξενοφώντα Στεργιάδη, τον Αντώνη Χρονάκη
πιθανολόγησα τον Χρήστο Αγριόδημα, τον Μίλτο Καλδιτζόγλου, τον Κώστα Ψυλάκο, τον Αποστόλη Παπάζογλου
συγγνώμην αν κάποιους δεν αναγνώρισα
μακάρι Ανδρέα Ριζόπουλε, αν κάπου Ίλιον ή Περιστέρι, διότι ήδη το Alzheimer “με τραβάει απ΄ το μανίκι” και δυσκολεύομαι στην οδήγηση… -
Να ευχαριστήσω τον Αποστόλη για την άρτια διοργάνωση. Περάσαμε όμορφα. Αντε και στην καλοκαιρινή συναντηση να ειμαστε περισσότεροι.
-
-
H/o admin έγραψε ένα νέο άρθρο πριν από 1 έτος, 3 μήνες
Χρόνια πολλά και ευτυχισμένο το 2025
Το ylikonet.gr εύχεται σε όλους καλή χρονιά και ευτυχισμένο το 2025. Ευχές για τον καινούργιο χρόνο, που ελπίζουμε να φέρει περισσότερη […]-
Καλή Χρονιά σε όλο τον Κόσμο, υγεία, χαρά, αγάπη, ευτυχία, ευημερία, δημιουργικότητα, Ειρήνη.
Χρονιά πολλά στους εορτάζοντες του δικτύου και ιδιαίτερα στον Βασίλη Δουκατζή, Βασίλη Παππά, Βασίλη Μπάφα, Βασίλη Γκάγκα,Βασίλη Καράβολα, Βασίλη Ζοπόγλου. -
Χρόνια Πολλά σε όλους!!
Ευτυχισμένο το νέο έτος, με υγεία, χαρά και ειρήνη σε όλο τον κόσμο!
Ιδιαίτερες ευχές σε όσους έχουν την ονομαστική τους εορτή σήμερα, αλλά και επιτυχίες στους μαθητές που παρακολουθούν και συμμετέχουν στο δίκτυο! -
Χρόνια πολλά, ας είναι ειρηνικό και ευτυχισμμένο με υγεία το νέο έτος.
Χρόνια πολλά και στους εορτάζοντες, ιδιαίτερες ευχές στον Βασίλη Δουκατζή και στον Βασίλη Μπάφα. -
Χρόνια Πολλά σε όλους.
-
Καλή χρονιά και χρόνια πολλά σε όλους!!! Ιδιαίτερες ευχές στον Βασίλη Δουκατζή ,Βασίλη Μπάφα ,σε κάθε Βασιλική και Βασίλη…
-
Χρόνια πολλά!!!
Ευχές για ένα καλό και ειρηνικό νέο έτος 2025, σε όλους!
Ιδιαίτερες ευχές σε όσους γιορτάζουν σήμερα και την ονομαστική τους εορτή:
Στον Βασίλη Δουκατζη, Βασίλη Παππά, Βασίλη Μπάφα, Βασίλη Γκάγκα, Βασίλη Ζοπόγλου, Βασίλη Καράβολα και σε κάθε Βασιλική και Βασίλη.
Να είσαστε όλοι γεροί, δυνατοί και ευτυχισμένοι! -
Χρόνια πολλά με υγεία, ειρήνη και χαρά! Χρόνια πολλά Βασίλη Δουκατζή, Βασίλη Παππά, Βασίλη Μπάφα, Βασίλη Γκάγκα, Βασίλη Ζοπόγλου, Βασίλη Καράβολα!
-
Χρονια πολλα και καλα σε ολους
-
Μακάρι οι ευχές ,
να γίνουν φλόγες άσβεστες
των ανθρώπων αγάπης κι ας θυμόμαστε
τον ισχυρισμό του Φαραντέϋ …
“η φλόγα του κεριού μας επιτρέπει να ρίξουμε μια ματιά
σε όσα συμβαίνουν στο σύμπαν”!
Χρόνια πολλά για την ονομαστική εορτή τους, στης νησίδας τους εορτάζοντες. -
Χρόνια πολλά σε όλους! Πολύχρονοι Βασίλη Δουκατζή, Βασίλη Μπάφα, Βασίλη Παππά, Βασίλη Καράβολα.
-
Εύχομαι το 2025 να είναι ένας χρόνος με υγεία για όλους μας, και ειρήνη για τον ταραγμένο κόσμο μας!
Χρόνια πολλά στους εορτάζοντεςσες.
Ιδιαίτερες ευχές στους Βασίλη Δούκατζη, Βασίλη Παππά, Βασίλη Μπάφα. -
Καλή χρονιά και χρόνια πολλά σε όλους!! Χρόνια πολλά και για την ονομαστική εορτή τους σε όλους τους εορτάζοντες του δικτύου!
-
Χρόνια πολλά!! Καλή χρονιά!!
Με υγεία χαρά και αισιοδοξία!!
Ευχές στους εορτάζοντες και στις εορτάζουσες!
Ιδιαίτερες ευχές στο Βασίλη Δουκατζή, στο Βασίλη Μπάφα και στο Βασίλη Παππά
-
Χρόνια πολλά και καλή χρονιά σε όλους με υγεία, αγάπη και ειρήνη!
Ιδιαίτερες ευχές στους εορτάζοντες! -
Καλή Χρονιά σε όλους μας με Υγεία- Αγάπη- Ευτυχία.
-
Καλή χρονιά σε όλους
και Χρόνια Πολλά σε κάθε Βασίλη του δικτύου
(δεν γράφω στους Βασίληδες,
διότι ένας Βαγγέλης ισχυρίζεται ότι τα κύρια ονόματα δεν έχουν πληθυντικό, έκαστος με την ιδιαιτερότητά του…) -
Καλή χρονιά με υγεία. Χρόνια πολλά και καλά σε όλους ιδιαίτερα στους εορτάζοντες!!!
-
Καλή χρονιά .Χρόνια πολλά σε όσους γιορτάζουν και ιδιαίτερα στον Βασίλη Δουκατζή.
-
Καλή χρονιά και χρόνια πολλά σε όλους – ειδικοτερα στον Man On The Silver Mountain, Βασίλη Δουκατζή
-
Καλή χρονιά σε όλους με υγεία.
Χρόνια πολλά στον Βασίλη Δουκατζή και στον Βασίλη Μπάφα. -
https://i.ibb.co/bKC3GYn/happy-new-year-2025.png
Καλή χρονιά με Υγεία και περισσότερα Χαμόγελα .
Χρόνια πολλά και καλά στους εορτάζοντες της ημέρας !
Βασίλη Δουκατζή και Βασίλη Μπάφα εύχομαι ό,τι το καλύτερο.
Θέλω να πιστεύω ότι σύντομα θα τα πούμε και από κοντά!
-
Ευχαριστώ πολύ για τις ευχές σας! Έυχομαι σε κάθε έναν σας/μια σας, να έχετε καλή χρονιά με υγεία, ευτυχία και να είστε δημιουργικοί!
-
Χρόνια πολλά!!! Καλή χρονιά με υγεία και ευτυχία!!!
Ευχές για ένα καλό και ειρηνικό νέο έτος 2025, σε όλους!
Ιδιαίτερες ευχές σε όσους γιορτάζουν σήμερα και την ονομαστική τους εορτή:
Στον Βασίλη Δουκατζη και Βασίλη Μπάφα,
Να είσαστε όλοι γεροί, δυνατοί και ευτυχισμένοι! -
Χρόνια Πολλά
και
Καλή Χρονιά
σε όλους
Χρόνια Πολλά
στους εορτάζοντες / εορτάζουσες την ονομαστική τους γιορτή
Ιδιαίτερα
Χρόνια Πολλά
στον
Βασίλη Δουκατζή -
Είθε το 2025 να φέρει Ειρήνη σε όλο τον κόσμο και μια πιο δίκαιη κατανομή των αγαθών…
Εύχομαι από καρδιάς Υγεία και Αγάπη σε όλους τους “υλικονετιστές”/
Χρόνια Πολλά
στον Βασίλη Δουκατζή
στον Βασίλη Παππά
στον Βασίλη Μπάφα
στον Βασίλη Γκάγκα
και σε κάθε εορτάζοντα και επορτάζουσα της νησίδας μας . -
Χρόνια πολλά, καλή χρονιά να έχουμε. Πολύχρονοι οι εορτάζοντες. Χρόνια πολλά και από εδώ Βασίλη Δουκατζή.
-
Χρόνια Πολλά στους εορτάζοντες. Ιδαίτερες ευχές στο Βασίλη Δουκατζή, τον Βασίλειο Μπάφα και τον Βασίλειο Παπά. Θα χαρώ να τους τα πω και εκ του συστάδην στις 5.
-
Χρόνια πολλά στους σημερινούς εορτάζοντες!!!
-
Καλή Χρονιά στα μέλη του ylikonet!
Χρόνια Πολλά στον κ. Βασίλη Δουκατζή και τους εορτάζοντες του site! -
Χρόνια πολλά και χρονιά με υγεία σε όλους!
Ευχαριστώ όλους τους φίλους που μου ευχήθηκαν για την ονομαστική μου εορτή!
Να ευχηθώ και γω με τη σειρά μου στους συνονόματους μου
Βασίλη Μπάφα
Βασίλη Παππά
Βασίλη Γκάγκα
Χρόνια πολλά και καλή χρονιά!!! -
Χρόνια πολλά -καλή χρονιά με υγεία και ευημερία για το νέο έτος. Χρόνια πολλά σε όσους γιόρταζαν εχθές , τα καλύτερα τους εύχομαι.
-
Καλημέρα σε όλους.
Καλή χρονιά να έχουμε.
Εύχομαι υγεία και ειρήνη στον κόσμο.
Σας ευχαριστώ πολύ για τις ευχές.
Συνονόματοι χρόνια πολλά και από μένα.
Ελπίζω ότι θα δω πολλούς από κοντά. -
Αντεύχομαι σε όλους τους φίλους. Υπομονή 6 μήνες ακόμη (τελευταία εκπαιδευτικά μίλια) , μετά σε κάθε πρόσκληση θα είμαι παρών.
-
Καλή χρονιά σε όλους του δικτύου και ιδιαίτερα στους εορτάζοντες χρόνια πολλά.
-
Χρονια πολλα καλη χρονια με υγεια τυχη και χαμογελα σε ολους.Ιδαιτερες ευχες στο Βασιλη Δουκατζη για την ονομαστικη του γιορτη.
-
Χρόνια πολλά με υγεία σε όλους και Ειρήνη στον κόσμο.
-
Εύχομαι υγεία σε όλους τους “ταξιδιώτες” του ylikonet.
Ας έχουμε μία χρονιά χωρίς εντάσεις, τοξικότητες, φυσικές καταστροφές, χαμένες ανθρώπινες ζωές από πολέμους.
Καλή τύχη και κουράγιο σε όσα παιδιά δοκιμαστούν στις εξετάσεις του 2025.
-
Χρόνια Πολλά και Καλή Χρονιά σε όλους με Υγεία!
-
Χρόνια πολλά σε όλους τους σημερινούς εορτάζοντες.
Ιδιαίτερες ευχές στο Γιάννη Κυριακόπουλο, Γιάννη Φιορεντίνο. Γιάννη Αγγελόπουλο, Γιάννη Σπανό, Γιάννη Πανανά, αλλά και στον Πρόδρομο Κορκίζογλου, στο τέλος της λίστας, αλλά όχι έσχατο!!! -
Χρόνια πολλά σε όσους γιορτάζουν. Πολύχρονοι Γιάννη Κυριακόπουλε, Πρόδρομε Κορκίζογλου, Γιάννη Φιορεντίνε και Γιάννη Αγγελόπουλε.
-
Χρόνια πολλά στους εορτάζοντες της νησίδας.
Ιδιαίτερες οι ευχές μου για τους Κυρ και Πρόδρομο -
Χρόνια πολλά στους Γιάννη Κυριακόπουλο ,Πρόδρομο και σε όλους τους εορτάζοντες!!!
-
Χρόνια πολλά στους φίλους που γιορτάζουν. Ιδιαίτερες ευχές στους στυλοβάτες του δικτύου μας Γιάννη Κυριακόπουλο και Πρόδρομο Κορκίζογλου, αλλά και στους Γιάννη Φιορεντίνο, Γιάννη Αγγελόπουλο, Γιάννη Σπανό και Γιάννη Πανανά!
-
Χρόνια πολλά στους σημερινούς εορτάζοντες.
Ιδιαίτερες ευχές στους Γιάννη Κυριακόπουλο, Γιάννη Φιορεντίνο.
Επίσης και στον ένα (σαν το …χρώμα) και μοναδικό (σαν τη βαρυτική μοναδικότητα) Πρόδρομο! -
Χρόνια Πολλά στους αρκετούς Γιάννηδες και στον έναν Πρόδρομο του δικτύου
(και η κακία μου: 45 Γιάννηδες ενός κοκκόρου γνώση
και η καλοσύνη μου: σπίτι χωρίς Γιάννη προκοπή δεν κάνει) -
Χρόνια πολλά σε όλους τους σημερινούς εορτάζοντες.
Ιδιαίτερες ευχές στο Γιάννη Κυριακόπουλο, Γιάννη Φιορεντίνο. Γιάννη Αγγελόπουλο, αλλά βέβαια και στον Πρόδρομο Κορκίζογλου. -
Χρόνια Πολλά και ευτυχισμένα στους εορτάζοντες και ιδιαίτερα στον Γιαννη τον Κυριακόπουλο.
-
Χρόνια πολλά στους εορτάζοντες και στις εορτάζουσες!
Ιδιαίτερες ευχές στο Γιάννη Κυριακόπουλο, Γιάννη Φιορεντίνο. Γιάννη Αγγελόπουλο
και στον Πρόδρομο Κορκίζογλου.
-
Χρόνια πολλά στους Γιάννηδες του δικτύου. Ιδιαίτερες ευχές στον Γιάννη Κυρισκόπουλο και στον Γιάννη Φιορεντίνο.
-
Ευχαριστώ φίλοι μου για τις ευχές.
Χρόνια Πολλά στους Γιάννηδες (Μήτση, Φιορεντίνο, Ευαγγελόπουλο, Σπανό, Πανανά) και στον Πρόδρομο. -
Χρόνια Πολλά στους Γιάννηδες του δικτύου και στον Πρόδρομο.
Ιδιαίτερες ευχές στους
Γιάννη Κυριακόπουλο
Γιάννη Μήτση,
Γιάννη Φιορεντίνο,
Γιάννη Σπανό, και
Γιάννη Πανανά.
Και μερικές Γιαννοπαροιμίες!
https://i.postimg.cc/28mkzLTQ/John.png -
Χρόνια Πολλά και ευτυχισμένα στον Πρόδρομο!!!!!
-
Χρόνια πολλά στον Γιάννη Κυρισκόπουλο, στον Πρόδρομο Κορκίζογλου και σε όλους τους εορταζοντες !
-
Δυο ακρογωνιαίοι λίθοι του Υλικού γιορτάζουν. Γιάννης Κυριακόπουλος, Πρόδρομος Κορκίζογλου. Θερμές ευχές και ελπίζω να έχουν πάντα τη διάθεση και την έμπνευση, που μας έχουν συνηθίσει.
Ευχές και σε κάθε Γιάννη του Υλικού. Ιδιαίτερες ευχές στο Γιάννη Πανανά. -
Χρόνια πολλά στον Κυρ τον Πρόδρομο και τους υπόλοιπους /υπόλοιπες που γιορτάζουν.
-
Χρόνια πολλά Πρόδρομε, ευτυχισμένο το 2025, με υγεία.
-
Ευχαριστώ παιδιά.
-
Χρόνια Πολλά και ΚΑΛΑ
στους φίλους
Γιάννη ΚΥΡιακόπουλο
Πρόδρομο Κορκίζογλου
Γιάννη Φιορεντίνο
Γιάννη Μήτση
σε όλους τους εορτάζοντες του ΥΦΧ διότι
και … “δίκτυο χωρίς Γιάννη προκοπή δεν κάνει” -
Καλησπέρα σε όλους και όλες!
Ευχαριστώ πολύ όλους τους φίλους για τις ευχές τους!
Σε όλα τα μέλη του δικτύου, εύχομαι ένα χαρούμενο και ευτυχισμένο 2025 με υγεία και δύναμη!
Επίσης στους:
Γιάννη Κυριακόπουλο,
Γιάννη Αγγελόπουλο,
Γιάννη Μπατσαούρα,
Γιάννη Μήτση και
Πρόδρομα Κορκίζογλου,
ιδιαίτερες ευχές για την ονομαστική τους εορτή! -
Χρόνια πολλά στους Γιάννηδες και τον Πρόδρομο!!!
-
Ευχαριστώ πολύ για τις ευχές. Χρόνια πολλά και από εμένα σε όλους τους εορτάζοντες.
-
Χρόνια πολλά σε όλους τους εορτάζοντες του δικτύου!
-
Χρόνια πολλά στους εορτάζοντες του δικτύου.Ευχαριστώ για τις ευχές σας ,οτι καλύτερο για τη φετινή χρονιά σε όλους!
-
Χρόνια πολλά στους Γιάννηδες του δικτύου και στον Πρόδρομο. Καλή χρονιά σε όλους.
-
Χρόνια πολλά στους Γιάννηδες,
ιδιαίτερα στον Γιάννη Κυριακόπουλο και στον Γιάννη Πανανά.
-
Ευχαριστώ για τις ευχές. Χρόνια πολλά και καλά στους άλλους Γιάννηδες και στον Πρόδρομο. Ιδιαίτερες ευχές στο Διονύση για τη νέα χρονιά.
-
Πολύ καθυστερημένα… Χρόνια πολλά και καλά σε όλους τους Γιάννηδες του δικτύου.
Ιδιαίτερες ευχές στον Γιάννη Κυριακόπουλο και στον Πρόδρομο.
Όλοι να είναι γεροί και δημιουργικοί!! -
Χρόνια πολλά στους σημερινούς εορτάζοντες.
Ιδιαίτερες ευχές στον Αντώνη Χρονάκη και στον Αντώνη Τρίμη. -
Χρόνια πολλά στον Αντώνη Χρονάκη με υγεία,
και σ’όλους τους εορτάζοντες της νησίδας. -
Χρόνια πολλά στους φίλους που γορτάζουν και ιδιαίτερα στον Αντώνη Χρονάκη!
-
Χρόνια πολλά στους φίλους που γορτάζουν και ιδιαίτερα στον Αντώνη Χρονάκη!
-
Γιάννη, ωραία τα άσματα!
Από το 2ο πήγα στην Κάρμεν στην Αθήνα.“να πεθάνω ήταν κρίμα κι έκανα το ψευτοθύμα”
Ζωντάνεψε ο Αντώνης ο Βαρκάρης… -
Χρόνια πολλά στον αγαπητό Αντώνη Χρονάκη!
-
Χρόνια πολλά σε όλους τους εορτάζοντες.
Ιδιαίτερες ευχές στον Αντώνη Χρονάκη. -
Χρόνια Πολλά σε όλους εορτάζοντες. Πολύ ιδιαίτερες ευχές στον “απλό” Αντώνη Χρονάκη,
-
Χρόνια πολλά για τη γιορτή των
Αντώνη Χρονάκια , Αντώνη Παλόγο,
Αντώνη Τρίμη . -
Διονύση
Παντελή
Αποστόλη
Γιάννη
Βασίλη
Παναγιώτη
Χρήστο
Άρη
και Πρόδρομε
σας ευχαριστώ πολύ για τις ευχές σας.
Εύχομαι ευδαιμονία, υγεία και τύχη!!! -
Χρόνια πολλά σε όλους τους εορτάζοντες.
Ιδιαίτερες ευχές (με λίγη καθυστέρηση) στον Αντώνη Χρονάκη. -
Χρόνια πολλά σε κάθε Αθανασία και κάθε Αθανάσιο που γιορτάζει σήμερα.
Ιδιαίτερες ευχές στους Αθανάσιο Χριστόφιλόπουλο, Αθανάσιο Κρομμύδα, Αθανάσιο Παπαδημητρίου, Θανάση Κατσή και Θανάση Βλάχο. -
Χρόνια πολλά στους φίλους που γιορτάζουν και ιδιαίτερα στους Αθανάσιο Χριστόφιλόπουλο, Θανάση Κατσή, Αθανάσιο Παπαδημητρίου, Αθανάσιο Κρομμύδα, και Θανάση Βλάχο.
-
Χρόνια πολλά και υγιεινά
στους εορτάζοντες του δικτύου -
Χρόνια πολλά στις Αθανασίες και στους Θανάσηδες!
-
Χρόνια πολλά σε κάθε Γρηγόρη που γιορτάζει σήμερα.
Ιδιαίτερες ευχές στους Γρηγόρη Χατζή, Γρηγόρη Μαλάμη, Γρηγόρη Καρίμαλη και Γρηγόρη Μπουλούμπαση. -
Χρόνια πολλά στους φίλους που γιορτάζουν και ιδιαίτερα στους: Γρηγόρη Χατζή, Γρηγόρη Μαλάμη, Γρηγόρη Καρίμαλη και Γρηγόρη Μπουλούμπαση.
-
Χρόνια πολλά σε όσους γιορτάζουν!
-
Χρόνια πολλά σε όσους γιορτάζουν.
Ιδιαίτερα στους Γρηγόρη Μαλάμη και Γρηγόρη Μπουλούμπαση.
-
Χρόνια πολλά στους εορτάζοντες. Ιδιαίτερες ευχές στο Γρηγόρη Μπουλούμπαση.
-
Χρόνια πολλά για κάθε Γρηγόρη!
-
Χρόνια Πολλά στους Γρηγόρη Χατζή, Γρηγόρη Μπουλούμπαση. Γρηγόρη Μαλάμη, Γρηγόρη Καρίμαλη.
Γι αυτούς:
Βρε Γρηγόρη(Δεν είναι η καλύτερη επιλογή αλλά το όνομα δεν διαθέτει πολλά άσματα. Στις Κατερίνες και τους Γιάννηδες είναι ευκολότερη η ανεύρεση ασμάτων.).
-
Σας ευχαριστώ για τις ευχές.
Να είστε όλοι καλά. -
Γιάννη ευχαριστώ για την αφιέρωση. Δεν το γνώριζα το τραγούδι.
-
Χρόνια πολλά στον Ξενοφώντα Στεργιάδη με υγεία και δημιουργικότητα!
-
Χρόνια Πολλά Ξενοφώντα.
Να είσαι πάντα γερός, δυνατός και να χαίρεσαι την οικογένειά σου. -
Και εγώ με τη σειρά μου ευχαριστώ για τις ευχές. Γιάννη, ούτε εγώ το γνώριζα το τραγούδι.
-
Χρόνια πολλά στον σημερινό εορτάζοντα Ξενοφώντα Στεργιάδη
αλλά και στους χθεσινούς Γρηγόρηδες
Γρηγόρη Χατζή
Γρηγόρη Μπουλούμπαση
Γρηγόρη Μαλάμη
Γρηγόρη Καρίμαλη. -
Αποστόλη, Διονύση και Βασίλη ευχαριστώ για τις ευχές , αντεύχομαι για υγεία , δημιουργία και οικογενειακή ευτυχία σ΄εσάς και σ΄όλους τους εορτάζοντες.
-
Χρόνια πολλά σε όλους τους εορτάζοντες του ylikonet.
Ξενοφώντα Στεργιάδη να είσαι γερός με υγεία, να χαίρεσαι την οικογένειά σου. Καλή σταδιοδρομία στα παιδιά. -
Ιδιαίτερα στον Ξενοφώντα Στεργιάδη να ευχηθώ να χαίρεται κάθε στιγμή με όσους αγαπά.
-
Άρη και Κώστα σας ευχαριστώ, αντεύχομαι για υγεία και κάθε καλό.
-
Χρόνια Πολλά φίλε Ξενοφών
(αιτούμαι κατανόησης
ως άρτι απολυθείς από το νοσοκομείο της Ζαχάρως,
διότι ου γαρ το γηρας,
αλλά και διότι το Alzheimer που μας ακολουθεί,
όπως θα ΄λεγε ο Νιόνιος της νιότης μας μερικών…) -
Βαγγέλη σ΄ευχαριστώ, να είσαι πάντα γερός και μαχόμενος.Άσε το “γηράσκω” , το σωστό ρήμα είναι “ωριμάζω”, αυτό ταιριάζει στον “Νέστορα” του ylikonet.
-
Πριν το γύρισμα της μέρας,
για τον Ξενοφώντα εύχομαι χρόνια πολλά με υγεία. -
Χρόνια πολλά στον Χαράλαμπο Κασωτάκη και σε κάθε Χαράλαμπο ή Μπάμπη που γιορτάζει σήμερα.
-
Χρόνια πολλά σε όσους γιόρταζαν,
ιδιαίτερα στον Χαράλαμπο Κασωτάκη.
-
Χρόνια πολλά για Χαράλαμπο.
Ιδιαίτερες ευχές στον Χαράλαμπο Κασωτάκη! -
Χρόνια πολλά σε όλες τις γυναίκες, αφού η σημερινή ημέρα είναι αφιερωμένη σε αυτές.
Χρόνια πολλά επίσης σε κάθε Θεοδώρα και Θοδωρή που γιορτάζει σήμερα.
Ιδιαίτερες ευχές στον Θοδωρή Παπασγουρίδη, Θοδωρή Βαχλιώτη και Θοδωρή Πιερράτο. -
Χρόνια Πολλά στις γυναίκες του δικτύου και σε κάθε γυναίκα!
Χρόνια Πολλά σε κάθε Θεοδώρα και κάθε Θοδωρή, με ιδιαίτερες ευχές στον Θοδωρή Παπασγουρίδη. -
Χρόνια πολλά στους εορτάζοντες
και “διπλά”εορτάζουσες , του δικτύου .
Ιδιαίτερες οι ευχές μου για το Θοδωρή Παπασγουρίδη -
Χρόνια πολλά σε αυτούς που γιορτάζουν. Πολύχρονος Θοδωρή Παπασγουρίδη.
-
Χρόνια πολλά στους φίλους που γιορτάζουν σήμερα και ιδιαίτερα στους Θοδωρή Παπασγουρίδη, Θοδωρή Βαχλιώτη και Θοδωρή Πιερράτο. Μια επιπλέον ευχή για τον Παπασγουρίδη: να αξιωθεί να δει τους Δολομίτες από κοντά 🙂
-
Χρόνια πολλά στους εορτάζοντες!
Ιδιαίτερες ευχές στο φίλο Θοδωρή Παπασγουριδη! -
Χρόνια πολλά σε όλους τους εορτάζοντες!!! Χρόνια πολλά Θοδωρή Παπασγουρίδη!!!
-
Χρόνια πολλά και με υγεία στους εορτάζοντες.
Ιδιαίτερα στον Θοδωρή Παπασγουρίδη! -
Χρόνια πολλά σε όλους τους εορτάζοντες. Πολλές ιδιαίτερες ευχές στον Θοδωρή Παπασγουρίδη.
-
Χρόνια πολλά Θοδωρή. Ότι επιθυμείς.
-
Χρόνια πολλά σε όσους γιορτάζουν, ιδιαίτερα στον Θοδωρή Παπασγουρίδη.
-
Χρόνια πολλά σε όλους όσες & όσους γιορτάζουν, extra Watt χαράς στον Θοδωρή Παπασγουρίδη & Θοδωρή Βαχλιώτη.
-
Χρόνια πολλά και καλά σε όσους και όσες γιορτάζουν σήμερα!
Ιδιαίτερες ευχές στο Θοδωρή Παπασγουρίδη
-
Χρόνια πολλά στους εορτάζοντες σήμερα.
Χρόνια πολλά, με υγεία, στον Θοδωρή Παπασγουρίδη. -
Χρόνια πολλά σε όσους και όσες γιορτάζουν σήμερα!
Ιδιαίτερες ευχές στο Θοδωρή Παπασγουρίδη. Καλή επιτυχία στην κόρη του που δίνει φέτος πανελλήνιες. -
Καλησπέρα και χρόνια πολλά στους σημερινούς εορτάζοντες!
Ευχές στους
Θοδωρή Παπασγουρίδη και
Θοδωρή Βαχλιώτη. -
Σας ευχαριστώ όλους και ανταποδίδω τις ειλικρινείς ευχές μου σε εσάς
και τα αγαπημένα σας πρόσωπα…Η αλυσίδα φιλίας και εκτίμησης που δημιουργήθηκε μέσω του ylikonet περικυκλώνει όλα τα μέρη της Ελλάδας, Κρήτη-Σαντορίνη-Ψαρά-Θεσσαλία-Πελοπόννησο, δίνοντας
σε όλους μας δύναμη και κουράγιο να προσπαθούμε πρώτα να γίνουμε καλύτεροι
δάσκαλοι και μετά καλύτεροι άνθρωποι, αφού η ανιδιοτελής προσφορά είναι αγαθό
προς εξαφάνιση… Να είστε όλοι καλάΕυχές στους συνονόματους και φόρος τιμής στις 130 εργάτριες που έκαψαν ζωντανές στις 8 Μαρτίου του 1857 σε εργοστάσιο υφασμάτων της Νέας Υόρκης, σε αντίποινα για τη μεγάλη απεργία και την κατάληψη του εργοστασίου
-
Χρόνια πολλά σε όλους, λόγω της ημέρας, αλλά και χρόνια πολλά στους σημερινούς εορτάζοντες.
Ιδιαίτερες ευχές στον Βαγγέλη Κουντούρη και στον Βαγγέλη Μαρούση. -
Χρόνια πολλά σε όλους
Ευχές στο συνομήλικο Βαγγέλη Κουντούρη -
Χρόνια πολλά στους φίλους που γιορτάζουν. Ιδιαίτερες ευχές για γρήγορη ανάρρωση στο Βαγγέλη Κουντούρη!
-
Χρόνια πολλά σε όσους γιορτάζουν, ιδιαίτερα στους Βαγγέλη Κουντούρη και Βαγγέλη Μαρούση.
στον δάσκαλο περαστικά.
-
Χρόνια Πολλά στον εκ κλασικού ορμώμενο Βαγγέλη Κουντούρη.
-
Χρόνια πολλά στους φίλους που γιορτάζουν.
Ιδιαίτερες ευχές για γρήγορη ανάρρωση στο φίλο
Βαγγέλη Κουντούρη! -
Καλημέρα και Χρόνια Πολλά σε όλους, λόγω της ημέρας, αλλά και σε όσους/όσες έχουν την ονομαστική τους εορτή!
Ιδιαίτερες ευχές στον Βαγγέλη Κουντούρη.
-
Χρόνια πολλά σε όλους.
Ιδιαίτερες ευχές στον Βαγγέλη Κουντούρη. -
ευχαριστώ όλους όσους μου ευχήθηκαν
(παραμένω σε “κατ΄ οίκον” περιορισμό με οξυγόνο, με, ευτυχώς, αρκετή βελτίωση υγείας)
να είστε όλοι καλά -
Χρονια πολλά και καλά στους εορτάζοντες και ιδιαίτερα στον Βαγγέλη Κουντούρη .
-
Καλημέρα και χρόνια πολλά σε όλους.
Ιδιαίτερες ευχές στον Βαγγέλη Κουντούρη. -
Καλό Πάσχα και Χρόνια Πολλά και Ευτυχισμένα με υγεία για όλους!!!!!!!
-
Χρόνια πολλά σε όλους τους φίλους του δικτύου μας με υγεία και αλληλεγγύη!
-
Καλημέρα και χρόνια πολλά σε όλους!!!!
Καλά να περάσετε τη σημερινή μέρα! -
Χρόνια πολλά, καλό Πάσχα σε όλους!
-
Χρόνια πολλά
με αγάπη. -
Χρόνια Πολλά.
-
Χρόνια πολλά με υγεία και φώτιση!
-
Να μην ξεχάσουμε τα χρόνια πολλά και σε όσους γιορτάζουν σήμερα την ονομαστική τους εορτή.
Ιδιαίτερες ευχές στον Τάσο Αθανασιάδη, Αναστάσιο Νέζη, Τάσο Τζανόπουλο και Τάσο Ζουπίδη. -
Καλό Πάσχα και Χρόνια Πολλά.
Με υγεία, προσωπική και οικογενειακή ευτυχία, -
Χριστός Ανέστη!
Χρόνια πολλά με υγεία για όλους!
Ευχές στους εορτάζοντες και ειδικά στον Τάσο Αθανασιάδη -
Χρόνια πολλά με υγεία σε όλους!!!
-
Χρόνια πολλά με υγεία και χαρές σε όλους!
Ιδιαιτερες ευχές στους εορτάζοντες και το φίλο Τάσο Αθανασιάδη! -
Χριστός Ανέστη!
Χρόνια πολλά με υγεία!!
Ευχές στους εορτάζοντες και ειδικά στους
Τάσο Αθανασιάδη
Τάσο Νέζη
Τάσο Τζανόπουλο. -
Χρόνια πολλά σε όλους !
-
Χρόνια πολλά σε όλους!
Υγεία και ειρήνη στον κόσμο! -
Ευχές.!
-
Χρόνια Πολλά στους σημερινούς εορτάζοντες Γεωργίες και Γιώργηδες!
Ιδιαίτερες ευχές στους Γιώργο Φασουλόπουλο, Γιώργο Σφυρή, Γιώργο Χριστόπουλο, Γιώργο Κόμη, Γεώργιο Βουμβάκη, Γιώργο Έψιμο, Γιώργο Κομελίδη, Γιώργο Παναγιωτακόπουλο, Γιώργο Παπαδημητρίου και Γιώργο Μπανιά.
Χρόνια πολλά παιδιά! -
Καλημέρα και χρόνια πολλά στους Γιώργηδες!
Ευχές στους
Γιώργο Φασουλόπουλο,
Γιώργο Σφυρή,
Γιώργο Χριστόπουλο,
Γιώργο Κόμη,
Γεώργο Βουμβάκη,
Γιώργο Παναγιωτακόπουλο
Γιώργο Μαρνέρη -
Χρόνια πολλά στους φίλους που γιορτάζουν!
Ιδαίτερες ευχές σε: Φασουλόπουλο, Σφυρή, Κόμη, Χριστόπουλο, Έψιμο, Βουμβάκη, Κομελίδη, Παναγιωτακόπουλο, Παπαδημητρίου, Μπανιά και Μαρνέρη με υγεία και χαρά! -
Για την ονομαστική εορτή τους
χρόνια πολλά στο Γιώργο Φασουλόπουλο, Γιώργο Σφυρή , Γιώργο Παναγιωτακόπουλο και σ’όλους τους Γιώργηδες και Γεωργίες της νησίδας. -
Ευχές σε όσους γιορτάζουν.
Ιδιαίτερα στους Γιώργο Φασουλόπουλο , Γιώργο Κόμη , Γεώργιο Βουμβάκη , Γιώργο Μπανιά και Γιώργο Παναγιωτακόπουλο.
-
Χρόνια πολλά και καλά σε όλους τους εορτάζοντες!! Υγεία και ευτυχία σε όλους.
-
Χρόνια πολλά σε όσους γιορτάζουν. Πολλές ευχές στους Γιώργο Φασουλόπουλο, Γιώργο Χριστόπουλο, Γιώργο Κόμη, Γιώργο Βουμβάκη και Γιώργο Σφυρή.
-
Χρόνια πολλά σε όλους τους εορτάζοντες (-ζουσες) σήμερα
-
Χρόνια πολλά σε όλους που γιορτάζουν σήμερα. Ιδιαίτερες ευχές στους Γιώργο Φασουλόπουλο, Γιώργο Χριστόπουλο, Γιώργο Κόμη, Γιώργο Βουμβάκη και Γιώργο Σφυρή.
-
Χρόνια πολλά με υγεία στους εορτάζοντες και ιδιαίτερες ευχές στο Γιώργο Φασουλόπουλο!
-
Χρόνια πολλά σε όλους και λίγα παραπάνω kJ ευχών στον ξεχωριστό και δημιουργικό Γιώργο Φασουλοπουλο !
-
Χρόνια πολλά σε όλους τους εορτάζοντες!!!Ιδιαίτερες ευχές στους Γιώργο Κόμη,Γιώργο Φασουλοπουλο,Γιώργο Χριστόπουλο..Ευχαριστώ ολους όσους με τίμησαν με τις ευχές τους..
-
Χρόνια πολλά σε όλους τους εορτάζοντες.
Ιδαίτερες ευχές στο Γιώργο Φασουλόπουλο, Γιώργο Σφυρή και Γιώργο Χριστόπουλο.
Να είναι υγιείς και πάντα δημιουργικοί. -
Ευχαριστώ από καρδιάς για τις ευχές! Χρόνια πολλά στους συνεορταζοντες!
-
Χρόνια πολλά και ευτυχισμένα στους εορτάζοντες. Ιδιαίτερες ευχές στους κυρίους: Φασουλόπουλο και Χριστόπουλο.
-
Ευχαριστίες για τις ευχές με το επίκαιρο κειμενάκι
Ευχές στους συνονόματους! -
Σας ευχαριστώ πολύ για τις ευχές σας.
Εύχομαι υγεία και ευτυχία.
Χρόνια πολλά στους Γιώργηδες. -
Χρόνια πολλά και καλά στους Γιώργηδες και στις Γιωργίες!
Ιδιαίτερες ευχές στουςΓιώργο Φασουλόπουλο
Γιώργο Σφυρή
Γιώργο Παναγιωτακόπουλο -
Χρόνια πολλά και κάθε καλό στις εορτάζουσες και εορτάζοντες.
-
Καλημέρα! Ευχαριστώ πολύ για τις ευχές σας!
-
Χρόνια πολλά και καλά σε κάθε εορτάζοντα/ζουσα του Ylikonet. Ιδιαίτερες ευχές στους Γιώργο Φασουλόπουλο, Γιώργο Χριστόπουλο, Γιώργο Κόμη,
-
Χρόνια πολλά σε κάθε Ελένη, Κωνσταντίνα και Κωνσταντίνο που γιορτάζει σήμερα.
Ιδιαίτερες ευχές στους δικούς μας, Κώστα Ψυλάκο, Ντίνο Σαράμπαλη, Κωνσταντίνο Καβαλλιεράτο, Κώστα Παπαδάκη, Κώστα Χαρκοπλιά, Κώστα Μυσίρη, Κώστα Παρασύρη, Κώστα Χατζηκωνσταντίνου, Κωνσταντίνο Γκιόκα, Κώστα Παπιώτη και Κώστα Πυροβόλου. -
Χρόνια πολλά σε κάθε Ελένη, Κωνσταντίνα και Κωνσταντίνο που γιορτάζει σήμερα.
Ιδιαίτερες ευχές στους Κώστα Ψυλάκο, Ντίνο Σαράμπαλη, Κωνσταντίνο Καβαλλιεράτο. -
Χρόνια πολλά και από μένα στον Καβαλλιεράτο ,στον Ντίνο και τον Ψυλλάκο, ελπίζω να τα πούμε σύντομα από κοντά.
-
Χρόνια πολλά σε όλους που γιορτάζουν. Πολλές ευχές στους Κώστα Ψυλάκο, Ντίνο Σαράμπαλη, Κωνσταντίνο Καβαλλιεράτο, Κώστα Παπαδάκη και Κωνσταντίνο Γκιόκα.
-
Χρόνια πολλά στους εορτάζοντες!!! Ιδιαίτερες ευχές στους Κώστα Ψυλάκο,Κωνσταντίνο Καβαλλιεράτο,Ντίνο Σαράμπαλη , καιΚωνσταντίνο Γκιόκα…
-
Χρόνια πολλά στους φίλους που γιορτάζουν και ιδαίτερα στους Κώστα Ψυλάκο, Ντίνο Σαράμπαλη, Κωνσταντίνο Καβαλλιεράτο, Κώστα Παπαδάκη, Κώστα Παρασύρη, Κώστα Χαρκοπλιά και Κώστα Μυσίρη.
-
Χρόνια Πολλά στους εορτάζοντες. Υγεία κι ευτυχία και καλό κουράγιο για τις επερχόμενες εξετάσεις.
-
Χρόνια πολλά σε κάθε Ελένη και Κωνσταντίνο της νησίδας…
Ιδιαίτερες οι ευχές μου προς τους Κώστα Ψυλάκο, Ντίνο Σαράμπαλη, Κωνσταντίνο Καβαλλιεράτο, Κώστα Παπαδάκη -
Χρόνια πολλά και ευτυχισμένα σε όλους τους εορτάζοντες.
-
Χρόνια πολλά στους φίλους που γιορτάζουν και ιδαίτερα στους
Κώστα Ψυλάκο,
Ντίνο Σαράμπαλη,
Κωνσταντίνο Καβαλλιεράτο,
Κώστα Παπαδάκη,
Κώστα Παρασύρη,
Κώστα Χαρκοπλιά
Κωνσταντίνο Γκιόκα και
Κώστα Μυσίρη. -
Χρόνια Πολλά σε όλους και όλες που σήμερα γιορτάζουν.
-
Χρόνια πολλά στους εορτάζοντες
Konstantίνους και τις Ωραίες Ελένες του ylikonet.gr , υγεία, δημιουργικότητα, ευτυχία εύχομαι από καρδιάς. Ιδιαίτερα στους
Κώστα Ψυλάκο, Ντίνο Σαράμπαλη,
Κωνσταντίνο Καβαλλιεράτο,
Κώστα Παπαδάκη,Κώστα Παρασύρη,
Κώστα Χαρκοπλιά,Κωνσταντίνο Γκιόκα και Κώστα Μυσίρη.
-
Χρόνια πολλά, ειρηνικά και παραγωγικά σε κάθε Ελένη, Λένα, Κωνσταντίνα, Κωνσταντίνο, Ντίνο του ylikonet. Ιδιαίτερες ευχές στους Ντίνο Σαράμπαλη, Κώστα Ψυλάκο, Κωνσταντίνο Καβαλλιεράτο, Κώστα Παπαδάκη.
-
Χρόνια πολλά στις εορτάζουσες και τους εορτάζοντες του δικτύου και όχι μόνον!
-
Χρόνια πολλά σε όλους τους εορτάζοντες και ιδιαίτερες ευχες στον φίλο Κώστα Ψυλακο!
-
Χρόνια πολλά και από εμένα σε όσους γιορτάζουν είναι διπλή η γιορτή.
Ευχαριστώ για τις ευχές, να είστε καλά. -
Χρόνια πολλά και καλά σε όσους και όσες γιορτάζουν σήμερα!
Ιδιαίτερες ευχές στους
Κώστα Ψυλάκο
Ντίνο Σαράμπαλη
Κωνσταντίνο Καβαλλιεράτο
-
Χρόνια Πολλά σε όλους και όλες που γιορτάζουν.
-
Σας ευχαριστώ όλους για τις ευχές σας. Τα ονόματα περιττεύουν (μήπως και ξεχάσω κάποιον). Επίσης ευχές στους συνεορτάζοντες.
-
Σας ευχαριστώ πολύ για τις ευχές σας!
Ό,τι το καλύτερο εύχομαι.
-
Χρόνια πολλά σε όλους. Ιδιαίτερες ευχές στον Κώστα Ψυλάκο.
-
Ευχαριστω πολυ για τις ευχες!
-
Χρόνια πολλά σε όσους γιορτάζουν με υγεία!!!
-
Χρόνια πολλά σε κάθε Πέτρο και κάθε Παύλο που γιορτάζει σήμερα.
Ιδιαίτερες ευχές στους Παύλο Αλεξόπουλο, Παύλο Κοτσωνα, Πέτρο Μάλλιο, Πέτρο Καραπέτρο και Πέτρο Βατούγιο. -
Χρόνια πολλά σε κάθε εορτάζουσα και κάθε εορτάζοντα σήμερα.
Ιδιαίτερες ευχές στον Παύλο Αλεξόπουλο. -
Χρόνια πολλά στους φίλους που γιορτάζουν σήμερα. Ιδιαίτερες ευχές στους Παύλο Αλεξόπουλο, Παύλο Κοτσωνα, Πέτρο Μάλλιο, Πέτρο Καραπέτρο και Πέτρο Βατούγιο.
-
Χρόνια πολλά σε όσους γιορτάζουν.
Ιδιαίτερες ευχές στον Παύλο Αλεξόπουλο! -
Χρόνια πολλά και ευτυχισμενα στον Παύλο Αλεξόπουλο και σε όλους τους εορτάζοντες!
-
Χρόνια πολλά στον Παύλο Αλεξόπουλο αλλά και σε όσους φίλους του Υλικού εορτάζουν σήμερα.
-
Σας ευχαριστώ πολυ όλους για τις ευχές σας. Ευχές και από μένα σε όσους γιορτάζουν και καλά να περάσετε στην συνάντηση!
-
Χρόνια πολά στοις εορτάζοντες
Πέτρο Βατούχυο
Παίλο Αλεξόπουλο
Παύλο Παπαθεοφάνους και σε όσοις ακόμγ που γιορτάζουν.
Να περνάτε καλά και στη συνάντηση σήμερα του υλικονέτ. -
Χρόνια σας πολλά με υγεία και δημιουργικότητα!!!
-
Χρόνια πολλά σε όσους και όσες γιορτάζουν σήμερα!
Ιδιαίτερες ευχές στον Παύλο Αλεξόπουλο!!
-
Χρόνια πολλά στον εκ των διαχειριστών του δικτύου μας, στον Αποστόλη Παπάζογλου, αλλά και σε κάθε Αποστόλη που γιορτάζει σήμερα.
-
Ευχαριστώ και πάλι για τις ευχές. Χρόνια πολλά σε όσους γιορτάζουν σήμερα. Υγεία και κάθε χαρά εύχομαι Αποστόλη Παπάζογλου και ένα μεγάλο ευχαριστώ σε εσένα και στον Βασίλη Δουκατζή για την προσφορά σας και την φροντίδα σας στο υλικονετ!
-
Χρόνια πολλά,στον διαχειριστή της ομάδας Αποστόλη Παπαζογλου!!! Υγεία και χαρές σε όλα τα μέλη που εορταζουν σήμερα!!!
-
Χρόνια πολλά σε όσους γιορτάζουν.
Ιδιαίτερες ευχές στον Αποστόλη μας! -
Χρόνια πολλά Αποστόλη, οσά ντο Ψηλορείτη
Χρόνια πολλά και στον Παύλο Αλεξόπουλο
https://i.ibb.co/yB0YkHRr/image.png -
Χρόνια πολλά στους σημερινούς εορτάζοντες, αλλά και στους χθεσινούς
Ευχές στους
Παύλο Αλεξόπουλο,
Παύλο Κοτσωνα,
Πέτρο Μάλλιο,
Πέτρο Καραπέτρο και
και στον σημερινό και συνδιαχειριστή
Αποστόλη Παπάζογλου!!! -
Χρόνια πολλά σε όλους τους εορτάζοντες.
Αρχικα τις ευχες μου στον Παυλο Αλεξόπουλο για τη χθεσινή ονομαστικη του εορτή και στον Αποστολη Παπάζογλου για τη σημερινή του γιορτή. -
χρόνια πολλά και καλά Αποστόλη!
-
Χρόνια πολλά και ευτυχισμένα στον Αποστόλη Παπάζογλου και σε όλους τους εορτάζοντες!!!
-
Χρόνια σας πολλά με υγεία!!!!!
-
Χρόνια πολλά σε όλους τους εορτάζοντες του διημέρου! Ιδιαίτερες ευχές στον Παύλο Αλεξόπουλο και στον Αποστόλη! Να είστε όλοι καλά!
-
Χρόνια πολλά στον γίγαντα της φυσικής και του ροκ εντ ρολ,
Αποστόλη Παπάζογλου -
Χρόνια πολλά σε όσους γιόρταζαν και γιορτάζουν.
Ευχές στον Παύλο (Αλεξόπουλο) και στον διαχειριστή Αποστόλη (Παπάζογλου).
-
Χρόνια πολλά στους εορτάζοντες χθες και σήμερα.
Ιδιαίτερες ευχές στον Παύλο Αλεξόπουλο.
Αποστόλη πολύχρονος και καλή πρόοδο στα παλληκάρια σου. -
Ευχαριστώ όλους τους καλούς φίλους για τις ευχές!
-
Χρόνια πολλά σε όλους τους (τις) εορτάζονες (-ουσες). Ιδιαίτερα στους Παύλο (Αλεξόπουλο) και Αποστόλη (Παπάζογλου).
-
Έστω και με μία μικρή καθυστέρηση, Χρόνια Πολλά στον εκ των διαχειριστών του δικτύου Αποστόλη Παπάζογλου, για εχθές!
-
Ευχαριστω πολυ για τις ευχες σας.Υγεια και δυναμη σε ολους.Χρονια πολλα στον Αποστολη Παπαζογλου,
-
Ντίνο, Μίλτο και Παύλο σας ευχαριστώ για τις ευχές.
-
Αποστόλη, χρόνια πολλά για τη γιορτή σου, προχθές, με υγεία και ό,τι άλλο επιθυμείς.
-
Σε ευχαριστώ Γρηγόρη!
-
Χρόνια πολλά στους φίλους που γιορτάζουν σήμερα και ιδιαιτέρως στο φίλο Παντελή Παπαδάκη!
-
Χρόνια πολλά στις εορτάζουσες και εορτάζοντες χθες και σήμερα!
Ιδιαίτερες ευχές στον δικό μας Παντελή! -
Χρόνια πολλά σε όσους γιορτάζουν. Πολύχρονος Παντελή Παπαδάκη!
-
Χρόνια πολλά στον Παντελή Παπαδάκη και σε όσους γιορτάζουν.
-
Χρόνια πολλά στον αγαπητό Παντελή Παπαδάκη και σε όλους όσους γιορτάζουν. ‘Νεύτωνας και βαρύτητα στου Παντελή την Κρήτη, να ζήσεις σαν τα ψηλά βουνά και σαν τον Ψηλορείτη’, μέτρια μαντινάδα από κουζουλό Χημικό!
-
Χρόνια πολλά στους εορτάζοντες!!!Χρόνια πολλά αγαπητέ Παντελή Παπαδάκη!!!
-
Χρονια πολλά και ευτυχισμένα Παντελή Παπαδάκη !!!
-
Χρόνια πολλά σε όσους γιόρταζαν.
Πολύχρονος φίλε Παντελή Παπαδάκη! -
Με τον Κυρ στην παρέα δικαιούμαι να ξεχαστώ …
Αποστόλη ,Διονύση, Παύλο ,Κώστα, Παναγιώτη(αν το “ζήσεις το κάνεις ζεις” πετυχαίνεις καλλίτερη ροή. Ευχαριστώ), Γιώργο, Γιώργο ,Άρη,
οι ευχές σας “νήματα” συνδετικά και “ανθεκτικά”!
Να είστε όλοι καλά .
Σας ευχαριστώ -
Καλημέρα !
Χρόνια Πολλά για τους εορτάζοντες !
Παντελή Παπαδάκη Πολύχρονος με Υγεία σου εύχομαι!
-
Χρόνια πολλά σε όλους για την σημερινή γιορτή.
Ιδιαίτερες ευχές σε κάθε Μαρία, Παναγιώτα, σε κάθε Παναγιώτη που σήμερα έχει την ονομαστική του εορτή.
Χρόνια Πολλά στους Παναγιώτη Κουμαρά, Πάνο Μουρούζη, Παναγιώτη Κουτσομπόγερα, Παναγιώτη Χριστάκο, Παναγιώτη Σάμιο, Παναγιώτη Μπετσάκο, Παναγιώτη Χαλκιαδάκη και Παναγιώτη Μπενετάτο. -
Χρόνια Πολλά στους φίλους που γιορτάζουν σήμερα και ιδιαίτερα στους: Παναγιώτη Κουμαρά, Παναγιώτη Κουτσομπόγερα, Πάνο Μουρούζη, Παναγιώτη Σάμιο, Παναγιώτη Χριστάκο και Παναγιώτη Μπετσάκο!
-
Χρόνια πολλά και ευχές σε εορτάζοντες και μη
-
Καλημέρα και Χρόνια Πολλά σε κάθε εορτάζουσα και κάθε εορτάζοντα! Χρόνια Πολλά και σε όλους λόγω της ημέρας!
-
Χρόνια πολλά σε όλους για την σημερινή γιορτή.
Για την ονομαστική εορτή τους, χρόνια πολλά στους Παναγιώτη Κουμαρά, Παναγιώτη Κουτσομπόγερα, Παναγιώτη Σάμιο και
όλους της νησίδας εορτάζοντας. -
Χρόνια πολλά λόγω ημέρας.
Χρόνια πολλά σε όλους όσους γιορτάζουν, ευχές στον Πάνο Μουρούζη.
-
Χρόνια πολλά σε όλους για την σημερινή γιορτή.
Για την ονομαστική εορτή τους, χρόνια πολλά στους
Παναγιώτη Κουτσομπόγερα,
Πάνο Μουρούζη
Παναγιώτη Χριστάκο
Παναγιώτη Μπετσάκο!
Παναγιώτη Κουμαρά,
Παναγιώτη Σάμιο. -
Ευχαριστώ για τις ευχές! Χρόνια πολλά με υγεία σ’ όλον τον κόσμο!
-
Χρόνια Πολλά και ΚΑΛΑ σε κάθε
εορτάζουσα Μαρία Παναγιώτα, Δέσποινα και
σε κάθε εορτάζοντα Παναγιώτη, Πάνο,Μάριο ,…Χρόνια Πολλά και δημιουργικά σε όυς τους “Υλικονετιστές”
-
Χρόνια πολλά στους σημερινούς εορτάζοντες. Ιδιαίτερες ευχές στον Πάνο Μουρούζη.
-
Ευχαριστώ ειλικρινά όλους τους φιλους για τις ευχες – χρονια πολλα στους συνονόματους και καλό υπολοιπο καλοκαιριού!
-
Χρόνια πολλά στους σημερινούς εορτάζοντες:
Σταύρο Πρωτογεράκη, Σταύρο Παραδείση, Σταύρο-Διονύση Ψιλοπαναγιωτόπουλο και Σταύρο Κουσίδη. -
Χρόνια πολλά στους φίλους που γιορτάζουν. Ιδιαίτερες ευχές στους Σταύρο Πρωτογεράκη, Σταύρο-Διονύση Ψιλοπαναγιωτόπουλο, Σταύρο Παραδείση, και Σταύρο Κουσίδη.
-
Σας ευχαριστώ πάρα πολύ!
-
Ευχαριστώ πολύ για τις ευχές και εύχομαι υγεία σε όλους
-
Χρόνια Πολλά στους Στάθη Λεβέτα και Στάθη Σιδερή, αλλά και σε κάθε άλλον που γιορτάζει σήμερα.
-
Χρόνια πολλά στον Στάθη Λεβέτα και σε όλους τους εορτάζοντες!!!
-
Καλημέρα και Χρόνια Πολλά στους εορτάζοντες.
Στον καλό φίλο Στάθη Λεβέτα εύχομαι ότι το καλύτερο και πάνω από όλα Υγεία !
-
Χρόνια πολλα σε όλους που γιορτάζουν. Πολύχρονος Στάθη Λεβέτα.
-
Χρόνια πολλά Στάθη (Λεβέτα) και καλό Φθινόπωρο.
-
Καλημέρα και Χρόνια Πολλά στους εορτάζοντες.
Χρόνια πολλά στον Στάθη Λεβέτα. -
Χρόνια πολλά με υγεία ,
στους Στάθη Λεβέτα και Στάθη Σιδερή -
Χρόνια πολλά στους φίλους που γιορτάζουν και ιδιαίτερα στο Στάθη Λεβέτα και Σταύρο Σιδερή!
-
Καλημέρα συνάδελφοι. Σας ευχαριστώ όλους για τις ευχές σας. Να έχετε όλοι μια καλή και παραγωγική σχολική χρονιά.
-
Καλημέρα.
Χρόνια πολλά σε όσους γιορτάζουν.
Ιδιαίτερες ευχές στο Στάθη Λεβέτα! -
Χρόνια πολλά στους φίλους που γιορτάζουν σήμερα. Ιδιαίτερες ευχές στους: Μήτσο Γκενέ, Δημήτρη Πάλμο, Δημήτρη Αγαλόπουλο, Δημήτρη Σκλαβενίτη, Δημήτρη Τσάτση, Δημήτρη Τσιλογιάννη και Δημήτρη Ζωγράφο!
-
Χρόνια πολλά στους Μήτσο Γκενέ, Δημήτρη Πάλμο, Δημήτρη Αγαλόπουλο, Δημήτρη Σκλαβενίτη, Δημήτρη Τσάτση και όλους τους εορτάζοντες της νησίδας.
-
Χρόνια πολλά σε όλους που γιορτάζουν. Πολύχρονοι Μήτσο Γκενέ, Δημήτρη Πάλμο και Δημήτρη Τσάτση.
-
Χρόνια πολλά με υγεία σε όλες όλους που γιορτάζουν σήμερα!
-
Χρόνια πολλά σε όσους γιορτάζουν σήμερα. Χρόνια πολλά και στη Θεσσαλονίκη!
Ιδιαίτερες ευχές στον Μήτσο Γκενέ, στο Δημήτρη Σκλαβενίτη, Δημήτρη Πάλμο, Δημήτρη Τσάτση, Δημήτρη Τσιλογιάννη, Δημήτρη Αγαλόπουλο, Δημήτρη Ζωγράφο, Δημήτρη Παπαγεωργίου και Δημήτρη Οικονόμου. -
Χρόνια πολλά σε όλους όσους γιορτάζουν σήμερα.
-
Χρονια πολλά στους Δημήτρη Τσιλογιάννη , Δημητρη Γκενε και σε οσους αλλους γιορταζουν
-
Χρόνια πολλά σε όλους τους εορτάζοντεες.
Ιδιαίτερες ευχές στον Δημήτρη Γκενέ, Δήμητρη Πάλμο, Δημήτρη Τσάτση, Δημήτρη Σκαλαβενίτη και Δημήτρη Αγαλόπουλο. -
Χρόνια πολλά στους Δημήτρη Γκενέ, Δημήτρη Πάλμο ,Δημήτρη Τσάτσου,Δημήτρη Αγαλοπουλο και σε όλους τους εορτάζοντες!!!
-
Χρόνια Πολλά σε όλους τους Δημήτρηδες του δικτύου
(ωχ, μην το δει ο…Βαγγέλης, που τελείωσε Κλασσικό Λύκειο και επιμένει ότι τα κύρια ονόματα δεν έχουν πληθυντικό) -
Χρόνια πολλά σε όλους τους εορτάζοντεες.
Ιδιαίτερες ευχές στους
Δημήτρη Γκενέ,
Δήμητρη Πάλμο,
Δημήτρη Τσάτση,
Δημήτρη Σκαλαβενίτη και
Δημήτρη Αγαλόπουλο.
Να πούμε και χρόνια πολλά και σε ένα χημικό!!
Τον Δημήτρη Τσιλογιάννη!!
-
Χρόνια πολλά στο Δημήτρη Γκενέ , Τσιλογιάννη και Πάλμο και σε όλους τους εορτάζοντες!!!
-
Ευχαριστώ όλους τους φίλους για τις ευχές!
Να ευχηθώ κι εγώ με τη σειρά μου χρόνια πολλά και καλά με υγεία σε όσους και όσες γιορτάζουν σήμερα και ειδικά στους:
Δημήτρη Γκενέ, Δημήτρη Αγαλόπουλο, Δημήτρη Τσάτση
-
Σας ευχαριστώ όλους σας για τις ευχές.
Να είστε όλοι σας καλά (*)
με υγεία, ειρήνη , αισιοδοξία και δύναμη για τις “στραβές”Ιδιαίτερες ευχές για μακροημέρευση στους εορτάζοντες συνταξιδιώτες : Σκλαβενίτη, Πάλμο, Τσάτση. Αγαλόπουλο, Ζωγράφο, Δημάκο, Παπαγεωργίου Τσιλογιάννη – (μάλλον ουκ τέλος εστί ) …. σε κάθε Δημήτρη και Δήμητρα της “ιστονησίδας μας”
(*) ακόμα περισσότερο σέ όσους δεν κατάφεραν να επικοινωνήσουν μαζί μου -σήμερις κομμάτι δύσκολο-
-
Χρόνια Πολλά Δημήτρη (Γκενέ) και Δημήτρη (Πάλμο).
Να είστε γεροί κι ευτυχισμένοι. -
Ευχαριστώ πολύ όλους τους φίλους!
Χρόνια πολλά σε όλους τους εορτάζοντες και ιδιαίτερες ευχές στο Δημήτρη Γκενε και Δημήτρη Παλμο -
Πολλές ευχές και από εμένα στους Δημήτρηδες, με τους οποίους δεν πρόλαβα
να επικοινωνήσω… αλλά και αύριο και μεθαύριο μέρα είναι… -
Καλημέρα σε όλους και ευχαριστώ πολύ για τις ευχές!
Τις θερμότερες ευχές μου σε όλους τους συνεορτάζοντες και ιδιαίτερα στον Δημήτρη Γκενέ, Δημήτρη Πάλμο, Δημήτρη Σκλαβενίτη και Δημήτρη Αγαλόπουλο.
Να είναι όλοι υγιείς, ευτυχισμένοι και δημιουργικοί! -
Θερμές ευχές στους Δημήτρηδες του ylikonet.
Ιδιαίτερες ευχές στους Δημήτρη Γκενέ, Δημήτρη Πάλμο, Δημήτρη Σκλαβενίτη και Δημήτρη Αγαλόπουλο -
Ξεχάστηκα αυτή τη φορά.
Χρόνια πολλά στους εορτάζοντες!
Εύχομαι Υγεία πάνω από όλα! -
Χρόνια πολλά σε όλους, και λίγο περισσότερο στον Δημήτρη Γκενέ.
-
χρόνια πολλά σε όλους
ΚΑΙ ΠΟΤΕ ΠΙΑ ΠΟΛΕΜΟΣ
ΙΔΙΑΙΤΕΡΑ ΕΜΦΥΛΙΟΣ -
Χρόνια πολλά στους φίλους που γιορτάζουν. Ιδιαίτερες ευχές στον Μιχαήλ Μιχαήλ!
-
Χρόνια πολλά σε όσους γιορτάζουν σήμερα (και είναι πάμπολλα ονόματα…).
Ιδιαίτερες ευχές στον Μιχαήλ Μιχαήλ , Άγγελο Μακρή και Μιχάλη Τρούλιαλη. -
Χρόνια πολλά στα … πολλά ονόματα που γιορτάζουν σήμερα!
-
Αποστόλη, Διονύση σας ευχαριστώ πάρα πολύ για τις ευχές!
-
Χρόνια πολλά και με υγεία σε όλους οσοι εορτάζουν σήμερα!!!
-
Μιχαήλ Μιχαήλ χρόνια σου πολλά με Υγεία σου εύχομαι !
Χρόνια Πολλά σε όλους τους φίλους του υλικονέτ που σήμερα έχουν τη γιορτή τους.
-
Χρόνια Πολλά σε όσους γιορτάζουν σήμερα.
Χρόνια Πολλά και στην Πάτρα, που σήμερα γιορτάζει ο πολιούχος της.
Ιδιαίτερες ευχές για υγεία και κάθε ευτυχία στον Ανδρέα Ριζόπουλο και Ανδρέα Βαλαδάκη! -
Χρόνια πολλά στους εορτάζοντες της νησίδας.
Ιδιαίτερες ευχές για υγεία στον Ανδρέα Βαλαδάκη και Ανδρέα Ριζόπουλο ! -
Χρόνια πολλά για την ονομαστική γιορτή των
Ανδρέα Βαλαδάκη
Ανδρέα Ριζόπουλο
και σε όσους γιορτάζουν σήμερα. -
Χρόνια πολλά στους εορτάζοντες,
ιδιαίτερες ευχές στους:
Ανδρέα Βαλαδάκη, Ανδρέα Ριζόπουλο.
-
Χρόνια πολλά στους φίλους που γιορτάζουν και ιδιαίτερα στους Ανδρέα Βαλαδάκη και Ανδρέα Ριζόπουλο!
-
Καλημέρα και καλή Κυριακή σε όλους. Χρόνια πολλά στους εορτάζοντες σήμερα!
Ιδιαίτερες ευχές στον Ανδρέα Βαλαδάκη και τον Ανδρέα Ριζόπουλο!
Υγεία σε όλους! -
Χρόνια πολλά στους εορτάζοντες σήμερα! Iδιαίτερα στους Ανδρέα Βαλαδάκη και Ανδρέα Ριζόπουλο!
-
Χρόνια πολλά στους Ανδρέα Ριζόπουλο & Ανδρέα Βαλαδάκη και σε όλους όσους γιορτάζουν.
-
Χρόνια πολλά στους Ανδρέα Βαλαδακη,Ανδρέα Ριζοπουλο και σε όλους τους εορτάζοντες !!!
-
Χρόνια πολλά σε όλους που γιορτάζουν. Πολύχρονοι Ανδρέα Βαλαδάκη και Ανδρέα Ριζόπουλε.
-
, Χρόνια πολλά σε όλους που γιορτάζουν.
Ιδιαίτερες ευχές σε Αντρέα Ριζόπουλο και Αντρέα Βαλαδάκη. -
Καλησπέρα και χρόνια πολλά!!
Ιδιαίτερες ευχές στους σημερινούς εορτάζοντες του υλικονετ
Ανδρέα Ριζόπουλο και
Ανδρέα Βαλαδάκη -
Καλησπέρα σε όλους τους καλούς συναδέλφους. Σας ευχαριστώ για τις ευχές. Να ευχηθώ και εγώ με τη σειρά μου χρόνια πολλά στον Ανδρέα Βαλαδάκη.
-
Χρόνια πολλά σε όλους τους εορτάζοντες.
Ιδιαίτερες ευχές στον Αντρέα Ριζόπουλο και Αντρέα Βαλαδάκη. -
Καλησπέρα και χρόνια πολλά σε κάθε εορτάζοντα του ylikonet.
Ιδιαίτερες ευχές στους
Ανδρέα Ριζόπουλο και
Ανδρέα Βαλαδάκη -
καλησπέρα σε όλους
και Χρόνια Πολλά στους εορτάζοντας του δικτύου -
Ευχαριστώ πολύ Χρήστο, Άρη, Βαγγέλη.
-
Χρόνια πολλά στους σημερινούς εορτάζοντες.
Ιδιαίτερες ευχές στους Νίκο Ανδρεάδη, Νίκο Μαλακασιώτη, Νίκο Κυριάκο και Νίκο Σαρρή, -
Χρόνια πολλά στους φίλους που γιορτάζουν. Ιδιαίτερες ευχές στους Νίκο Μαλακασιώτη, Νίκο Ανδρεάδη και Νίκο Κυριάκο!
-
Χρόνια πολλά σε όλους που γιορτάζουν. Πολύχρονοι Νίκο Μαλακασιώτη και Νίκο Κυριάκο.
-
Χρονια πολλα σε όλους τους εορτάζοντες.
Ιδιαίτερες ευχες στον Νικο Μαλακασιωτη. -
Χρόνια πολλά σε όλους που γιορτάζουν σήμερα!
-
Χρόνια πολλά και ευτυχισμένα σε όλους που γιορτάζουν σήμερα!
-
Χρόνια πολλά και καλά με υγεία σε όσους και όσες γιορτάζουν σήμερα
Ιδιαίτερες ευχές στο Νίκο Ανδρεάδη και στο Νίκο Μαλακασιώτη
Επισης χρόνια πολλά και καλά στον Ανδρέα Ριζόπουλο και στον Ανδρέα Βαλαδάκη για τη γιορτή τους έστω και καθυστερημένα -
Χρόνια Πολλά σε όλους τους εορτάζοντες. Να είναι όλοι γεροί και χαρούμενοι.
Ιδιαίτερες ευχές στον Ανδρέα Ριζόπουλο. -
Χρόνια Πολλά σε όλους τους εορτάζοντες για χθες..
-
Χρόνια πολλά στους σημερινούς εορτάζοντες (και στους Κερκυραίους!).
Ιδιαίτερες ευχές στο Σπύρο Χόρτη και στον “ξενιτεμένο” Σπύρο Τερλεμέ. -
Χρόνια πολλά σε όσους γιορτάζουν σήμερα!
-
Χρόνια πολλά στους φίλους που γιορτάζουν και ιδιαίτερα στο Σπύρο Χόρτη!
-
Χρόνια πολλά στους εορτάζοντες της νησίδας.
Ιδιαίτερες ευχές στο Σπύρο Χόρτη. -
Χρόνια πολλά στους εορτάζοντες της νησίδας.
Ιδιαίτερες ευχές στο Σπύρο Χόρτη. -
Xρόνια πολλά σε όλους τους εορτάζοντες.
Ιδιαίτερες ευχές στο Σπύρο Χόρτη -
Σας ευχαριστώ πολύ όλους για τις ευχές. Εύχομαι καλές γιορτές με υγεία σε όλους του φίλους του δικτύου.
-
Χρόνια πολλά σε όσους γιορτάζουν σήμερα!!!
Χρόνια πολλά στην Ελευθερία Νασίκα
και στον Λευτέρη Παπαδόπουλο. -
Χρόνια πολλά και από μένα στην Ελευθερία Νασίκα.
Χρόνια πολλά στον Λευτέρη Παπαδόπουλο. -
Και από μένα, χρόνια πολλά στην Ελευθερία Νασίκα
και σ’όλους τους εορτάζοντες της νησίδας !!! -
Χρόνια Πολλά στους φίλους που γιορτάζουν και ιδιαίτερα στην Ελευθερία Νασίκα και το Λευτέρη Παπαδόπουλο!
-
ΧΡΟΝΙΑ ΠΟΛΛΑ ΣΤΗΝ ΕΛΕΥΘΕΡΙΑ ΚΑΙ ΤΟ ΛΕΥΤΕΡΗ!!!
-
Πολλές ευχές στην Ελευθερία Νασίκα
και σ’όλους τους εορτάζοντες της νησίδας. -
Ευχαριστώ πολύ όλους τους φίλους για τις ευχές!
Λευτέρη, χρόνια μας πολλά, με υγεία και χαρά! -
Χρόνια πολλά σε όλους τους εορτάζοντες του ΥΦΧ.
Καλές γιορτές σε όλους. -
Χρόνια πολλά στην Ελευθερία Νασικα και το Λευτέρη Παπαδόπουλο.
Να είναι υγιείς και δημιουργικοί. -
Ευχαριστώ πολύ για τις ευχές. Ελευθερία και σε όσους / όσες γιορτάζουν επίσης χρόνια πολλά. Εύχομαι να έχουμε υγεία και όσο μπορούμε πια, να προχωράμε και να εξελισσόμαστε.
-
Χρόνια πολλά στον πατέρα όλων μας (Newton εκ Ζακύνθου) Διονύση Μάργαρη και σε όλους οσους γιορτάζουν !
-
Καλημέρα και χρόνια πολλά!!
Χρόνια πολλά στους
Διονύση Μάργαρη
Διονύση Μητρόπουλο
Διονύση Δρακόπουλο
Διονύση Θεοχάρη -
Χρόνια πολλά σε όσους γιορτάζουν. Πολύχρονοι Διονύση Μάργαρη, Διονύση Μητρόπουλε, Διονύση Θεοχάρη.
-
Χρόνια πολλά σε όσους γιορτάζουν.
Ιδιαίτερα στον δημιουργό του ylikonet και στον Διονύση Μητρόπουλο.
-
Χρόνια πολλά και ευτυχισμένα στους εορταζοντες. Ιδιαίτερες ευχές στον Διονύση Μαργαρη.
-
Χρόνια πολλά με υγεία στους εορτάζοντες των ημερών και ιδιαίτερες ευχές στους σημερινούς εορτάζοντες τον Διονύση Μάργαρη και Διονύση Μητρόπουλο!
-
Χρόνια Πολλά με Υγεία και Ευτυχία στον Διόνυση Μάργαρη και στον Διονύση Μητρόπουλο !
Τις εύχες μου και στον Διονύση Δρακόπουλο , ότι το καλύτερο σου εύχομαι Διονύση!
Καλές Γιορτές σε όλους τους φίλους του δικτύου!
-
Χρονια πολλα στους Διονύσηδες. Ιδιαίτερα στον Διονύση Μάργαρη και στον Διονύση Μητρόπουλο.
-
Χρόνια πολλά στους φίλους που γιορτάζουν. Ιδιαίτερες ευχές στον οικοδεσπότη μας Διονύση Μάργαρη, τον Διονύση Μητρόπουλο, τον Διονύση Δρακόπουλο και τον Διονύση Θεοχάρη!
-
Χρόνια πολλά Διονύσηδες. Εύχομαι ότι καλύτερο με υγεία.
-
ΧΡΟΝΙΑ ΠΟΛΛΑ για τη γιορτή των συγκατοικούντων στο υλικονετ
Διονύση Μάργαρη,
Διονύση Μητρόπουλο,
Διονύση Δρακόπουλο και
Διονύση Θεοχάρη! -
Χρόνια Πολλά και καλά, στους αρκετούς και παράλληλα στυλοβάτες του δικτύου, Διονύσηδες!!
Να είστε καλά και να εμπλουτίζετε το δίκτυο με τις ιδέες σας και με το ήθος σας! -
Χρόνια πολλά με υγεία στους εορτάζοντες της νησίδας
και ιδιαίτερες οι ευχές μου στο δημιουργό της !
Χρόνια πολλά Διονύση Μητρόπουλε -
Χρόνια πολλά στο στυλοβάτη του δικτύου μας. Διονύση να είσαι πάντα καλά και να μας στηρίζεις. Χρόνια πολλά και στο Διονύση Μητρόπουλο.
-
Χρόνια πολλά σε ολους τους εορτάζοντες.
Ιδιαίτερες ευχές στον Διονύση Μλαργαρη την κορωνίδα του δικτύου και στον Διονύση Μητρόπουλο. Να είστε υγιείς και δημιουργικοί. -
Χρόνια Πολλά στους Διονύσηδες του δικτύου
(ωχ, μην το δει ο “εκ του Κλασσικού” Βαγγέλης
τα κύρια ονόματα δεν έχουν πληθυντικό…)
ιδιαίτερα στους Μάργαρη και Μητρόπουλο -
Χρόνια Πολλά σε όλους όσους γιορτάζουν σήμερα. Ιδιαίτερες ευχές στον Διονύση Μάργαρη και στον Διονύση Μητρόπουλο. Να είναι πάντα γεροί και δημιουργικοί!!
-
Ευχαριστώ όλους τους φίλους για τις σημερινές ευχές τους.
Να ευχηθώ με τη σειρά μου σε όλους τους σημερινούς εορτάζοντες τα χρόνια πολλά, αλλά χρόνια πολλά επίσης σε όλη τη Ζάκυνθο που γιορτάζει σήμερα.
Ιδιαίτερες προσωπικές ευχές στον Διονύση Μητρόπουλο, Διονύση Δρακόπουλο και Διονύση Θεοχάρη.
Να είσαστε όλοι καλά συνάδελφοι.
Καλά Χριστούγεννα για όλους, με υγεία και κάθε δυνατή ευτυχία. -
Ευχές για Χρόνια Πολλά με υγεία και κάθε καλό στους εορτάζοντες Διονύση Μάργαρη και Διονύση Μητρόπουλο!
-
Τις θερμότερες ευχές μου σε όλους τους Διονύσηδες της παρέας μας και ιδιαίτερα στον Διονύση Μάργαρη και Διονύση Μητρόπουλο!
Υγεία πάνω από όλα, χαρά με τα αγαπημένα σας πρόσωπα και δημιουργικότητα! -
Χρόνια πολλά Διονύση Μάργαρη, χρόνια πολλά Διονύσηδες του δικτύου. Καλές γιορτές σε όλους.
-
Χρόνια πολλά για τους Διονύσηδες της παρέας μας και ιδιαίτερα στους Διονύση Μάργαρη και Διονύση Μητρόπουλο!
-
Χρήστο, Ελευθερία, Σπύρο και Βασίλη, σας ευχαριστώ για τις ευχές.
Καλά Χριστούγεννα και καλές γιορτές. -
Στον Διονύση Μάργαρη και Διονύση Μητρόπουλο ευχές
για υγεία, χαρά, δημιουργικότητα!
Να χαίρονται και να τους χαίρονται τα αγαπημένα τους πρόσωπα.
Τις πιο θερμές ευχές και σε όλους τους Διονύσηδες του ylikonet. -
Χρόνια πολλά στους Διονύσηδες και ιδαίτερα στο Μάργαρη.
Καλές γιορτές σε όλους. -
Καλημέρα Άρη, καλημέρα Ντίνο.
Σας ευχαριστώ για τις ευχές.
Καλές γιορτές με υγεία! -
Χρόνια πολλά σε όσους και όσες γιορτάζουν σήμερα!
Ιδιαίτερες ευχές στο Χρήστο Αγριόδημα!
Επίσης ιδιαίτερες ευχές στο Διονύση Μάργαρη και στο Διονύση Μητρόπουλο για τη γιορτή τους έστω και καθυστερημένα…
-
Χρόνια πολλά σε όλους. Ειδικότερα στους εορτάζοντες.
-
Χρόνια πολλά σε όλους, με υγεία!
Ιδιαίτερες ευχές σε όσους έχουν σήμερα την ονομαστική τους εορτή, Χρήστο Αγριόδημα, Χρήστο Τσουκάτο, Χρήστο Παπανικολάου, Χρήστο Βασιλειάδη και Χρήστο Κοτσακινό. -
Χρόνια πολλά και καλά Χριστούγεννα σε όλους.
Ιδιαίτερες ευχές στον Χρήστο Αγριόδημα. -
Χρόνια πολλά σε όλους! Ιδιαίτερες ευχές σε όσους έχουν την ονομαστική τους εορτή. Πολύχρονοι Χρήστο Αγριόδημα και Χρήστο Βασιλειάδη.
-
Καλά Χριστούγεννα στην οικογένεια του υλικονέτ με υγεία, χαρά και δημιουργικότητα! Χρόνια πολλά στο Χρήατο Αγριόδημα, Χρήστο Βασιλειάδη, Χρήστο Κοτσακινό, Χρήστο Τσουκάτο και Χρήστο Δρακόπουλο για την ονομαστική γιορτή τους!
-
Χρόνια πολλά στους κατοικούντες και παρεπιδημούντες της νησίδας!
Χρόνια πολλά με υγεία στο Χρήστο Αγριόδημα -
Χρόνια πολλά στον Χρήστο Αγριόδημα και σε όλους τους λοιπούς εορτάζοντες!
-
Αποστόλη, Δημητρη, Ντινο, Διονύση, Βασίλη, Παύλο, Παντελή και Παναγιώτη χρόνια πολλά. Σας ευχαριστώ γιατις ευχές.
Εύχομαι και εγω χρόνια πολλά σε όλους με υγεία και ευτυχία. -
Χρόνια πολλά Χρήστο Αγριόδημα, χρόνια πολλά σε όλους τους Χρήστους και τις Χριστίνες. Καλές γιορτές
-
Χρόνια πολλά σε όλους!
Ιδιαίτερες ευχές στον Χρήστο Αγριόδημα για την ονομαστική του εορτή. -
Xρόνια πολλά σε όλους τους Χρήστους και τις Χριστίνες του ylikonet.
Χρόνια πολλά Χρήστο Αγριόδημα, -
Χρόνια πολλά και καλά Χριστούγεννα σε όλους, με υγεία!
Ιδιαίτερες ευχές στο Χρήστο Αγριόδημα.
Καλές γιορτές! -
Ευχαριστώ τα μέλη του ylikonet για τις ευχές τους! Από εμένα ευχές για υγεία και κάθε καλό σε όλους τους εορτάζοντες Χρήστους, Χριστίνες και Μανώληδες (είτε σήμερα είτε αύριο…)
-
Σπύρο, Δημήτρη, Άρη, Μίλτο και Χρήστο
Χρόνια πολλά. Ευχαριστώ για τις ευχές.
Σύντομα να ανταμώσουμε. -
Χρόνια πολλά σε όλους και ιδιαίτερες ευχές στους εορτάζοντες και το φιλο Χρήστο Αγριοδημα
-
Χρόνια πολλά στους φίλους που γιορτάζουν σήμερα. Χρόνια πολλά στον Μανώλη Δρακάκη, τον Μανώλη Λαμπράκη, τον Μανώλη Χανιωτάκη, τον Μανόλη Μαργαρίτη και τον Μανόλη Κουσλόγλου!
-
Χρόνια Πολλά στους σημερινούς εορτάζοντες.
Ιδιαίτερες ευχές σε κάθε Μανώλη, μέλος του δικτύου μας, που γιορτάζει σήμερα (αφού κάποιοι γιόρταζαν χθες…), στον Μανώλη Δρακάκη, τον Μανώλη Λαμπράκη, τον Μανώλη Χανιωτάκη, τον Μανόλη Μαργαρίτη και τον Μανόλη Κουσλόγλου! -
Χρόνια Πολλά με Υγεία και Δημιουργικότητα !
Ιδιαίτερες ευχές στους εορτάζοντες των ημερών :
Χρήστο Αγριόδημα, Χρήστο Παπανικολάου, Χρήστο Βασιλειάδη, Μανώλη Δρακάκη,
τον Μανώλη Λαμπράκη, τον Μανώλη Χανιωτάκη, τον Μανόλη Μαργαρίτη.
Εύχομαι να είμαστε όλοι καλά να ανταλλάσουμε σκέψεις – προβληματισμούς μέσω
του δικτύου (ylikonet) .
-
Χρόνια πολλά στους εορτάζοντες του δικτύου μας. Ιδιαότερες ευχές στο Χρήστο Αγριόδημα.
-
Χρόνια πολλά στους εορτάζοντες της νησίδας .
Ιδιαίτερες οι ευχές μου στον Μανώλη Λαμπράκη, τον Μανώλη Δρακάκη, τον Μανώλη Χανιωτάκη. -
Χρόνια πολλά στους φίλους Μανώλη Λαμπράκη, Μανώλη Δρακάκη, Μανώλη Φραγκιαδουλάκη, Μανώλη Χανιωτάκη, Μανώλη Μαργαρίτη, Μανόλη Κουσλόγλου.
Με καθυστέρηση για κάποιους μια και οι Κρητικοί γιόρταζαν χθες.
-
Χρόνια πολλά στους Μανωληδες της παρέας!
-
Δημήτρη, Αντρέα και Κώστα σας ευχαριστώ για τις ευχές.
Χρόνια πολλά στους σημερινούς εορτάζοντες.
Χρόνια πολλά στον Μανόλη Λαμπράκη και Μανόλη Μαργαρίτη. -
Χρόνια Πολλά σε κάθε Στέφανο που γιορτάζει σήμερα.
Ιδιαίτερες ευχές στον Στέφανο Χατζηευσταθίου. -
Χρόνια πολλά στους φίλους που γιορτάζουν και ιδιαίτερα στο Στέφανο Χατζηευσταθίου!
-
Χρόνια πολλά σε όλους και με υγεία! Αν και καθυστερημένα Χρόνια Πολλά και καλά , ιδιαίτερα σε όσους γιορταζαν την ονομαστική τους εορτή αυτές τις μέρες!
-
-
H/o admin έγραψε ένα νέο άρθρο πριν από 1 έτος, 3 μήνες
Συνεστίαση ylikonet στις 5-1-2025
Το ylikonet καλεί τα μέλη και τους φίλους σε συνεστίαση, την Κυριακή 5 Ιανουαρίου 2025, στις 13:30 το μεσημέρι. Σας περιμένουμε στη Μπακαλοταβέρνα, στην ο […]-
παρών
-
Δεν είναι αρκετά νωρίς για να έχουμε επανέλθει στ κλεινον άστυ;
-
Νίκο και μεις να πούμε το παρόν. Έτσι;
Υ.Γ. Σε άκουσε ο Αποστόλης και μετά την ταβέρνα του Μανώλη θα γνωρίσεις και άλλο μέρος στο Χαλάνδρι!!!! -
Μια θέση και για μένα εκτός απροόπτου
-
Καλησπέρα παιδιά.
Κρατήστε μου μια θέση. Θα χαρώ πολύ να σας δω! -
Θα είμαστε όλοι εκει Αποστόλη…
-
Καλή Χρονιά σε όλους μας.Θα τα πούμε από κοντά.
-
Κι εγώ εκεί!
Λείπει ο Μάρτης από τη Σαρακοστή? -
Καλή αντάμωση..!
-
Ο Γιώργος (Σφυρής) και εγώ θα είμαστε εκεί με το καλό.
-
Θα έρθω και εγώ. Ελπιζω να μην είμαι η μόνη γυναίκα φυσικος για ακομη μια φορα στην ωραια παρεα, συναδέλφισσες τι λέτε;
-
Καλησπέρα.
Θα έρθω.
Καλή πρωτοχρονιά ! -
Καλή χρονιά σε όλους, δυστυχώς δεν θα καταφέρω αυτή τη φορά να κατέβω στη συνάντηση μας. Βασίλη έχεις διπλό ρόλο αυτή την φορά
-
Θα προσπαθήσω να είμαι εκεί και να ανταμώσουμε από κοντά!
Κρατήστε μου μία θέση. -
Θα έρθω και εγώ
-
Καλησπέρα! Λέω να έρθω.
-
Καλησπέρα.Θα είμαι εκτός Αθηνών. Έτσι δεν θα μπορέσω να έρθω . Καλά να περάσετε και χρόνια πολλά σε όλους.
-
Καλησπέρα. Μία θέση και για μένα.
-
Εκτός απροόπτου, θα έρθω και εγώ
-
Καλή χρονιά σε όλους!!!
Πιθανότατα θα τα πούμε από κοντά την Κυριακή. -
Εκτός απροόπτου θα τα πούμε από κοντά αύριο.
-
Καλησπέρα. Για να μην μπλεχτούμε, όπως βλέπω η Θουκυδίδου είναι πεζόδρομος, κάθετος στην Αγ. Παρασκευής. Σωστά; Επίσης, ποιο είναι το τηλέφωνο της ταβέρνας; Δεν έχει γραφεί σωστά (εγώ τουλάχιστον βλέπω 2100000000).
-
Γεια σου Γρηγόρη. Σωστά τα λες. Το τηλέφωνο το αντέγραψα από το διαδίκτυο. Προφανώς ο αριθμός δεν ισχύει και δεν έχουν τηλέφωνο, διότι δεν δέχονται κρατήσεις. Τα λέμε αύριο.
-
Ευχαριστώ Αποστόλη. Θα τα πούμε αύριο.
-
-
H/o admin έγραψε ένα νέο άρθρο πριν από 1 έτος, 3 μήνες
Χριστούγεννα με τον τρόπο του Ανδρέα
Έφυγε τέτοιες μέρες γιορτινές, πριν εννέα χρόνια. Ας τον θυμηθούμε με ένα επίκαιρο γραπτό του, εμπνευσμένο από την αγγλοσαξονική παράδοση για την επικ […]-
Ο Ανδρέας με την εννοιολογική και ταυτόχρονα ποιητική του γλώσσα , μας γοητεύει και μας εμπνέει .
-
Να τον θυμηθούμε και να τον μνημονεύσουμε, μέρες που είναι τον Ανδρέα, αν και είναι από τους ανθρώπους που είναι πάντα μαζί μας, στη σκέψη μας, στις παρέες μας, από τη μέρα που τον γνωρίσαμε, ανεξάρτητα αν κάποια στιγμή εγκατέλειψε τον κόσμο τούτο.
-
Καλημέρα και χρόνια πολλά σε όλους , ευχαριστούμε για την υπέροχη ανάρτηση / ανάμνηση!
-
Καλημέρα και χρόνια πολλά με υγεία.
Όπως το λες Διονύση…“είναι από τους ανθρώπους που είναι πάντα μαζί μας, στη σκέψη μας, στις παρέες μας, από τη μέρα που τον γνωρίσαμε, ανεξάρτητα αν κάποια στιγμή εγκατέλειψε τον κόσμο τούτο.”
Εγκατέλειψε …ακούσια ,όμως “ΤΟ ΦΑΝΤΑΣΜΑ ΤΟΥ Λεονάρντο” κατέβηκε πάλι από το πάνω ράφι της βιβλιοθήκης και με το που διαβάζεις τον πρόλογο ,σε έλκει να δεις το γιατί ένοιωσε την ανάγκη να “αυθαδιάσει “…και να μιλήσει για τον εσωτερικό δεσμό που υπάρχει ανάμεσα σ’όλα τα πράγματα …και σε συνδέει συνειρμικά με παρελθόντα γεγονότα εντός και εκτός των “τειχών”.
Έτσι και η παρούσα …
Κερί, λύχνοι με μονό ,διπλό ή και τριπλό φυτίλι ,λάμπες με επίπεδο φυτίλι ή με κυλινδρικό (!) και το γυαλί για φουγάρο με τη μεταλλική φουρκέτα πάνω του χρήσιμη για τη σύντομη μεταφορά θερμότητας στο πάνω μέρος ώστε να αποφευχθεί το σπάσιμο του γυαλιού από ανομοιόμορφη διαστολή . Κι όλα αυτά τα ζήσαμε οι παλιότεροι και προσωπικά θυμάμαι …στους χοχλιούς με λύχνο, διάβασμα σ’όλο το Δημοτικό με το ζεστό φώς της λάμπας, που και τώρα στις μοναξιές του χωριού το χρησιμοποιώ αναπολώντας και “αυθαδιάζοντας” τη σύγχρονη τεχνολογία .
Ξέφυγα από το κερί όμως και ήθελα να πω πως στις φυσικές κουβέντες με τον εγγονό τον ρώτησα να προβλέψει πόσο κοντά στη φλόγα μπορεί να πλησιάσει το δαχτυλάκι του και δοκιμάζοντας ένοιωσε τη μεταφορά θερμότητας προς τα πάνω όπου είχε βάλει το δαχτυλάκι ,μένοντας έκπληκτος όταν με είδε να πλησιάζω το δάκτυλό μου σχεδόν ακουμπώντας τη φλογίτσα στη βάση της όμως ,στο πλάι δηλαδή και να τ’αφήνω αρκετό χρόνο χωρίς δυσάρεστη ενόχληση .
Να νοιώθετε όλοι καλά και με το καλό να περάσουμε στη νέα χρονιά -
Φλόγα και λόγος: δύο λέξεις με κοινά γράμματα που και σε αυτό το κείμενο ο Ανδρέας ταίριαξε το νόημά τους.
-
Θεωρώ ότι είναι άλλο το “κλίμα” στην ανάρτηση του ίδιου, το μαύρο χρώμα, οι εικόνες και η γράμματοσειρά που χρησιμοποιούσε, τίποτα δεν ήταν τυχαίο.
Στην wikipedia πρέπει να μπούν και άλλοι σύνδεσμοι.
Ήταν μοναδικός.
-
Ποσο διαφορετικά θα ήταν τα πράγματα στην εκπαιδευση της φυσικης αν ζουσε ο Ανδρέας. Και ποσο θα ειχε βοηθησει στη μαχη εναντιον της ψευδοεπιστημης με το κυρος και την επιρροή του .
-
-
H/o admin έγραψε ένα νέο άρθρο πριν από 1 έτος, 3 μήνες
εικονικές επισκέψεις και πείραμα ΑΤΛΑΣ
Αγαπητοί συνάδελφοι, σας ενημερώνουμε ότι υπάρχει δυνατότητα εικονικών επισκέψεων στις υπόγειες εγκαταστάσεις του πειράματος ΑΤΛΑΣ στον επιταχυντή LHC το […] -
H/o admin έγραψε ένα νέο άρθρο πριν από 1 έτος, 3 μήνες
Ελάχιστες Βάσεις Εισαγωγής 2025
Από το Υπουργείο Παιδείας, Θρησκευμάτων και Αθλητισμού ανακοινώνεται ότι υπεγράφη και αποστέλλεται προς δημοσίευση στο Εθνικό Τυπογραφείο η Φ.253/151198 […] -
H/o admin έγραψε ένα νέο άρθρο πριν από 1 έτος, 6 μήνες
Παρουσιάσεις 12 και 19 Οκτωβρίου 2024
Αγαπητοί συνάδελφοι, σας προσκαλούμε στην διαδικτυακή παρουσίαση των Ελληνικών εργασιών που συμμετείχαν στο 13ο Πανευρωπαϊκό φεστιβάλ «Οι Φυσικές Επ […] -
H/o admin έγραψε ένα νέο άρθρο πριν από 1 έτος, 6 μήνες
Ποιοι ή ποιες κερδίζουν τα Βραβεία Νόμπελ;
Εν αναμονή της ανακοίνωσης των Βραβείων Νόμπελ το περιοδικό Nature δημοσίευσε ένα άρθρο που δείχνει τι έχουν σπουδάσει οι προηγούμενοι βραβευμένοι, σε ποια […] -
H/o admin έγραψε ένα νέο άρθρο πριν από 1 έτος, 6 μήνες
Η Ένωση Εκπαιδευτικών Εικαστικών Μαθημάτων για την Ψηφιακή Εκπαίδευση
Τηλε-Φροντιστήριο: Μια φαντεζί βιτρίνα για τα Πανελλαδικώς εξεταζόμενα μαθήματα Ελευθέρου και Γραμμικού Σχεδίου Εμείς, οι εκπαιδευτικοί εικαστι […] -
H/o admin έγραψε ένα νέο άρθρο πριν από 1 έτος, 6 μήνες
Δελτίο τύπου της ΟΙΕΛΕ για τα εκπαιδευτικά funds
ΔΕΛΤΙΟ ΤΥΠΟΥ Νάρκη σε δημόσια και ιδιωτική εκπαίδευση; Έντονη φημολογία για συμφωνία εκπαιδευτικών funds και κυβέρνησης με σαρωτικές αλλαγέ […] -
H/o admin έγραψε ένα νέο άρθρο πριν από 1 έτος, 7 μήνες
Θέματα Πανελλαδικών Εξετάσεων (επαν.) στη Φυσική 2024
Δείτε τα σημερινά θέματα των επαναληπτικών πανελλαδικών εξετάσεων στο μάθημα της Φυσικής: ΦΥΣΙΚΗ ΦΥΣΙΚΗ – ΕΛΛΗΝΩΝ ΕΞΩΤΕΡΙΚΟΥ Οι λύσεις από το […]-
Καλό απόγευμα σε όλους.
Μια πρώτη απορία (με την πρώτη ανάγνωση). Ερώτηση Β3:https://arxeialykeioy.wordpress.com/wp-content/uploads/2024/09/6dr.png
Γιατί ενδιαφέρει η στιγμή που αρχίζει η έξοδος, αφού τα ερωτήματα δεν αφορούν καθόλου την έξοδο από το πεδίο του πλαισίου;
Δεν αρκούσε το χρονικό διάστημα 0-t1; -
Γεια σου Διονύση.
Καταλαβαίνω ότι μέχρι την t1/2 η δύναμη είναι σταθερή και από t1/2 μέχρι t1 είναι μηδέν. -
Σωστά Γιάννη.
Η απορία μου είναι γιατί σχεδιάστηκε το σημείο εξόδου, αφού δεν ασχολούμαστε με την έξοδο.
Δεν θα αρκούσε μια διατύπωση όπως “μέχρι τη στιγμή t1 που το πλαίσιο έχει μετακινηθεί κατά d μέσα στο πεδίο”; -
Δεν καταλαβαίνω τη διαφορά.
Όταν τρέξει d είναι έτοιμο να βγει. Τι σκέφτηκες; -
Μήπως εννοείς ότι το πεδίο θα μπορούσε να μην είχε τέλος;
-
Γεια σας Διονυση και Γιάννη. Εγω ενοχλουμαι που γραφει “εισερχεται” που ειναι φλου και μετα γραφει “αρχιζει να εξερχεται” που ειναι σαφες,. Γραψιμο στο ποδι χωρις μεθοδο..
-
Γεια σου Κωνσταντίνε.
Συμφωνώ για την διατύπωση.
Ναι Γιάννη. Τα ερωτήματα δεν αφορούν την έξοδο, άρα δεν είναι ανάγκη να σχεδιαστεί το τέλος του μαγνητικού πεδίου και να αναφερθεί ότι άρχίζει η έξοδος.
Το σχήμα και η διατύπωση σε “προετοιμάζει” να μελετήσεις είσοδο-έξοδο!
Είναι, ας το πούμε, επιπλέον δεδομένο. -
Διονυση στο θεμα Α1 λεει οτι την χρονικη στιγμη t=0 κλεινει ο διακοπτης.Αυτο το δεδομενο σε τι χρειαζεται? Και εγω σημερα την χρονικη στιγμη t=0 ηπια καφέ.
-
Τα Β΄ θέματα ακολουθούν την παράδοση. Είναι ασκήσεις.
Το Δ΄ , παρά την διαφαινόμενη διάθεση θεραπείας, εμφανίζει τα συμπτώματα της συνδυαστικότητας. Έχω βαρεθεί ελατήρια κρεμασμένα από ράβδους. -
Κωνσταντίνε αυτό είναι κατάλοιπο των χρονοκυκλωμάτων όπου ακολουθούσε κάποια άλλη στιγμή …
-
Για όσους έχουν βαρεθεί τα ελατήρια κρεμασμένα από ράβδους.
Μπορούμε να βάλουμε κάτι σαν αυτό:
https://i.ibb.co/fpydrjL/7781.png
Εντάξει Γιάννη; 🙂 🙂 -
Διονύση υπήρξαν ταινίες που θέλησαν να συνδυάσουν το γουέστερν με εξωγήινους.
Άλλες που συνδύασαν αστυνομικό με βιολιστή στη στέγη.
Άλλες Ζορό με Μασίστα.
Καμιά δεν μου άρεσε. -
Καλησπέρα παιδιά. Γιάννη πήγα να πνιγώ με ένα φιστίκι, όταν διάβασα “γουέστερν με εξωγήινους”. Το έψαξα λίγο και είναι αλήθεια!
https://i.ibb.co/C1Ddg5q/unnamed12.jpg
Με το εξάσφαιρο colt, αν είσαι ο Χάρισον Φορντ και ο Ντάνιελ Κρεγκ, δεν έχουν τύχη οι εξωγήινοι…Όσον αφορά την Ολίβια Γουάιλντ είναι σοβαρός λόγος να δει κανεις την ταινία…γ) Στο φωτοηλεκτρικό φαινόμενο ο αριθμός παραγωγής φωτοηλεκτρονίων από τη μεταλλική κάθοδο αυξάνει ανάλογα με τη συχνότητα της προσπίπτουσας ακτινοβολίας.
Εννοεί ο ρυθμός παραγωγής ή ο αριθμός των φωτοηλεκτρονίων;
Γιατί serial production number είναι άλλο… -
Καλησπέρα σε όλους
Συμφωνώ με τα λεγόμενά σας. Ωστόσο μου αρέσουν πιο πολύ από αυτά του Ιουνίου.
Κάθισα και τα έλυσα αναλυτικά. Τα β θέματα μου αρέσουν. Θα συμφωνήσω ότι έχουν καταντήσει να είναι ερωτήματα ακήσεων αλλά πιο ωραία από του Ιουνίου.Το Γ μου άρεσε η δομή του στο σύνολο χωρίς κάποια ιδιαίτερη δυσκολία.
Στο τέταρτο θέμα είναι τα ερωτήματα τέτοια ώστε να μην εμπλέοκονται η ταλάντωση και η ράβδος καθώς όταν χάνεται η επαφή των σωμάτων και ζητείται η τάση του νήματος το σώμα είναι στο Φ.Μ. και δεν ασκεί δύναμη στη ράβδο με αποτέλεσμα να είναι μια απλή ισορροπία.
-
Στο Γ θέμα των ομογενών χρειάζεται κάπου η απόσταση ΓΔ και το μαγνητικό πεδίο Β2; Αυτά χρησιμοποιούνται στο Γ4 των ημερήσιων..
-
Και φυσικά δυο μέτρα και δυο σταθμά
https://i.ibb.co/2MsdjL8/23.jpg -
Γενικά μου αρέσαν τα θέματα.
Το Γ είναι η άσκηση του σχολικού βιβλίου με το φασματογράφο μάζας και τα ιόντα χλωρίου. Η κβαντική σε Β θέμα αναμενόμενο.
Στο Δ όπως λέει και ο Χρήστος εφόσον ζητάει την τάση του νήματος τη στιγμή που χάνεται η επαφή έχουμε στην ουσία ράβδο δεμένη με σχοινί.
Ανδρέα Συγκρίνεις τα ημερήσια με τα των ομογενών που παραδοσιακά είναι πιο εύκολα. Αλλά και έτσι δεν “κλέβει” ο ένας τις θέσεις του άλλου καθώς είναι ξεχωριστές! -
Καλησπέρα σε όλους, χωρίς χαρτί κα μολύβι, η αίσθηση είναι πως τα θέματα
είναι 40% – 50% ευκολότερα από τα αντίστοιχα του Ιουνίου.Αυτό σίγουρα είναι διορθωτική κίνηση προς τη σωστή κατεύθυνση.
Το θέμα Α αποτελείται από ερωτήσεις ανάκλησης γνώσης, με εξαίρεση την Α3
που απαιτεί βαθύτερη γνώση, αλλά στα όρια του επιτρεπτούΤο Β1 πρώτο ξαδελφάκι του Β1 των θεμάτων Ιουνίου του 2023, μόνο που το 2023
το κύμα ήταν εγκάρσιο αρμονικό ενώ τώρα εγκάρσιο απλό αρμονικό και τα σημεία
της χορδής εκτελούν ΑΑΤ (!!!!!!!)Τον Ιούνιο υπήρξε ερώτημα απόδειξης σχέσης από θεωρία, κάτι που δεν επαναλήφθηκε τώρα, αλλά προτιμήθηκε το Θέμα Γ να είναι αυτούσια
η άσκηση 4.64 σελ. 179, τεύχος Β (μέχρι και ίδιες τιμές)
Εντάξει, υπήρχε και το σχήμα έτοιμο από το Θέμα Β3 του 2023,
οπότε όλα πιο εύκολα…Ίσως η καλοκαιρινή ραστώνη και η αποχή από τον Η/Μ δεν βοήθησε για κάτι
πιο πρωτότυπο….Το Θέμα Δ, ό,τι πιο γνώριμο από μοντέλο ράβδου σε ισορροπία και απλού
αρμονικού ταλαντωτή. Γενικά προσεγμένο και αναμενόμενο χωρίς εκπλήξεις.Δεν κατάλαβα τη φράση:
“Ασκώντας σταθερή κατακόρυφη δύναμη με φορά προς τα κάτω στο σώμα Σ2,
το σύστημα των δύο σωμάτων ισορροπεί με το ελατήριο να έχει συμπιεστεί κατά
Δl=0,3m”Τί σημαίνει “σταθερή δύναμη” ;
Θα μπορούσε “το σύστημα των δύο σωμάτων να ισορροπεί με το ελατήριο να έχει συμπιεστεί κατά Δl=0,3m” αλλά η δύναμη να μην ήταν σταθερή;;;
-
Καλησπέρα σας. Δεν ασχολήθηκα αναλυτικά ακόμη με τα θέματα, εκτός από το Β2 (μου τράβηξε το ενδιαφέρον το δεδομένο της γωνίας θ για το ηλεκτρόνιο!) και παραθέτω μία λύση (ελπίζω σωστή και όχι κουραστική!).
Ήλπιζα σε διατήρηση των αποδεικτικών ερωτήσεων θεωρίας… -
Καλησπέρα Μίλτο, η λύση που κάνεις στο Β2 είναι απόλυτα σωστή
και προσωπικά αδυνατώ να βρω κάποια συντομότερη.Ομολογώ πως βιάστηκα να χαρακτηρίσω τα θέματα 40%-50% πιο εύκολα
από τον Ιούνιο… το συγκεκριμένο ερώτημα δύσκολα θα απαντηθεί…
οπότε ας περιοριστώ στο 30% πιο εύκολα…Εδώ όμως τίθεται ένα ΤΕΡΑΣΤΙΟ ερώτημα που πρέπει κάποτε ως υπεύθυνοι
δάσκαλοι-παιδαγωγοί να πάρουμε θέση…Πού βρίσκεται η δυσκολία στο Β2;
Στη γνώση φυσικών νόμων που διέπουν το φαινόμενο ή στον απαιτούμενο φορμαλισμό;;;;
Η σχέση Compton δίνεται στο τυπολόγιο, άρα έχει ΜΗΔΕΝΙΚΗ αξία…
Η εφαρμογή της ΑΔΟ είναι η μοναδική γνώση φυσικής που εξετάζεται
Ο μαθητής που έχει εξασκηθεί στη ΜΗ κεντρική κρούση εύκολα μπορεί
να γράψει την ΑΔΟ για τα μέτρα των ορμών και την ΑΔΟ στον άξονα yýΑυτό κατά τη γνώμη μου είναι επιθυμητή εξέταση γνώσης φυσικής
Όμως, για να φτάσει στη σωστή επιλογή απάντησης, πρέπει να ακολουθήσει
στη συνέχεια μια συγκεκριμένη διαδρομή που επιθυμεί ο θεματοδότης…Το έργο το είχαμε δει να επαναλαμβάνεται στα θέματα Β των ρευστών
Δεν αρκούσε η σωστή γραφή των εξισώσεων συνέχειας και Bernoulli αλλά
έπρεπε ο εξεταζόμενος να ακολουθήσει το μονοπάτι υπολογισμών που επιθυμούσε
ο θεματοδότης….Αυτό δεν είναι εξέταση φυσικής…. πρέπει κάποτε να σταματήσει…
Πρέπει ήδη να είχε σταματήσει….
-
Καλησπέρα συνάδελφοι. Τα θέματα Γ και Δ σαφώς πιο μετρημένα, ενώ τα Β θέματα κανονικές ασκήσεις. Γνωρίζουμε τι απαντά η επιτροπή για το Α5δ;
-
Βέβαια, αυτό φαίνεται να μην απασχολεί κανέναν στην ΚΕΕ
Γνωρίζουμε όλοι πως τα θέματα ομογενών επιλέγονται να είναι ευκολότερα…
Τί επέλεξαν για ευκολότερα θέματα;;;
Να κόψουν το Β3(β) που εξετάζει βασική γνώση φυσικής με ελάχιστο φορμαλισμό
και να αφήσουν το Β2 που εξετάζει μικρό εύρος γνώσης φυσικής αλλά δυσκολεύει και κουράζει λόγω φορμαλισμού….Δεν είναι δυνατόν αυτά να μην γίνονται αντιληπτά…..
-
Ανέβηκα και οι λύσεις από τον Παύλο Αλεξόπουλο.
-
Οι λύσεις των επαναληπτικών εξετάσεων σε pdf. Την βελτίωση της μορφής και τον έλεγχο ανέλαβε ο Βασίλης Δουκατζής και τον ευχαριστώ πολύ!
-
Γεια σου Αποστόλη.
Να υποθέσω ότι στο Α5δ θα ήθελες να λέει ότι είναι αρχικά ακίνητο το στέρεο; -
Θοδωρή επειδή ο Μίλτος γράφει πολλά!!! Αυτή σου κάνει;
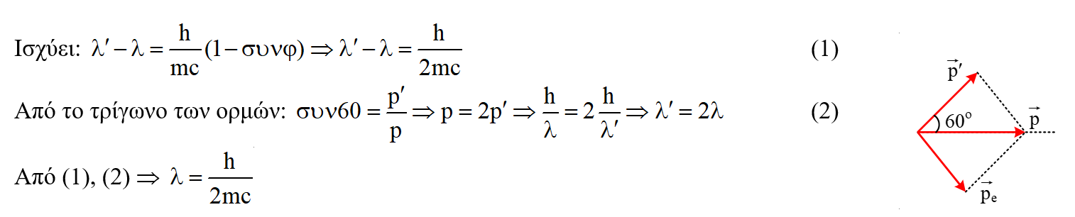
https://ylikonet.gr/wp-content/uploads/2024/09/Compton.png -
Δεν ξέρω για τον Θοδωρή, αλλά εμένα Βασίλη μου κάνει και μου άρεσε! Αρκεί βέβαια να προσθέσουμε στο σχήμα και την άλλη γωνία, ώστε να φανεί ότι δουλεύεις σε ορθογώνιο τρίγωνο.
Είπα πολλά και κουραστικά τελικά!!
-
Καλημέρα Βασίλη, προφανώς η λύση που προτείνεις είναι η συντομότερη.
Δεν εκτιμώ όμως πως “ακυρώνει” το νόημα όσων έγραψα.
Ας το επαναλάβω…..
Κάποια από τα θέματα Β, το συγκεκριμένο και αρκετά Β θέματα παλαιότερα,
δεν περιορίζονται σε γνώση φυσικής αλλά απαιτούν συγκεκριμένο φορμαλισμό..Κάτι ανάλογο με το φετινό Β2 το οποίο βέβαια μπορούσε να απαντηθεί με μία
απλή διαίρεση….αντί για το συγκεκριμένο σενάριο…του θεματοδότηΕκτιμώ πως αυτό αποπροσανατολίζει το στόχο της εξέτασης…ειδικά σε μαθητές προσανατολισμού Υγείας….
Ας ιεραρχήσουμε τί εξετάζουμε :
-γνώση φυσικής
-αντίληψη των νόμων φυσικής που πρέπει να χρησιμοποιηθούν για την απάντηση
-εφαρμογή τύπων που βρίσκονται στο τυπολόγιο
-εφαρμογή τύπων και “πονηρό” φορμαλισμό
-ποιος είναι πιο “μάγκας” και αναγνωρίζει τη συντομότερη λύση
-
Καλημέρα σε όλους.
Ανέβηκαν τα θέματα σε Word. Μια προσφορά από τον Χρήστο Τσουκάτο, τον οποίο ευχαριστώ και από εδώ.
Θέματα επαναληπτικών, Θέματα Ομογενών. -
Aυτο Γιάννη σου αρεσε;
-
Καλημέρα Θοδωρή και Μίλτο!
Μίλτο το σχήμα έγινε όπως βλέπεις πρόχειρα (δεν είναι και τόσο ορθές οι γωνίες!!!!)
Θοδωρή έχεις δίκιο για τα Β που έχουν καταντήσει ασκήσεις δίχως νούμερα ή αυτό που λέμε μεθοδολογία ή φορμαλισμό όπως λέμε. Αλλιώς ξεκίνησε πριν 20+ χρόνια με απλή γνώση θεωρίας και καταλήξαμε εδώ. -
Καλημέρα στη νησίδα
Η ματιά μου σε δυό θέματα
Στο Β1 αρέσκομαι στη “γραφικότητα” . Για τον πλουραλισμό λοιπόν της λύσης μια ¨γραφική” ματιά παρακολουθώντας το κύμα να τρέχει και φωτογραφίζοντας
https://i.ibb.co/BcmXMvQ/1-2024.png
Στο θέμα Δ ,στην εκφώνηση (συμφωνώντας με την παρατήρηση του Θοδωρή) ,η έκφραση …
“Ασκώντας σταθερή κατακόρυφη δύναμη F με φορά προς τα κάτω στο σώμα Σ2, το σύστημα των δύο σωμάτων ισορροπεί με το ελατήριο να έχει συμπιεστεί κατά Δ ℓ = 0,3 m. “
θα ήταν καλό να είχε συμπληρωθεί με την …” όπως φαίνεται στο σχήμα” διότι ο μαθητής γνωρίζει ότι αν το σχήμα δείχνει την κατάσταση τη στιγμή που ασκείται “σταθερή δύναμη” τότε η συνέχεια είναι …ταλάντωση του συστήματος και θα ψάχνεται … μέχρι να συμπεράνει από τις ερωτήσεις τι θέλει ο “ποιητής” .
Ο λόγος που αναφέρομαι στην παραπάνω περίπτωση είναι ο εξής: όταν η εκφώνηση συνοδεύεται από σχήμα θα πρέπει οι εκφράσεις που αναφέρονται στο σχήμα να είναι συμβατές μ’αυτό. -
Καλημέρα.
Για το Β2 επειδη φ+θ=90 ==> p’ _|_ pe . Αρα συνφ = p’ / p ==> λ’ = 2λ (1)
έχουμε : λ’ – λ = λc * (1-συνφ) =(1)==> λ = λc/2 —> λ = h/(2*m*c) —> (I)
-
Γεια σου Κώστα.
Ναι, αυτή φαντάζει ως η συντομότερη λύση στο Β2, την οποία ανέδειξε και ο Βασίλης σε προηγούμενο σχόλιο παραπάνω. -
Γεια σου Μίλτο. Με ρώτησες:
“Να υποθέσω ότι στο Α5δ θα ήθελες να λέει ότι είναι αρχικά ακίνητο το στερεό;”
Νομίζω ότι ο στόχος του ερωτήματος ήταν η επίδραση ζεύγους σε ακίνητο στερεό. Με αυτή τη διατύπωση θα μπορούσε κάποιος να προβληματιστεί και να χάσει χρόνο στο τι να απαντήσει… -
Καλημερα Μιλτο .
Δεν ειχα δει του Βασιλη ηταν “παλιο” σχολιο και ειχα επικεντρωθει στην λύση του θεματος Β σημερα το πρωι ……. -
Καλημέρα και χρόνια πολλά!
Μία απορία: Τι αρχική φάση έχει η ταλάντωση στο Δ των ομογενών; -
Άκυρο το προηγούμενο σχόλιο! Όλα καλά παρασύρθηκα από το αρχείο word του Χρήστου που μάλλον από το copy paste στα ίδια πράγματα του ξέφυγε!!!
Οπότε όποιος κατεβάσει το αρχείο word να θυμηθεί να αλλάξει τη θετική φορά προς τα κάτω!!!
-
-
H/o admin έγραψε ένα νέο άρθρο πριν από 1 έτος, 7 μήνες
Επαναληπτικές πανελλαδικές εξετάσεις 2024
Δείτε παρακάτω τα θέματα σε όλα τα μαθήματα των πανελλαδικών εξετάσεων, του Σεπτεμβρίου 2024: ΝΕΟΕΛΛΗΝΙΚΗ ΓΛΩΣΣΑ ΚΑΙ ΛΟΓΟΤΕΧΝΙΑ ΝΕΟΕ […] -
H/o admin έγραψε ένα νέο άρθρο πριν από 1 έτος, 7 μήνες
Θέματα Χημείας στις Πανελλαδικές (επαν.) Εξετάσεις 2024
Δείτε τα σημερινά θέματα Χημείας, στις επαναπληπτικές πανελλαδικές εξετάσεις 2024 Θέματα Χημείας ΧΗΜΕΙΑ – ΕΛΛΗΝΩΝ ΕΞΩΤΕΡΙΚΟΥ Οι λύσεις των θεμάτων από τον Αντώνη Χρονάκη -
H/o admin έγραψε ένα νέο άρθρο πριν από 1 έτος, 8 μήνες
Διεθνής επιτυχία Ελλήνων καθηγητών Φ.E.
Ομάδα Ελλήνων εκπαιδευτικών κέρδισε δύο βραβεία (European STEM Teacher Award) και πολλές διακρίσεις στο 13ο Πανευρωπαϊκό φεστιβάλ «Οι Φυσικές […]-
Καλημέρα σε όλους.
Ήμουν εκεί!
Η δεύτερη (όρθια) από αριστερά είναι η σύζυγός μου. -
Συγχαρητήρια στην σύζυγο και σε όλη την ομάδα Βασίλη.
-
Γειά σου και πάλι Ανδρέα.
Σε ευχαριστώ πολύ!
Συγχαρητήρια σε όλη την ομάδα φυσικά, γιατί ήταν υπέροχη και υπέροχοι!
Να είσαι πάντα καλά! -
ο τίτλος του φεστιβάλ “Οι Φυσικές Επιστήμες στο Προσκήνιο” και οι διακρίσεις της ομάδας, πετυχαίνουν και να διαδίδονται οι επιστήμες και να αναδεικνύεται το δυναμικό της χώρας μας.
Μπράβο σε όλους..
-
Συγχαρητήρια στη σύζυγο και στην ομάδα.
-
Με ιδιαίτερο ενθουσιασμό και βαθύ σεβασμό, εκφράζω τα θερμά μου συγχαρητήρια προς όλους τους συμμετέχοντες. Ειδικότερα, νιώθω την ανάγκη να εξάρω την εξαιρετική συμβολή της Τζένης Τσιτοπούλου, η οποία, παρά το γεγονός ότι βρίσκεται πλέον στη συνταξιοδότηση, συνεχίζει ακούραστα να προσφέρει ανεκτίμητες υπηρεσίες στην εκπαίδευση της Φυσικής. Η αφοσίωσή της, όπως αποτυπώνεται στην οργάνωση του Science on Stage για την Ελλάδα και τα θερινά σχολεία για τους φυσικούς στο CERN, αποτελεί έργο μέγιστης σημασίας και απαιτητικότητας.
Η προσφορά της Τζένης Τσιτοπούλου είναι πραγματικά ανεκτίμητη. Με το τεράστιο έργο της και τον ακάματο κόπο της, θέτει το πρότυπο για την εκπαιδευτική κοινότητα των φυσικών, δείχνοντας το δρόμο προς την πραγματική αριστεία. Εάν είχαμε δέκα ακόμη εκπαιδευτικούς σαν την Τσιτοπούλου, η εκπαίδευση της Φυσικής στην Ελλάδα θα είχε ήδη φτάσει σε άλλα επίπεδα.
Τζένη, αποτελείς το απόλυτο πρότυπο για μένα και σε ευχαριστώ από τα βάθη της καρδιάς μου για τη συνεισφορά σου και τον ανεξάντλητο ζήλο σου. -
Η ελληνική αποστολή άφησε άριστες εντυπώσεις στο φεστιβάλ φυσικών επιστημών στην Φινλανδία!
Πολλές ευχαριστίες και συγχαρητήρια στην κύρια Τζένη Τσιτοπούλου, υπεύθυνη της Ελληνικής Συντονιστικής Επιτροπής του προγράμματος, για την οργάνωση, καθοδήγηση και υποστήριξη που προσφέρει στην ελληνική ομάδα. Η προσφορά της στο χώρο των φυσικών επιστημών είναι ανεκτίμητη! -
Είναι ζωτικής σημασίας να αναγνωρίζεται και να εκτιμάται η προσφορά ενός συναδέλφου προς την ευρύτερη εκπαιδευτική κοινότητα, καθώς αυτή η αναγνώριση δεν είναι πάντα δεδομένη. Η έλλειψη αναγνώρισης μπορεί να οδηγήσει σε σταδιακή αποδυνάμωση της αφοσίωσης και της διάθεσης για προσφορά. Ευτυχώς, στον χώρο της φυσικής, έχουμε το παράδειγμα της Τζένης Τσιτοπούλου. Παρά το γεγονός ότι θα μπορούσε, ως συνταξιούχος, να αποσυρθεί από το σπουδαίο έργο της, εκείνη επέλεξε να συνεχίσει να συνεισφέρει με αμείωτο ζήλο.
Η δέσμευσή της προς την εκπαίδευση και η αφοσίωσή της στην προώθηση της Φυσικής είναι πραγματικά αξιέπαινες. Προσωπικά, αισθάνομαι βαθύτατο θαυμασμό και ευγνωμοσύνη προς την Τζένη, καθώς το 2013 μου έδωσε την ανεκτίμητη ευκαιρία να συμμετάσχω στο εκπαιδευτικό πρόγραμμα στο CERN. Αυτό το ταξίδι δεν ήταν απλώς μια επαγγελματική εμπειρία· ήταν μια εμπειρία που κυριολεκτικά άλλαξε τη ζωή μου.
Τζένη, σε ευχαριστώ από καρδιάς για την ανιδιοτελή σου προσφορά και την έμπνευση που μας δίνεις. -
Συγχαρητήρια σε όλους τους εμπλεκόμενους και στη σύζυγο του Βασίλη.
-
Συγχαρητήρια σε όλη την ομάδα και προφανώς στην ψυχή της όλης προσπάθειας, στην Τζένη Τσιτοπούλου- Χριστοδουλίδη.
Συγχαρητήρια Βασίλη και στην σύζυγο για την επιτυχία της! -
Συγχαρητήρια σε όλους τους εμπλεκόμενους.
Είχα τη χαρά της συνεργασίας με την κυρία Γιαννακουδάκη Κέλλυ στο 1ο Γυμνάσιο Ηρακλείου! -
Συγχαρητήρια στους συμμετέχοντες και στη σύζυγο σου Βασίλη!
-
Καλημέρα.
Σας ευχαριστώ όλους για τα καλά λόγια και για μια φορά ακόμη συγχαρητήρια στην Ελληνική ομάδα! -
καλό μεσημέρι σε όλους
προφανώς τη γνωρίζω, πολλά χρόνια, από εν ενεργεία ων, ομότεχνη γαρ, αλλά και αδιόρθωτη, “βαρεμένη”,
δεν ησυχάζει, “δεν γίνεται ζάπι”, λέμε στην ιδιαίτερη πατρίδα μου τη ΝΑ Λακωνία,
μόνο αν τη δέσεις με κρίκο από τοίχο και της βάλλεις σιδερένια μπάρα στο πόδι…
φιλάκια Τζένη μας
και συγχαρητήρια στους συναδέλφους που επιμένουν να προσφέρουν
οι “παλιοί” χαιρόμαστε βρε…
-
-
H/o admin έγραψε ένα νέο άρθρο πριν από 1 έτος, 8 μήνες
Βάσεις εισαγωγής 2024
Ανακοινώθηκαν οι βάσεις και τα ονόματα των επιτυχόντων στην τριτοβάθμια εκπαίδευση και τις ΣΑΕΚ που συμμετείχαν στις Πανελλαδικές Εξετάσεις Οι ενδιαφερόμ […]-
Καλησπέρα σε όλους.
Το θαύμα πραγματοποιήθηκε πλέον.
Ολα τα τμήματα Φυσικής λειψά.
399 επιτυχόντες για 1012 θέσεις, καλά πάμε.
Του χρόνου ποιός ξέρει;;;; -
Καλησπέρα. Ίσως είναι γνωστό ότι τις παραμονές της άλωσης της Κωνσταντινούπολης , η κυρίαρχη συζήτηση μεταξύ των διαφόρων ελίτ ήταν περί του φύλου των αγγέλων. Το θυμήθηκα γιατί βλέποντας τη θλιβερή κατάσταση στην οποία έχουν περιέλθει τα άλλοτε κραταιά τμήματα Φυσικής (ΕΚΠΑ, ΑΠΘ) όπου στο τμήμα Φυσικής του ΑΠΘ με 54 επιτυχόντες σε σύνολο 146 θέσεων η βάση εισαγωγής ήταν πιο υψηλή από ότι στο τμήμα Φυσικής του ΕΚΠΑ με 93 επιτυχόντες σε σύνολο 157 θέσεων σκέφθηκα ότι και οι τελευταίοι πιστοί που θα ήθελαν να ασχοληθούν με αυτή την επιστήμη, μάλλον το έβαλαν στα πόδια προβληματισμένοι για το αν το ανοικτό κύκλωμα διαρρέεται από ρεύμα.
-
Γρηγόρη του χρόνου καμιά 50αριά. Θα αντιστοιχεί ένας καθηγητής με έναν μαθητή και ο βοηθός θα μείνει χωρίς αντιστοιχία!!! Η μπορεί να είναι 3 να παίζουν καμιά πρέφα!!!
-
Καλημέρα Βασίλη
Απομεινάρι από τα φοιτητικά χρόνια : Η πρέφα θέλει τέσσερις ( τουλάχιστον έτσι το είχαμε στα Γιάννενα )
Το μόνο παρήγορο που είδα είναι ότι όσοι μπήκαν το είχαν σε 1η προτίμηση σε ποσοστό 70% έως 80%. ( Το χημικό μπορεί να γέμισε αλλά με πρώτη προτίμηση μόνο κοντά στο 20% ) -
Γρηγόρη επαιζες πρεφα στου Τσουκάνη? 🙂
-
Ένας πίνακας με συγκεντρωμένα στοιχεία για τις σχολές ΦΜΣ (που λέγαμε κάποτε…), για όλη την χώρα. Μια δουλειά του Χρήστου Τσουκάτου.
https://arxeialykeioy.wordpress.com/wp-content/uploads/2024/07/457.png
-
Καλημέρα Γρηγόρη, καλημέρα Κωνσταντίνε.
Όλοι παίζαμε πρέφα και ας μην είμαστε Γιάννενα!!!
Και στη Σόλωνος, απέναντι από το Φυσικείο (το παλιό Χημείο), το καφενείο “φοιτητικό” παρέδιδε πτυχία πρέφας, προαπαιτούμενο για την απόκτηση πτυχίου Φυσικής 🙂 -
Και κάτι που δεν είχα προσέξει…
Γρηγόρη ο 4ος είναι ο “τεμπέλης”!
Τρεις παίζουν… -
Και κάτι ακόμη, μήπως και μας διαβάζουν κάποιοι μαθητές:
Οι “σεβάσμιοι καθηγητές” (τώρα το πόσο σεβάσμιοι είμαστε, είναι άλλη συζήτηση…) που σήμερα πολλοί είμαστε συνταξιούχοι, υπήρξαμε και μεις κάποτε παιδιά…
Ας ελπίσουμε ότι γνωρίζουν τι έλεγαν οι νέοι στο χορό των παίδων:
“Άμμες δε γ΄ εσσόμεθα πολλώ κάρρονες”
και να το τηρήσουν… -
Καλημέρα Γρηγόρη. Η πρέφα θέλει 3, αν είναι 4 ο ένας είναι ο τεμπέλης εναλλάξ.
Εμείς στα Γιάννενα μπουρλότ (ή μπουρλότο) παίζαμε και βίδα (παραλλαγή του μπουλρότ με όλα τα φύλλα ανοιχτά). Αυτά θέλανε 4 άτομα! -
Καλημέρα Κωνσταντίνε, καλημέρα Διονύση και Βασίλη
Βασικά το σπίτι μου ( στη Μπιζανίου ) επί τριετία είχε εξελιχθεί σε “πρεφάδικο” με τεμπέλη όπως σωστά θυμήθηκε ο Διονύσης.
Μετά έγινε επέκταση στην φοιτητική Εστία και στου Τσοκάνη.
Οσο για το μπουρλότ Βασίλη αυτό ήταν στα σπάργανα τότε που τελείωσα ( είμαι και λίγο αρχαίος στα Γιάννενα ). Αργότερα όταν δούλεψα στα Γιάννενα στην Εστία επικρατούσε το πόκερ και ο Θανάσης. -
Καλημέρα στη νησίδα.
…και σκάκι στο ”φοιτητικό ” Διονύση,
με συνταξιούχους πιθανόν παλιούς φοιτητές που τους άρεσε
να παρακολουθούν τα νιάτα και να παρεμβαίνουν , καθώς “έβλεπαν”
κινήσεις ποιό μπροστά απ’ότι εμείς…διδάσκοντας και μη παρεξηγώντας τους.
Απλά την περνούσαμε τη ζωή μας, στην περίοδο αυτή ,αν και “τασκιαζε η φοβέρα και τα πλάκωνε η σκλαβιά” κι είχαμε το νου μας για τους …διπλανούς μας.
Να είστε όλοι καλά -
Καλημερα Διονυση και Βασιλη.Εγω Γρηγορη εμενα Καλουτσιανη και επεφτε λιγο μακρυα. Μαζευομασταν Διεθνες, Σκαραβαιο και Μαντζατο.
Επισης στου Θωμα για τσιπουρα καμια Ταιγκα για αλλαγη,Καιξη,και μετα,στου Μαχαιρα για μοσχαροκεφαλη και μαγειριτσα. -
Οι 144 θέσεις του Τμήματος ΣΕΜΦΕ συμπληρώθηκαν εξ ολοκλήρου. Ο πρώτος φοιτητής εισήλθε με 19.140 μόρια, ενώ ο τελευταίος με 15.510 μόρια. Εγείρεται το ερώτημα μήπως το οτι δεν εχουμε επιμελητήριο φυσικων – αρα και εκπροσωπους- κοστίζει ακριβά στα τμήματα φυσικής της χώρας, δεδομένου ότι οι απόφοιτοι του ΣΕΜΦΕ έχουν πενταετή διάρκεια φοίτησης και αποφοιτούν με μεταπτυχιακό τίτλο (Master). Κανω λαθος;
Η πενταετής διάρκεια σπουδών στο ΣΕΜΦΕ προσφέρει στους φοιτητές όχι μόνο ένα πτυχίο, αλλά και ένα μεταπτυχιακό τίτλο σπουδών. Αυτό το γεγονός, σε συνδυασμό με τα επαγγελματικά δικαιώματα που αποκτούν οι απόφοιτοι λογω ΤΕΕ, καθιστά το ΣΕΜΦΕ ελκυστικότερο σε σχέση με τα τμήματα φυσικής που προσφέρουν τετραετείς προπτυχιακές σπουδές χωρίς αυτόματα επαγγελματικά δικαιώματα ή μεταπτυχιακό τίτλο.
Αυτό σημαίνει ότι οι φοιτητές που επιλέγουν το ΣΕΜΦΕ εξασφαλίζουν μεγαλύτερα ακαδημαϊκά και επαγγελματικά οφέλη σε σύγκριση με εκείνους που επιλέγουν τα παραδοσιακά τμήματα φυσικής. Η συνδυασμένη απόκτηση πτυχίου και μεταπτυχιακού τίτλου σε πέντε χρόνια επιτρέπει στους αποφοίτους του ΣΕΜΦΕ να εισέλθουν στην αγορά εργασίας με σημαντικά πλεονεκτήματα.
Η δημιουργία ενός επιμελητηρίου για τους φυσικούς (ΝΠΔΔ) θα μπορούσε να αντιμετωπίσει αυτή την ανισορροπία, προσφέροντας και στους αποφοίτους των τμημάτων φυσικής επαγγελματικά δικαιώματα. Ένα τέτοιο επιμελητήριο θα προσέφερε θεσμική κατοχύρωση και αναγνώριση του επαγγέλματος των φυσικών, ενισχύοντας την παρουσία τους στην αγορά εργασίας και εξασφαλίζοντας ότι πληρούν συγκεκριμένα πρότυπα και κριτήρια.
Παράλληλα, το επιμελητήριο θα μπορούσε να προωθήσει την συνεχή επαγγελματική ανάπτυξη μέσω της διά βίου μάθησης και των εκπαιδευτικών σεμιναρίων, εξασφαλίζοντας ότι οι φυσικοί διατηρούν και ανανεώνουν συνεχώς τις γνώσεις και τις δεξιότητές τους. Αυτή η προσέγγιση θα ενίσχυε την ποιότητα και την αξιοπιστία των υπηρεσιών που προσφέρουν οι φυσικοί, καθιστώντας τους πιο ανταγωνιστικούς και ενημερωμένους για τις τελευταίες εξελίξεις στον τομέα τους.
Εν κατακλείδι, η δημιουργία ενός επιμελητηρίου για τους φυσικούς θα μπορούσε να αποτελέσει ένα σημαντικό βήμα προς την αναβάθμιση του επαγγέλματος και την ενίσχυση της θέσης των φυσικών στην κοινωνία και την αγορά εργασίας. -
Και σκάκι παίζαμε Παντελή!
Μάλιστα, για να πω την αλήθεια, εγώ προτιμούσα το σκάκι, που ήμουν σχετικά καλός, από την πρέφα. Γιατί; Γιατί στην παρέα ήταν ο Αντώνης Αγγελόπουλος (κουμπάρος μου στην συνέχεια…), αστέρι στην πρέφα, που δεν μπορούσα να του πάρω παρτίδα… -
Καλημέρα
Πρέφα , τάβλι, σκάκι ;
Παντελή και Διονύση στον κ. Παναγιώτη, απέναντι στο “Φοιτητικό”, τάβλι ή πρέφα και σάντουιτς με αλαντικά για το τσίπουρο. Για σκάκι χρειαζόσουν πιο πολιτισμένη ατμόσφαιρα στο “Πανελλήνιο” ( Κιάφας : κ’ Ακαδημίας ). Αλλά εκεί δεν τα κατάφερνα τόσο καλά , όλο εγώ πλήρωνα τα τσίπουρα.
……………………………..400 επιτυχόντες Φυσικοί σε 1040 θέσεις !
Και πολλοί είναι 400 που την βρίσκουν με αυτά τα επονομαζόμενα ΔΕΛΤΑ (κύλινδρους που κυλάνε σε σανίδες που κρέμονται από ελατήρια και νήματα αγώγιμα που ξετυλίγονται συνδεδεμένα με σωληνοειδή ).
Τι: Δεν στοχεύουμε μόνο στην αναπαραγωγή μας ; Είστε σίγουροι ;
Καλά ας πούμε ότι κάθε χρόνο χρειαζόμαστε κάθε χρόνο και 5 μετεωρολόγους . 3 σεισμολόγους και 4 ερευνητές υψηλών ενεργειών. Οι υπόλοιποι 350+ καθηγητές γρίφων φυσικής δεν αρκούν ; Υπάρχει και μεγάλη δεξαμενή άνεργων φυσικών και μαθηματικών.Απλά δεν είμαι τόσο σίγουρος πως όσοι αποκλείστηκαν (γιατί έγραψαν φέτος στις Πανελλήνιες 5 στην Φυσική και 5 στα Μαθηματικά) δεν θα μπορούσαν να σπουδάσουν Μαθηματικά και Φυσική του χρόνου.
Αλλά πολλοί συνάδελφοι είναι σίγουροι πως δεν θα μπορούσαν και δεν θα έπρεπε να σπουδάσουν σε αυτούς τους τομείς. Κάτι παραπάνω θα ξέρουν από μένα και είναι τόσο βέβαιοι.
Εγώ που νιώθω ότι έμαθα περισσότερα Μαθηματικά και Φυσική μετά το πτυχίο μπορεί να είμαι “Αφύσικος”. Δεν το αποκλείω.
-
-
H/o admin έγραψε ένα νέο άρθρο πριν από 1 έτος, 8 μήνες
Εξεταστέα ύλη για το 2025
Ανακοινώθηκε από το Υπουργείο Παιδείας η εξεταστέα ύλη για το έτος 2025 των μαθημάτων που εξετάζονται πανελλαδικά για την εισαγωγή στην Τριτοβάθμια Εκπαί […] -
H/o admin έγραψε ένα νέο άρθρο πριν από 1 έτος, 8 μήνες
Πρόγραμμα επαναληπτικών εξετάσεων 2024
Ανακοινώθηκε από το Υπουργείο Παιδείας το πρόγραμμα των επαναληπτικών Πανελληνίων εξετάσεων για το 2024. Η ανακοίνωση εδώ - Φόρτωσε Περισσότερα
Καλά να πάει και αυτός ο μετρητής.
Να ρωτήσω: το sessions είναι ο αριθμός των αναρτήσεων;
Καλημέρα Κώστα.
Όχι, δεν είναι οι αναρτήσεις.
Είναι ο αριθμός των ενεργών εμφανίσεων στο δίκτυο. Κάποιος μπαινει βλέπει η γράφει κάτι, απομακρύνεται, αλλά μετά από λίγο επιστρέφει και τότε το μετρητής δείχνει δεύτερη συνεδρία…
Καλημέρα. Ευχαριστώ.
Να δώσω και τον αριθμό των επισκεπτών του δικτύου μας στη διάρκεια των οκτώ χρόνων, που λειτουργεί ως “νέο υλικονέτ”, μετά την αποχώρησή μας από την ning.
https://arxeialykeioy.wordpress.com/wp-content/uploads/2025/01/cea3cf84ceb9ceb3cebcceb9cf8ccf84cf85cf80cebf-cebfceb8cf8ccebdceb7cf82-2025-01-30-085018.png
Καλησπέρα. Προς διαχειριστές ylikonet.
Υπάρχει η δυνατότητα με κάποιο πρόσθετο να μπορεί να γίνεται επιλογή για σελιδοποίηση ή όχι των δημοσιεύσεων; Δηλαδή όλα τα σχόλια να εμφανίζονται σε μια σελίδα. Αυτό είναι πολύ χρήσιμο στην περίπτωση που κάποιος θέλει να αποθηκεύσει τοπικά στον υπολογιστή του μια δημοσίευση με όλα σχόλια. Τώρα αυτό είναι δύσκολο να γίνει για μια δημοσίευση με πολλά σχόλια όπως η πρόσφατη “Θέματα Φυσικής στις Πανελλαδικές 2025”. Πρέπει κάθε σελίδα να αποθηκεύετε ξεχωριστά ή μπορεί να γίνει με κάποιο ειδικό πρόγραμμα ώστε να υπάρχει συσχέτιση των σελίδων μεταξύ τους. Επίσης η αναζήτηση σχολίου με κάποιο συγκεκριμένο κείμενο π.χ. “θέμα Δ1” σε πολυσέλιδες δημοσιεύσεις είναι κουραστική. Απ’ ό,τι θυμάμαι κάτι τέτοιο είχε γίνει για ένα μικρό χρονικό διάστημα πριν ένα χρόνο και κάτι περίπου.Ευχαριστώ.
Να δώσω όμως και από εδώ τον προηγούμενο μετρητή, για όποιον θα ήθελε να δει τι μετρήσεις έχει καταγράψει, αφού θα αφαιρεθεί από την πρώτη σελίδα:
Με κλικ ΕΔΩ.
Εγκαταστάθηκε και ένα δεύτερο πρόσθετο για καταμέτρηση των επισκεπτών μας.
Μπορείτε να δείτε τα αποτελέσματα με κλικ ΕΔΩ
https://blogger.googleusercontent.com/img/b/R29vZ2xl/AVvXsEi3UnKF9rCM7tPvL_ij4cQspWK-pkjyctsMbE5HRp4r8ztEc7DDW4BtJ7fhUpiK_HWs9wyR1NeEb4xoa9U4ILwEPEDSivqyzxdkq3x2oUVKQnaft3PzRT1qbIZ8_wc_YQyDdtD1iOdWZ-nINixhpln5MYDoKUs4mGCF3wbaxOzAzLCfyyRwWbX2N11UOSFI/s320/%CE%A3%CF%84%CE%B9%CE%B3%CE%BC%CE%B9%CF%8C%CF%84%CF%85%CF%80%CE%BF%20%CE%BF%CE%B8%CF%8C%CE%BD%CE%B7%CF%82%202025-07-04%20163335.png